m云计算任务调度优化matlab仿真,输出成本,时间,负荷优化结果,对比ACO,PSO,WOA三种优化算法

185 阅读3分钟

1.算法描述

       鲸鱼算法(Whale Optimization Algorithm,WOA)[1]。鲸鱼优化算法(WOA)是 2016 年由澳大利亚格里菲斯大学的 Mirjalili 等提出的一种新的群体智能优化算法,因算法简练易于实现,且对目标函数条件要求宽松,参数控制较少等种种优点受到一批又一批学者的亲睐,且经过不断的改进WOA已应用于许多领域。WOA算法设计的既精妙又富有特色,它源于对自然界中座头鲸群体狩猎行为的模拟, 通过鲸鱼群体搜索、包围、追捕和攻击猎物等过程实现优时化搜索的目的。在原始的WOA中,提供了包围猎物,螺旋气泡、寻找猎物的数学模型。

 

1.png

 

       WOA算法的初始阶段中,座头鲸并不知道食物所在的位置,他们都是通过群体合作来获得食物的位置信息,因此,距离食物最近的鲸鱼相当于当前的一个局部最优解,其他鲸鱼个体都会朝这个位置靠近,从而逐步包围食物,因此使用下列的数学模型表示:

 

2.png

 

2.2气泡攻击

 

   本阶段模仿座头鲸进行气泡攻击,通过收缩包围和螺旋更新位置来设计鲸鱼捕食吐出气泡的行为,从而达到鲸鱼局部寻优的目的。

 

 (1)螺旋更新位置

 

   座头鲸个体首先计算与当前最优鲸鱼的距离,然后再以螺旋方式游走,在进行食物的搜索时候,螺旋游走方式的数学模型为:

 

3.png

 

2.3寻觅食物阶段

 

       座头鲸通过控制|A|向量游走获取食物,当|A|>1的时候,座头鲸个体向着参考座头鲸的位置靠近,鲸鱼个体朝着随机选取的座头鲸更新位置,这种方式保证了座头鲸个体能够进行全局搜索,获得全局最优解,其数学模型表示如下:

4.png

5.png

 

 

 

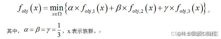
优化目标函数概述:

 

 优化目标函数做如下的设计:

 

6.png

 

即成本,时间,负荷

7.png

8.png  

 

2.仿真效果预览

matlab2022a仿真如下:

9.png

10.png

11.png

12.png

3.MATLAB核心程序

`Num          = 50;  %搜索数量

Iters        = 200; %迭代次数

D            = M*N; %搜索空间维数

woa_idx      = zeros(1,D);

woa_get      = inf;

 

%初始化种群的个体

for i=1:Num

    for j=1:D

        xwoa(i,j)=randn; %随机初始化位置

    end

end

 

 

for t=1:Iters

    t

    for i=1:Num

        %目标函数更新

        [pa(i),pa1(i),pa2(i),pa3(i)]  = fitness(xwoa(i,:));

        Fitout                        = pa(i);

        %更新

        if Fitout < woa_get  

            woa_get = Fitout;

            woa_idx = xwoa(i,:);

        end

    end

    %调整参数

    c1 = 2-t*((1)/300);

    c2 =-1+t*((-1)/300);

    %位置更新

    for i=1:Num

        r1         = rand();

        r2         = rand();

        K1         = 2c1r1-c1;  

        K2         = 2*r2;             

        l          =(c2-1)*rand + 1;  

        rand_flag  = rand();   

        

        for j=1:D

            if rand_flag<0.5   

               if abs(K1)>=1

                  RLidx    = floor(Num*rand()+1);

                  X_rand   = xwoa(RLidx, :);

                  D_X_rand = abs(K2*X_rand(j)-xwoa(i,j));

                  xwoa(i,j)= X_rand(j)-K1*D_X_rand;     

               else

                  D_Leader = abs(K2*woa_idx(j)-xwoa(i,j));

                  xwoa(i,j)= woa_idx(j)-K1*D_Leader;    

               end

            else

                distLeader = abs(woa_idx(j)-xwoa(i,j));

                xwoa(i,j)  = distLeaderexp(6l).*cos(l.2pi)+woa_idx(j);

            end

        end

    end

    [pb,pb1,pb2,pb3]  = fitness(woa_idx);

    Pbest(t)  = pb;

    Pbest1(t) = pb1;

    Pbest2(t) = pb2;

    Pbest3(t) = pb3;

end

 

 

 

figure;

subplot(221);

plot(Pbest,'b');

legend('加权收敛目标');

grid on

%输出三个指标的收敛曲线

subplot(222);

plot(Pbest1,'b');

legend('归一化成本值');

grid on

subplot(223);

plot(Pbest2,'b');

legend('归一化时间值');

grid on

subplot(224);

plot(Pbest3,'b');

legend('归一化负荷值');

grid on

 

 

%输出调度结果

[aij,fobj,fobj1,fobj2,fobj3] = fitness_results(woa_idx);

 

%显示各个资源的三个指标的利用率

%处理能力利用率

for i = 1:M

    tmps = aij(:,i);

    indx = find(tmps==1);

    SE(i)= sum(Et(indx))/En(i);

end

%内存利用率

for i = 1:M

    tmps = aij(:,i);

    indx = find(tmps==1);

    SS(i)= sum(St(indx))/Sn(i);

end

%带宽利用率

for i = 1:M

    tmps = aij(:,i);

    indx = find(tmps==1);

    SC(i)= sum(Ct(indx))/Cn(i);

end

 

02_056m`