9 拉普拉斯

244 阅读4分钟

拉普拉斯变换是对傅立叶变换的推广,傅立叶变换要求este^{st}中的s是一个纯虚数,而拉普拉斯推广到了复数。

拉普拉斯变换

拉普拉斯变换如下:X(s)=x(t)estdtX(s)=\int_{-\infty}^\infty x(t)e^{-st}dt

拉普拉斯和傅立叶的关系:X(σ+jω)=x(t)e(σ+jω)tdt=[x(t)eσt]ejωdtX(\sigma + j\omega)=\int_{-\infty}^\infty x(t)e^{(\sigma+j\omega)t}dt=\int_{-\infty}^\infty [x(t)e^{\sigma t}]e^{j\omega}dt,拉普拉斯变换可以看作是对一个乘实指数信号后的傅立叶变换。

拉普拉斯变换需要同步给出ss的收敛域(Region of convergence, ROC)。这是因为会存在表达式一样但收敛域不同的情况,考虑下面的例子。

分别计算x(t)=eatu(t)x(t)=e^{-at}u(t)y(t)=eatu(t)y(t)=-e^{-at}u(-t),带入积分式可以发现,如果收敛那么X(s)=Y(s)=1s+aX(s)=Y(s)=\frac{1}{s+a},但是收敛的域不一样,对于x(t)x(t),要求Re(s)<aRe(s) < -a,对于y(t)y(t),要求Re(s)>aRe(s) > a

remark: eatu(t)e^{-at}u(t)的拉普拉斯变换形式为1s+a\frac{1}{s+a}, ROC为Re(s)>aRe(s)>-aeatu(t)-e^{-at}u(-t)的拉普拉斯变换形式为1s+a\frac{1}{s+a}, ROC为Re(s)<aRe(s)<-a

收敛域深入讨论

ROC具有以下特征

  • 1 X(s)的ROC在s平面内是平行于虚轴的条带

    这是因为收敛要求绝对可积,这个只对实部有约束

  • 2 有理变换ROC内不包含极点。

    所谓有理是指最后的变换完的形式是一个分式,分子和分母都是s的多项式。极点是分母多项式的0点。因为积分在极点处不收敛,所以ROC不会包含极点

  • 3 x(t)有限持续期且绝对可积,那么ROC就是整个复平面

    因为x(t)本身有限且绝对可积,那么不论你乘一个什么样的指数,其实都不会改变他的可积性,因此ROC不受拉普拉斯变换里那个s的影响。

  • 4 x(t)为右边信号,并且如果某一个实部所对应的直线在ROC内,那么这个直线右侧全在ROC内。

    所谓右边信号是指存在一个T,在小于T的位置信号都是0。在这种情况下,对于某个实部,如果拉普拉斯变换收敛了,那么更大的实部会让他衰减更快,更可以收敛。之所以要求是右边信号,就是因为衰减的快意味着左侧会更大,但因为左侧是有限的,所以不会影响可积性。

  • 5 x(t)为左边信号,并且如果某一个实部所对应的直线在ROC内,那么这个直线左侧全在ROC内。

    原理和上一条一样

  • 6 x(t)为双边信号,并且如果某一个实部所对应的直线在ROC内,那么整个ROC应是包含该直线的条带。

    结合上两条即可。把这个信号拆成一个左边信号和一个右边信号,那么ROC应该是两者的交集。而两者的ROC分别是向左和向右的半平面,因此求交集至多是一个条带。 3~6考虑了信号的所有情况,所以要么没有拉普拉斯变换,要么就是其中一种。

  • 7 有理拉普拉斯的ROC的分界线总是落在极点上

    结合2,4,5,可以知道,ROC内无极点,并且如果是左边信号,ROC是最左侧极点的左侧,右边信号,ROC是最右侧极点的右侧。

拉普拉斯逆变换

这个很好推,首先第一节已经发现,拉普拉斯变换X(σ+jω)X(\sigma + j\omega)可以看作是对信号x(t)eσtx(t)e^{-\sigma t}的傅立叶变换,所以直接对X(σ+jω)X(\sigma + j\omega)做傅立叶逆变换,得到的是x(t)eσt=12πX(σ+jω)ejωtdωx(t)e^{-\sigma t} =\frac{1}{2\pi} \int_{-\infty}^\infty X(\sigma + j\omega)e^{j\omega t}d\omega,然后左边消去eσte^{-\sigma t}s=σ+jωs=\sigma + j\omega换元可得,

x(t)=12πjσjσ+jX(s)estdsx(t)=\frac{1}{2\pi j}\int_{\sigma - j\infty}^{\sigma + j\infty}X(s)e^{st} ds

