数学建模常见的一些方法【04拟合算法】

602 阅读3分钟

@[toc]

数学建模常见的一些方法

1. 拟合算法

  • 与插值问题不同,在拟合问题中不需要曲线一定经过给定的点。拟合问题的目标是寻求一个函数(曲线),使得该曲线在某种准则下与所有的数据点最为接近,即曲线拟合的最好(最小化损失函数)。

1.1 插值和拟合的区别

在这里插入图片描述   插值算法中,得到的多项式f(x)要经过所有样本点。但是如果样本点太多,那么这个多项式次数过高,会造成龙格现象。   尽管我们可以选择分段的方法避免这种现象,但是更多时候我们更倾向于得到一个确定的曲线,尽管这条曲线不能经过每一个样本点,但只要保证误差足够小即可,这就是拟合的思想。(拟合的结果是得到一个确定的曲线)

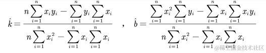
1.2 求解最小二乘法

在这里插入图片描述


1.3 Matlab求解最小二乘

在这里插入图片描述 测试数据:

x =
    4.2000
    5.9000
    2.7000
    3.8000
    3.8000
    5.6000
    6.9000
    3.5000
    3.6000
    2.9000
    4.2000
    6.1000
    5.5000
    6.6000
    2.9000
    3.3000
    5.9000
    6.0000
    5.6000
>> y
y =
    8.4000
   11.7000
    4.2000
    6.1000
    7.9000
   10.2000
   13.2000
    6.6000
    6.0000
    4.6000
    8.4000
   12.0000
   10.3000
   13.3000
    4.6000
    6.7000
   10.8000
   11.5000
    9.9000

计算代码:

>> plot(x,y,'o')
>> % 给x和y轴加上标签
>> xlabel('x的值')
>> ylabel('y的值')
>> n = size(x,1);
>> k = (n*sum(x.*y)-sum(x)*sum(y))/(n*sum(x.*x)-sum(x)*sum(x))
>> b = (sum(x.*x)*sum(y)-sum(x)*sum(x.*y))/(n*sum(x.*x)-sum(x)*sum(x))
>> hold on  % 继续在之前的图形上来画图形
>> grid on  % 显示网格线
>> f=@(x) k*x+b; % 函数线
>> fplot(f,[2.5,7]);  % 设置显示范围
>> legend('样本数据','拟合函数','location','SouthEast')

在这里插入图片描述

计算过程:

>> plot(x,y,'o')
>> % 给x和y轴加上标签
>> xlabel('x的值')
>> ylabel('y的值')
>> n = size(x,1);

>> n*sum(x.*y)-sum(x)*sum(y)
ans = 1.3710e+03

>> n*sum(x.*x)-sum(x)*sum(x)
ans = 654.4600
 
>> k = (n*sum(x.*y)-sum(x)*sum(y))/(n*sum(x.*x)-sum(x)*sum(x))
k = 2.0948

>> b = (sum(x.*x)*sum(y)-sum(x)*sum(x.*y))/(n*sum(x.*x)-sum(x)*sum(x))
b = -1.0548

>> hold on
>> grid on
>> f=@(x) k*x+b;
>> fplot(f,[2.5,7]);
>> legend('样本数据','拟合函数','location','SouthEast')

1.4 如何评价拟合的好坏

在这里插入图片描述

线性函数是指对参数为线性(线性于参数) 在函数中,参数仅以一次方出现,且不能乘以或除以其他任何的参数,并不能出现参数的复合函数形式。

1.5 证明SST = SSE + SSR

在这里插入图片描述

1.6 计算拟合优度的代码

在这里插入图片描述 计算代码: mean() 是求均值的函数

>> y_hat = k*x+b;  % y 的拟合值
>> SSR = sum((y_hat-mean(y)).^2)  %  回归平方和
>> SSE = sum((y_hat-y).^2)   %  误差平方和
>> SST = sum((y-mean(y)).^2)  %  总体平方和
>> SST-SSE-SSR
>> R_2 = SSR / SST

计算过程:

>> y_hat = k*x+b;  % y 的拟合值
>> SSR = sum((y_hat-mean(y)).^2)  %  回归平方和
SSR = 151.1583

>> SSE = sum((y_hat-y).^2)   %  误差平方和
SSE = 5.7281

>> SST = sum((y-mean(y)).^2)   %  总体平方和
SST = 156.8863

>> SST-SSE-SSR
ans = 5.6843e-14

>> R_2 = SSR / SST
R_2 = 0.9635

1.7 拟合工具箱

在这里插入图片描述 低版本的Matlab可以在命令窗口中直接输入”cftool” 在这里插入图片描述

1.8 补充的计算函数randi,rand,normrnd,roundn

1.8.1 randi(范围,行,列): 产生均匀分布的随机整数(i = int)
%产生一个110之间的随机整数矩阵,大小为2x5;
s1 = randi(10,2,5)
9	4	5	3	2
7	6	1	2	3

%产生一个-55之间的随机整数矩阵,大小为1x10;
s2 = randi([-5,5],1,10)
-1	-5	4	5	0	0	-2	4	-1	-4
1.8.2 rand(行,列): 产生0至1之间均匀分布的随机数
%产生一个01之间的随机矩阵,大小为1x5;
s3 = rand(1,5)
0.780252068321138	0.389738836961253	0.241691285913833	0.403912145588115	0.0964545251683886

%产生一个a至b之间的随机矩阵,大小为1x5;  % a + (b-a) * rand(1,5); 如:a,b = 2,5
s4= 2 + (5-2) * rand(1,5)
2.39591987781901	4.82615177232646	4.86840362068941	3.72562578523540	2.17933862884147
1.8.3 normrnd(均值,标准差,行,列):产生正态分布的随机数
%产生一个均值为0,标准差(方差开根号)为2的正态分布的随机矩阵,大小为3x4;
s5 = normrnd(0,2,3,4)

-1.73093606110961	-2.66400884263049	0.667021666131612	-0.260569306291441
-0.353068228462902	-4.65973431161015	0.782707208865802	0.367378191723884
1.58283212325727	-2.89819458567748	0.903358837856475	-0.952306033238148
1.8.4 roundn(数,位数)—任意位置四舍五入
% 0个位 1十位  2百位 -1小数点后一位  以此类推

a = 3.1415
roundn(a,-2)    % ans   =  3.1400
roundn(a,2)      % ans   =  0
a =31415
roundn(a,2)   % ans  = 31400
roundn(5.5,0)  %6
roundn(5.5,1) %10

参考链接