迪米特法则(LOD)

227 阅读2分钟

什么是迪米特法则?

迪米特法则Law of Demeter,缩写为 LOD)也被称为 最少知识原则Least Knowledge PrincipleLKP),是一种软件开发的设计指导原则。其原始定义为:

Talk only to your immediate friends and not to strangers

只与你的直接朋友交谈,不跟陌生人说话。

其含义为:如果两个软件实体无需直接通信,那么就不应该发生直接的相互调用,可以通过第三方转发调用。其目的是为了降低类之间的耦合度,提高模块的相对独立性。

为什么需要迪米特法则?

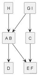
遵循迪米特法则
不遵循迪米特法则

从上图可以看出。类与类之间的关系越密切,耦合度越高,当一个类发生改变时,对另一个类的影响也就越大,因此我们需要尽量减少每个类对其他类的依赖。迪米特法则要求限制软件实体之间的通信宽度和深度,降低了类之间的耦合度,提高模块的相对独立性;耦合度降低,也提高了类的可复用率和系统的扩展性。

场景示例

比如说,我们需要打印出一个学校中的所有学生姓名,如果我们不遵守迪米特原则,可以使用以下设计来实现功能:
class Student {
    private Long id;
    private String name;
    // 省略get/set方法
}

class Class {
    private Long id;
    private String name;
    private List<Student> students;
    // 省略get/set方法
}

class School {
    private List<Class>  classes;
    
    /**
    * 依赖Student类,破坏了迪米特原则
    */
    public void printStudents() {
        classes.forEach(aClass -> {
            // 打印班级名
            System.out.println(aClass.getName());
            // 打印学生名
            aClass.getStudents().forEach(student -> {
                System.out.println(student.getName());
            });
        });
    }
}

上述实现代码中, School 的设计违反了迪米特原则,SchoolStudent 发生了直接关联。从逻辑上来讲,学校只需要知道有哪些班级,然后由各班级统计各自学生即可,因此 School 不应该与 Student 有任何关联。根据迪米特原则,可以讲代码修改如下:

class Student {
    private Long id;
    private String name;
    // 省略get/set方法
}

class Class {
    private Long id;
    private String name;
    private List<Student> students;
    // 省略get/set方法
    
    public void printStudents() {
        students.forEach(student -> {
            System.out.println(student.getName());
        });
    }
}

class School {
    private List<Class>  classes;
    
    /**
    * 只需要依赖班级,不需要知道每个学生
    */
    public void printStudents() {
        classes.forEach(aClass -> {
            // 打印班级名
            System.out.println(aClass.getName());
            // 打印学生名
            aClass.printStudents();
        });
    }
}

总结

迪米特法则可以降低类之间的耦合度,提高模块的相对独立性。但是过度使用迪米特法则会使系统产生大量中介类,从而增加系统的复杂度,使得模块之间的通信效率降低。因此,在采用迪米特法则的时候需要反复权衡,在保证高内聚和低耦合的同时,也要保证系统的结构清晰。

参考资料

  1. 得墨忒耳定律
  2. 软件修养 -- 迪米特法则(LOD:Law Of Demeter)