然而,对于有理变换,其实不需要直接求这个积分,因为可以直接把有理式拆分成一系列Cs+a\frac{C}{s+a}的形式,而这个由前面的remark可以直接恢复成±Ceatu(±t)\plusmn Ce^{-at}u(\plusmn t)。然后根据ROC确定符号。

利用零极点图求X(s)X(s)

一个有理变换可以整理成M(sβi)(saj)M\frac{\prod(s-\beta_i)}{\prod(s-a_j)},那么对于一个确定的s,可以在图上标出其位置,然后在实数轴标出aja_j的位置,此时从a指向s的向量就是sajs-a_j,那么他的模就是长度(分母上是倒数),相位就是±arctan\plusmn\arctan。如果是分子就是正号,分母就是负号。如果前面的系数M是复数,那么还要在增加一个π\pi

性质

基本和傅立叶一样,只是增加了ROC的讨论

  • 线性:ax(t)+by(t),L:aX(s)+bY(s)ax(t)+by(t), L: aX(s)+bY(s),ROC求交集
  • 时移:x(tt0),L:est0X(s)x(t-t_0), L: e^{-st_0}X(s),ROC不变
  • s域移动:e^{s_0t}x(t), L: X(s-s_0),, ROC=R+Re(s_0)$
  • 伸缩:x(at),L:1aX(sa)x(at), L: \frac{1}{|a|}X(\frac{s}{a}), ROC=R/a
  • 时间反转:x(t),L:X(s)x(-t), L: X(-s), ROC=-R
  • 共轭:x(t),L:X(s)x^*(t), L: X^*(s*),ROC不变
  • 卷积:x(t)y(t),L:X(s)Y(s)x(t)*y(t), L: X(s)Y(s), ROC求交,如果存在零极点相消,那么ROC可以更大
  • 时域微分:dx(t)dt,L:sX(s)\frac{dx(t)}{dt}, L: sX(s),ROC包括R
  • s域微分:dX(s)/ds,InverseL:tx(t)dX(s)/ds, InverseL: -tx(t),ROC=R
  • 时域积分:tx(t)dt,L:1sX(s)\int_{-\infty}^t x(t)dt, L: \frac{1}{s}X(s), ROC包括RRe(s)>0R\cap Re(s)>0
  • 初值与终值定理:前提条件t<0t<0x(t)=0x(t)=0并且x(t)x(t)不包含冲激或高阶奇异导数,那么x(0+)=limssX(s)x(0^+)=\lim_{s\rightarrow \infty} sX(s)limtx(t)=lims0sX(s)\lim_{t\rightarrow \infty} x(t)=\lim_{s\rightarrow 0}sX(s)

拉普拉斯与LTI

和傅立叶一样,如果单位冲激响应的拉普拉斯变换为H(s)H(s),那么对于y(t)=h(t)x(t)y(t)=h(t)*x(t),有Y(s)=H(s)X(s)Y(s)=H(s)X(s)

  • 因果系统的H的ROC是某个右半平面

    这是因为因果系统的单位冲激响应只在t>0有,根据性质讨论可以得出此结论。如果是反过来结论不一定成立,但是如果H是有理的,那么因果性就等价于ROC位于最右侧极点的右边。

  • 稳定系统等价于ROC包含虚数轴

    因为稳定性要求h是绝对可积的,那么傅立叶变换收敛,这说明包含虚轴的ROC下H收敛。

  • 推论:有理H的因果系统是稳定的,等价于所有极点都在左半平面

    有理因果系统的ROC在最右侧极点的右边,所以如果所有极点都在左侧,他就包含虚轴

微分方程表征的系统

和傅立叶变换也基本一样

k=0Nakdky(t)dtk=k=0Nbkdkx(t)dtk\sum_{k=0}^N a_k \frac{d^k y(t)}{dt^k} = \sum_{k=0}^N b_k \frac{d^k x(t)}{dt^k}

那么H(s)=k=0Mbkskk=0NakskH(s)=\frac{\sum_{k=0}^M b_k s^k}{\sum_{k=0}^N a_k s^k}

单边拉普拉斯变换

和双边唯一的区别是,积分下限从-\infty变成了00^-

性质也几乎一样,区别点时间尺度变换a必须是正数,否则没意义,因此没有反转。此外时域微分:dx(t)dt,L:sX(s)x(0)\frac{dx(t)}{dt}, L: sX(s)-x(0^-),别的一样。

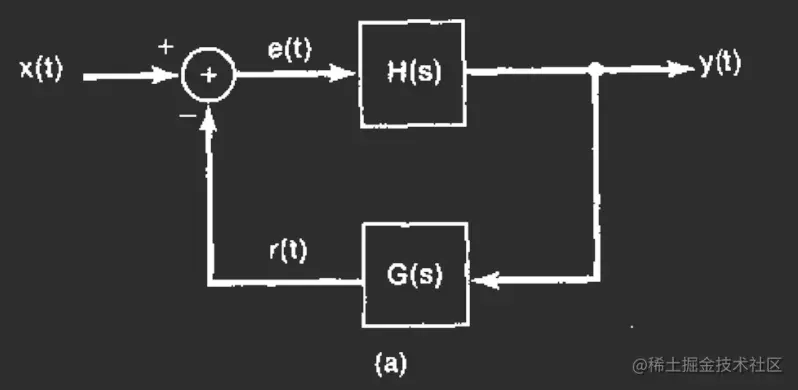
线性反馈系统

一个通用的反馈系统的系统框图如下图所示

chap10-box.png 从框图可以得到整个系统的系统函数Q(s)=H(s)1+G(s)H(s)Q(s)=\frac{H(s)}{1+G(s)H(s)}

应用:构建逆系统

假设一个系统函数为P(s)P(s),那么构建G(s)=P(s),H(s)=KG(s)=P(s), H(s)=K的线性反馈系统,K足够大的时候,整体的系统函数近似为1P(s)\frac{1}{P(s)}

应用2: 构建稳定系统

回顾第九章,稳定系统要求h绝对可积(保证输入有界的时候输出有界),对应其拉普拉斯变换的sROC包含虚轴,因此,考虑一个不稳定的系统H(s)=bsaH(s)=\frac{b}{s-a},然后设计一个G(s)=KG(s)=K,反馈系统的拉普拉斯变换为Q(s)=bsa+KbQ(s)=\frac{b}{s-a+Kb},如果K>a//bK>a//b,ROC就包含虚轴了。

离散随机信号

有的时候信号可能不是确定的,而是一个随机过程的sample,这样需要考虑输入和输出就有变化。

考虑输入x[n]x[n]是随机的,考虑信号在每个时刻的期望mx[n]=E[x[n]]m_x[n] = E[x[n]]

广义平稳(WSS)的定义:一阶矩和二阶矩不随时间变化。

有了上述符号和平稳的概念,开始从定义出发分析。由定义:

y[n]=k=h[k]x[nk] y[n] = \sum_{k=-\infty}^\infty h[k] x[n-k]

两侧求期望,并按照期望的线性性有

my[n]=E[y[n]]=k=h[k]E[x[nk]] m_y[n] = E[y[n]] = \sum_{k=-\infty}^\infty h[k] E[x[n-k]]

如果输入是平稳的,那么E[x[n]]=mxE[x[n]]=m_x,所以

my[n]=k=h[k]mx=mxH(ej0) m_y[n] = \sum_{k=-\infty}^\infty h[k] m_x=m_x H(e^{j0})

这样可以看到,其实如果输入平稳,输出也是平稳的。

自相关函数ϕyy[n,n+m]=E[y[n]y[n+m]]\phi_{yy}[n,n+m]=E[y[n]y[n+m]],如果是平稳的,那么ϕy[n,n+m]\phi_y[n,n+m]只与间隔有关,可以简写为ϕyy[m]\phi_{yy}[m]

确定性自相关序列:chh[l]=k=h[k]h[k+l]c_{hh}[l]=\sum_{k=-\infty}^\infty h[k]h[k+l],可以看作是h[n]h[n]h[n]*h[-n],假设h是实的,所以Chh(ejω)=H(ejω)H(ejω)=H(ejω)2C_{hh}(e^{j\omega})=H(e^{j\omega})H^*(e^{j\omega})=|H(e^{j\omega})|^2

如果用Φ\Phi表示ϕ\phi的傅立叶变换,那么有Φyy(ejω)=Chh(ejω)Φxx(ejω)\Phi_{yy}(e^{j\omega})=C_{hh}(e^{j\omega})\Phi_{xx}(e^{j\omega})

E[y2[n]]=ϕyy[0]=12πππΦyy(ejω)dω=12πππH(ejω)2Φxx(ejω)dωE[y^2[n]]=\phi_{yy}[0]=\frac{1}{2\pi}\int_{-\pi}^\pi \Phi_{yy}(e^{j\omega})d\omega= \frac{1}{2\pi}\int_{-\pi}^\pi |H(e^{j\omega})|^2 \Phi_{xx}(e^{j\omega})d\omega