图像处理之SURF特征点检测1

485 阅读8分钟

开启掘金成长之旅!这是我参与「掘金日新计划 · 2 月更文挑战」的第 6 天

1 SURF算法概览

SURF,英文全称为SpeededUp Robust Features,直译为“加速版的具有鲁棒性的特征”算法,由Bay在2006年首次提出。SURF是尺度不变特征变换算法(SIFT算法)的加速版。一般来说,标准的SURF算子比SIFT算子快好几倍,并且在多幅图片下具有更好的稳定性。SURF最大的特征在于采用了harr特征以及积分图像的概念,这大大加快了程序的运行时间。SURF 可以应用于计算机视觉的物体识别以及3D重构中。

2 SURF算法原理

2.1 构建Hessian 矩阵构造高斯金字塔尺度空间

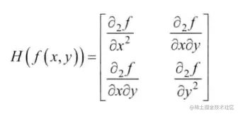
其实 surf 构造的金字塔图像与sift有很大不同,正是因为这些不同才加快了其检测的速度。Sift采用的是DOG图像,而surf采用的是Hessian 矩阵行列式近似值图像。Hessian矩阵是 Surf算法的核心。在数学中,海森矩阵(Hessian matrix 或Hessian)是一个自变量为向量的实值函数的二阶偏导数组成的方块矩阵。为了方便运算,假设函数f(z,y),Hessian矩阵H是函数、偏导数组成。首先来看看图像中某个像素点的Hessian矩阵,如下:

3.png

即每一个像素点都可以求出一个Hessian矩阵。

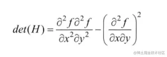
H矩阵判别式为:

4.png

判别式的值是H矩阵的特征值,可以利用判定结果的符号将所有点分类,根据判别式取值正负,来判别该点是或不是极值点。

在SURF算法中,用图像像素1(x,y)即为函数值f(x,y),选用二阶标准高斯函数作为滤波器,通过特定核间的卷积计算二阶偏导数,这样便能计算出H矩阵的三个矩阵元素L_xx、L_xy、L_yy,从而计算出H矩阵:

5.png

但是由于特征点需要具备尺度无关性,所以在进行Hessian 矩阵构造前,需要对其进行高斯滤波。

这样,经过滤波后再进行Hessian的计算,其公式如下:

6.png

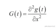
L(x, t)是一幅图像在不同解析度下的表示,可以利用高斯核G(t)与图像函数I(x)在点x的卷积来实现,其中高斯核G(t)的计算公式:

7.png

g(x)为高斯函数,t为高斯方差。通过这种方法可以为图像中每个像素计算出其H行列式的决定值,并用这个值来判别特征点。为方便应用,Herbert Bay提出用近似值先代替L(x,t)。为平衡准确值与近似值间的误差引入权值,权值随尺度变化,则H矩阵判别式可表示为:

8.png

其中0.9是论文作者给出的一个经验值,其实它是有一套理论计算的,具体请参考surf的英文论文。

由于求Hessian 时要先高斯平滑,然后求二阶导数,这在离散的像素点是用模板卷积形成的,这上述操作合在一起用一个模板代替就可以了,比如说y方向上的模板如下图所示。

9.png

上图的左边即用高斯平滑然后在y方向上求二阶导数的模板,为了加快运算用了近似处理,其处理结果如下图所示,这样就简化了很多。并且右图可以采用积分图来运算,从而大大加快了速度,关于积分图的介绍,可以去查阅相关的资料。

同理,x和y方向的二阶混合偏导模板如下图所示。

10.png

上面讲的这么多,只是得到了一张近似hessian的行列式图,这类似 sift 中的DOG图。但是在金字塔图像中分为很多层,每一层叫做一个octave,每一个octave中又有几张尺度不同的图片。在sift算法中,同一个octave层中的图片尺寸(即大小)相同,但是尺度(即模糊程度)不同,而不同的octave层中的图片尺寸大小也 不相同,因为它是由上一层图片降采样得到的。

在进行高斯模糊时,sift的高斯模板大小是始终不变的,只是在不同的octave之间改变图片的大小。而在surf中,图片的大小是一直不变的,不同octave层的待检测图片是改变高斯模糊尺寸大小得到的,当然了,同一个octave中不同图片用到的高斯模板尺度也不同。算法允许尺度空间多层图像同时被处理,不需对图像进行二次抽样,从而提高算法性能。

下图是传统方式建立的一个金字塔结构,图像的尺寸是变化的,并且运算会反复使用高斯函数对子层进行平滑处理,说明Surf算法使原始图像保持不变而只改变了滤波器大小。Surf采用这种方法节省了降采样过程,其处理速度自然也就提上去了。

11.png

2.2 利用非极大值抑制初步确定特征点

此步骤和 sift类似,将经过hessian矩阵处理过的每个像素点与其三维领域的26个点进行大小比较,如果它是这26个点中的最大值或者最小值,则保留下来,当做初步的特征点。检测过程中使用与该尺度层图像解析度相对应大小的滤波器进行检测。以3x3的滤波器为例,该尺度层图像中9个像素点之一的检测特征点与自身尺度层中其余8个点和在其之上及之下的两个尺度层的各9个点进行比较,共26个点,如下图中标记的“x”的像素点的特征值若大于周围像素,则可确定该点为该区域的特征点。

12.png

2.3 精确定位极值点

这里也和sift 算法中的类似,采用三维线性插值法得到亚像素级的特征点,同时也去掉那些值小于一定阈值的点,增加极值使检测到的特征点数量减少,最终只有几个特征最强点会被检测出来。

2.4 选取特征点的主方向

这一步与sift也大有不同。Sift选取特征点主方向是采用在特征点领域内统计其梯度直方图,取直方图bin值最大的以及超过最大bin值80%的那些方向做为特征点的主方向。

而在surf中,不统计其梯度直方图,而是统计特征点领域内的harr 小波特征。即在特征点的领域(比如说,半径为6s的圆内,s为该点所在的尺度)内,统计60度扇形内所有点的水平haar小波特征和垂直haar小波特征总和,haar小波的尺寸变长为4s,这样一个扇形得到了一个值。然后60度扇形以一定间隔进行旋转,最后将最大值那个扇形的方向作为该特征点的主方向。该过程的示意图如下图所示。

13.png

2.5 构造surf特征点描述算子

在sift中,是在特征点周围取16x16的邻域,并把该领域化为4x4个的小区域,每个小区域统计8个方向梯度,最后得到4x4x8=128维的向量,该向量作为该点的sift描述子。

在surf中,也是在特征点周围取一个正方形框,框的边长为20s(s是所检测到该特征点所在的尺度)。该框带方向,方向当然就是第4步检测出来的主方向了。然后把该框分为16个子区域,每个子区域统计25个像素的水平方向和垂直方向的haar小波特征,这里的水平和垂直方向都是相对主方向而言的。该haar小波特征为水平方向值之和,水平方向绝对值之和,垂直方向之和,垂直方向绝对值之和。该过程的示意图如下图所示。

14.png

这样每个小区域就有4个值,所以每个特征点就是16x4=64维的向量,相比sift而言,少了一半,这在特征匹配过程中会大大加快匹配速度。

3 总结

Surf 采用 Henssian 矩阵获取图像局部最值十分稳定,但是在求主方向阶段太过于依赖局部区域像素的梯度方向,有可能使找到的主方向不准确。后面的特征向量提取以及匹配都严重依赖于主方向,即使不大偏差角度也可以造成后面特征匹配的放大误差,从而使匹配不成功。另外图像金字塔的层取得不够紧密也会使得尺度有误差,后面的特征向量提取同样依赖相应的尺度,发明者在这个问题上的折中解决方法是取适量的层然后进行插值。

开启掘金成长之旅!这是我参与「掘金日新计划 · 2 月更文挑战」的第 6 天