了解并开始学习webgl | 青训营笔记

70 阅读3分钟

这是我参与「第五届青训营 」伴学笔记创作活动的第 3 天

因为可视化项目用到了webgl所以就开始学习了

介绍

WebGL(全写Web Graphics Library)字面意义理解就是web图像库.是一种3D绘图协议,也可以说是一个负责图形处理的JavaScript API,可在任何兼容的Web浏览器中渲染高性能的交互式3D和2D图形,而无需使用插件.总结一句话,“webgl是一个专门计算或渲染3D图像的javascriptAPI也可以称之为专门处理3D图像的一种javascript技术”.

起源

能不能让浏览器真正实现显卡级别的能够通过OpenGL来操作web图形界面的真正的三维动画效果,而不是现在的伪三维(逐帧动画).这个时候webGL就应运而生了.

webGL 与canvas的结合使得我们可以在网页上显示 和操作三维图形. 比如开发三维的用户界面, 运行三维的网络游戏或是三维动画等等,这也是webGL 的优势

OpenGL

openGL是webGL的老大哥。

OpenGL是用于渲染2D, 3D图形的跨语言,跨平台的应用程序 编程接口.它可以通过exe的执行程序 去操作我们显卡驱动程序,通过显卡把图形图像渲染到显示器上,最终成现出三维效果.

WebGL工作原理

图像渲染其实是前端工程师使用CSS语言,去调用Web GL的API,然后通过WebGL去调用底层的openGL,来达到操作显卡驱动的目的。

OpenGL-ES

OpenGL-ES 是openGL的一个精简版.专用于嵌入式计算机、智能手机、家用游戏机等设备。OpenGL ES移除了OpenGL中许多陈旧无用的新特性,并且增加了新特性。这使得OpenGL ES保持了轻量级的同时,还有足够的能力渲染出精美的三维图形。

webGL开发环境搭建

WebGL是内嵌在浏览器中的,所以我们只需要准备一个支持WebGL的浏览器 和 一个文本编辑器就可以了

webGL的程序 结构

WebGL程序/页面包含了三种语言:HTML5、JavaScript以及GLSL ES(着色器语言)。通常GLSL ES是以字符串的形式在JavaScript中编写的。所以实际上WebGL程序也只需要用到HTML文件(.html)和JavaScript(.js)文件。

学习WebGL能做些什么

随着webGL的出现, 直接开拓出我们前端开发的一个全新的技术领域. webGL技术很多 已经被 应用到了网络游戏\ 物理模型\虚拟现实\城市地图等等.

今日学习WebGL的重点

1.变换矩阵

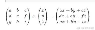
变换矩阵是数学线性代数中的一个概念。在线性代数中,线性变换能够用矩阵表示。如果T TT是一个把R n R_nRn​映射到R m R_mRm​的线性变换,且x xx是一个具有n nn个元素的列向量 ,那么我们把m × n m×nm×n的矩阵A AA,称为T TT的变换矩阵。

平移

平移的数学原理很容易理解,在x y z的基础上分别加上一个平移量即可:

  • x’ = x + Tx
  • y’ = y + Ty
  • z’ = z + Tz

但是这里有一个问题:根据前面矩阵相乘的理论,n维矩阵和n维向量相乘,不能实现向量和一个常量进行加减的操作:

为了解决这个问题,结合之前齐次坐标系的知识,可以使用一个4维的矩阵,同时将点坐标也扩充为vec4,设原始点坐标为(x,y,z,1),平移后点坐标为(x’,y’,z’,1):

换为表达式的形式则为:

比较x’,可得a=1,b=0,c=0,d=Tx;比较y’,可得f=1,e=0,g=0,h=Ty;比较z’,可得k=1,i=0,j=0,l=Tz;由此可得平移矩阵的表达式: