m基于FPGA的半带滤波器verilog设计,对比普通结构以及乘法器复用结构

336 阅读5分钟

1.算法描述

        HBF模块由半带滤波器(HBF)和抽取模块组成。该模块的任务是实现2倍抽取进一步降低信号采样速率。由于HBF的冲激响应h(k)除零点外其余偶数点均为零,所以用HBF实现2倍抽取可以节省一半的运算量,对增强软件无线电的实时性非常重要,HBF还具有参数约束少,设计容易、方便的特点。半带滤波器的主要作用是滤除信号高频部分,防止抽取过程后信号发生频谱混叠。

 

    在实际中,需要将输入信号进行多次滤波和抽取,并逐次降低采样率,同时也降低对每一级抗混叠滤波器的要求,所以需要使用半带滤波器进行设计与实现。

 

阻带衰减:    ≥50dB

 

通带不平坦度:≤2dB

 

      通常情况下,半带滤波器的有三种基本的结构,一般结构,转置结构以及复用结构,下面我们将针对这三种结构的滤波效果以及硬件占用情况进行分析,从而选用最佳的设计方案。

1.png

2.png

       频谱对称性的特点使得半带滤波器的时域冲击响应除极值点以外,在其余所有偶数点都为零,利用该性质,可以将运算量降低一半。

 

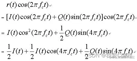
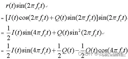
       本系统,我们将设计的滤波器,首先,我们可以使用和FIR滤波器设计方法相同的方法进行设计。 根据的设计要求,输入的信号带宽为20M,前面设计的NCO,其载波频率为20M,所以,在进行下变频的时候,会产生两倍的频率分量,具体如下所示:

3.png

4.png

 

        所以,需要设计一个滤波器,其截止频率可以设定为20M,即大于20M的全部滤除,所以,通过上式,可以将其中的高频分量滤除掉。

 

此外,由于你的要求中提高通带通带不平坦度≤2dB,那么通常情况下,滤波器的阶数需要设计为中高阶,这里,我们选用65阶的滤波器。

 

★半带滤波器的一般结构

 

      普通滤波器的结构,就是一般的FIR滤波器的结构,只是系数取一般,进行半带滤波,根据半带滤波的表达式,

5.png

6.png

这个结构式最传统的FIR滤波器的结构,我们首先来进行最简单的结构设计。

 

然后根据半带滤波器的性质,这里我们只需要做如下的运行进行就可以了。

 

★半带滤波器的复用结构

 

复用结构比较简单,其主要就是通过计数器来选择不同时刻的h0值,然后

 

其相关理论知识比较简单,下面我们将在FPGA中实现该算法。

 

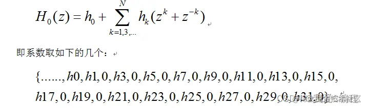
那么这里,我们的滤波器系数为:

 

(0),(h15 = -624),(0),(h13 = -1175),(0),(h11 = 1238),(0),(h9  = -1238),

 

(0),(h7  = 667),(0),(h5  = 965),(0),(h3  = -4745),(0),(h1  = 20073),(h0 = 27316),

 

(h1  = 20073),(0),(h3  = -4745),(0),(h5  = 965),(0),(h7  = 667),

 

(0),(h9  = -1238),(0),(h11 = 1238),(0),(h13 = -1175),(0),(h15 = -624),(0)

 

通过一个计数器,来作为按键选择不同时间的不同系数的选择,这里,由于滤波器的系数由33个。即,计数器的值从0到32。而系数为非0的计数器值为

 

1,3,5,7,9,11,13,15,16,17,19,21,23,25,27,29,31

 

因此,在FPGA中,我们可以通过设计一个计数器进行乘法器的复用。

 

2.仿真效果预览

版本vivado2019.2

7.png

8.png

9.png

3.verilog核心程序 `...........................

 

//delay 33 units

integer i;

reg signed[15:0]men_delay[33:1];

always @(posedge i_clk or posedge i_rst)

begin

     if(i_rst)

  begin

       for(i=1;i<=33;i=i+1)

 begin

 men_delay[i] <= 16'd0;

 end

  end

else begin

          men_delay[1] <= i_din;

 

       for(i=2;i<=33;i=i+1)

 begin

 men_delay[i] <= men_delay[i-1];

 end  

     end

end

 

 

//level 1

reg signed[31:0]reg_adder01[33:1];

always @(posedge i_clk or posedge i_rst)

begin

     if(i_rst)

  begin

       for(i=1;i<=33;i=i+1)

 begin

 reg_adder01[i] <= 32'd0;

 end

  end

else begin

       reg_adder01[1] <= 32'd0;

 reg_adder01[2] <= h15 *  men_delay[2];

 reg_adder01[3] <= 32'd0;

 reg_adder01[4] <= h13 *  men_delay[4];

 

       reg_adder01[5] <= 32'd0;

 reg_adder01[6] <= h11 *  men_delay[6];

 reg_adder01[7] <= 32'd0;

 reg_adder01[8] <= h9  *  men_delay[8];

       reg_adder01[9] <= 32'd0;

 reg_adder01[10]<= h7  *  men_delay[10];

 reg_adder01[11]<= 32'd0;

 reg_adder01[12]<= h5  *  men_delay[12];

 

       reg_adder01[13]<= 32'd0;

 reg_adder01[14]<= h3  *  men_delay[14];

 reg_adder01[15]<= 32'd0;

 reg_adder01[16]<= h1  *  men_delay[16];

 

//============================================================

       reg_adder01[17]<= h0  *  men_delay[17];

//============================================================

 

 reg_adder01[18]<= h1  *  men_delay[18];

 reg_adder01[19]<= 32'd0;

 reg_adder01[20]<= h3  *  men_delay[20];

       reg_adder01[21]<= 32'd0;

 

 reg_adder01[22]<= h5  *  men_delay[22];

 reg_adder01[23]<= 32'd0;

 reg_adder01[24]<= h7  *  men_delay[24];

       reg_adder01[25]<= 32'd0;

 

 reg_adder01[26]<= h9  *  men_delay[26];

 reg_adder01[27]<= 32'd0;

 reg_adder01[28]<= h11 *  men_delay[28];

       reg_adder01[29]<= 32'd0;

 

 reg_adder01[30]<= h13 *  men_delay[30];

 reg_adder01[31]<= 32'd0;

 reg_adder01[32]<= h15 *  men_delay[32];

 reg_adder01[33]<= 32'd0;  

     end

end

 

 

//level 2

reg signed[31:0]reg_adder02[9:1];

 

always @(posedge i_clk or posedge i_rst)

begin

     if(i_rst)

  begin

       for(i=1;i<=9;i=i+1)

 begin

 reg_adder02[i] <= 32'd0;

 end

  end

else begin

       reg_adder02[1] <= reg_adder01[2] + reg_adder01[32];

 reg_adder02[2] <= reg_adder01[4] + reg_adder01[30];

 reg_adder02[3] <= reg_adder01[6] + reg_adder01[28];

 reg_adder02[4] <= reg_adder01[8] + reg_adder01[26];

 

       reg_adder02[5] <= reg_adder01[17];

 

 reg_adder02[6] <= reg_adder01[10]+ reg_adder01[24];

 reg_adder02[7] <= reg_adder01[12]+ reg_adder01[22];

 reg_adder02[8] <= reg_adder01[14]+ reg_adder01[20];

       reg_adder02[9] <= reg_adder01[16]+ reg_adder01[18];

     end

end

 

 

//level 3

reg signed[31:0]reg_adder03[5:1];

 

always @(posedge i_clk or posedge i_rst)

begin

     if(i_rst)

  begin

       for(i=1;i<=5;i=i+1)

 begin

 reg_adder03[i] <= 32'd0;

 end

  end

else begin

       reg_adder03[1] <= reg_adder02[1] + reg_adder02[9];

 reg_adder03[2] <= reg_adder02[2] + reg_adder02[8];

 reg_adder03[3] <= reg_adder02[3] + reg_adder02[7];

 reg_adder03[4] <= reg_adder02[4] + reg_adder02[6];

       reg_adder03[5] <= reg_adder02[5];

     end

end

 

//level 4

reg signed[31:0]reg_adder04[3:1];

 

always @(posedge i_clk or posedge i_rst)

begin

     if(i_rst)

  begin

       for(i=1;i<=3;i=i+1)

 begin

 reg_adder04[i] <= 32'd0;

 end

  end

else begin

       reg_adder04[1] <= reg_adder03[1] + reg_adder03[5];

 reg_adder04[2] <= reg_adder03[2] + reg_adder03[3];

 reg_adder04[3] <= reg_adder03[4];

     end

end

 

//level 5

reg signed[31:0]r_dout = 32'd0;

reg signed[31:0]o_dout = 32'd0;      

always @(posedge i_clk or posedge i_rst)

begin

     if(i_rst)

  begin

  r_dout <= 32'd0;

  end

else begin

  r_dout <= reg_adder04[1] + reg_adder04[2] + reg_adder04[3];

     end

end

01_115m`