Spark Sql在UDF中如何引用外部数据

1,832 阅读4分钟

前言

Spark Sql可以通过UDF来对DataFrame的Column进行自定义操作。在特定场景下定义UDF可能需要用到Spark Context以外的资源或数据。比如从List或Map中取值,或是通过连接池从外部的数据源中读取数据,然后再参与Column的运算。Excutor中每个task的工作线程都会对UDF的call进行调用,外部资源的使用发生在Excutor端,而资源加载既能发生在Driver端,也可以发生在Excutor端。如果外部资源对象能序列化,我们可以在Driver端进行初始化,然后广播(broadcast)到Excutor端参与运算。对于不能进行序列化的对象,如JedisPool(redis连接池),只能在Excutor端进行初始化。因此,在UDF中引用外部资源有以下两类方法:

  1. 能序列化:在Driver端进行初始化,然后通过spark的broadcast方法广播到Excutor上进行使用;

  2. 不能序列化:在Excutor端进行初始化然后使用。

下面我们将用一个实际例子对上述两种方法进行详细介绍。

本文使用环境:Spark-2.3.0,Java 8。

场景介绍

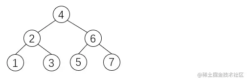
我们以一个DataFrame(两个字段node_1、node_2)作为原始数据;一棵二叉搜索树(BST)作为Spark外部被引用数据;目标是定义一个UDF来判断:BST中是否刚好存在一个父节点,它的左右子节点值与node_1、node_2两个字段值相同。然后将判断结果输出到新列is_bro。其中DataFrame:

image.png

BST:

image.png

输出DataFrame:

image.png

二叉树的定义与判断是否为父节点的左右子节点的逻辑如下:

import java.io.Serializable;

/**
 * @author wangjiahui
 * @create 2021-03-14-10:57
 */
public class TreeNode implements Serializable{
    private Integer val;
    private TreeNode left;
    private TreeNode right;

    public TreeNode() {
    }

    public TreeNode(Integer val) {
        this.val = val;
    }

    public TreeNode(Integer val, TreeNode left, TreeNode right) {
        this.val = val;
        this.left = left;
        this.right = right;
    }

    public Integer getVal() {
        return val;
    }

    public void setVal(Integer val) {
        this.val = val;
    }

    public TreeNode getLeft() {
        return left;
    }

    public void setLeft(TreeNode left) {
        this.left = left;
    }

    public TreeNode getRight() {
        return right;
    }

    public void setRight(TreeNode right) {
        this.right = right;
    }

    /**
     * 判断是否刚好有一个父节点的左、右子节点值与num1、num2相同
     * @param num1
     * @param num2
     * @return
     */

    public Boolean isBro( Integer num1, Integer num2) {
        if (null == getLeft()||null == getRight()) {
            return false;
        }
        if (getLeft().getVal().compareTo(num1)==0 && getRight().getVal().compareTo(num2)==0) {
            return true;
        }
        return getLeft().isBro(num1, num2) || getRight().isBro(num1, num2);
    }
}

生成上图所示BST的方法createTree()如下:

public static TreeNode createTree(){
    TreeNode[] treeNodes = new TreeNode[8];
    for(int i=1; i<=7; i++){
        treeNodes[i] =  new TreeNode(i);
    }

    treeNodes[2].setLeft(treeNodes[1]);
    treeNodes[2].setRight(treeNodes[3]);

    treeNodes[6].setLeft(treeNodes[5]);
    treeNodes[6].setRight(treeNodes[7]);

    treeNodes[4].setLeft(treeNodes[2]);
    treeNodes[4].setRight(treeNodes[6]);

    return treeNodes[4];
}

方法一 Driver端加载

在Driver端完成初始化并定义UDF

JavaSparkContext javaSparkContext = new JavaSparkContext(spark.sparkContext());

//  初始化树
TreeNode tree = createTree();
//  broadcast
Broadcast<TreeNode> broadcastTree = javaSparkContext.broadcast(tree);

//  lambda表达式定义udf
UserDefinedFunction udf = functions.udf((Integer num1, Integer num2) -> {
    return broadcastTree.getValue().isBro(num1,num2);
}, BooleanType);

//  注册udf
spark.udf().register("isBro",udf);

//  使用udf
df = df.withColumn("is_bro",functions.expr("isBro(node_1, node_2)"));

方法二 Excutor端加载

如果我们直接在call中进行初始化会存在问题:由于多个task的线程会在同一时刻对UDF中的call进行调用,导致资源对象在同一时刻被初始化多次,造成Excutor内存资源浪费。此外,如果外部资源为连接池对象,在同一时刻初始化多次会建立多个连接,增加外部数据源的访问压力。为此,我们可以借助单例模式中的懒汉式实现,让资源在每个Excutor中只被初始化一次。懒汉式的实现需要新建一个类(命名为IsBroUDF2)并实现UDF2<Integer, Integer, Boolean>接口,重写UDF2的call方法:

import org.apache.spark.sql.api.java.UDF2;

/**
 * @author wangjiahui
 * @create 2021-03-14-14:25
 */
public class IsBroUDF2 implements UDF2<Integer,Integer,Boolean> {
    // 定义静态的TreeNode成员变量
    private static volatile TreeNode treeNode;

    public IsBroUDF2() {
    }

    @Override
    public Boolean call(Integer num1, Integer num2) throws Exception {
//        懒汉式 二次判定
        if(null==treeNode){
            synchronized (IsBroUDF2.class){
                if(null==treeNode){
                    treeNode=createTree();
                }
            }
        }
        return treeNode.isBro(num1,num2);
    }

    // 辅助方法
    public static TreeNode createTree(){
        TreeNode[] treeNodes = new TreeNode[8];
        for(int i=1; i<=7; i++){
            treeNodes[i] =  new TreeNode(i);
        }

        treeNodes[2].setLeft(treeNodes[1]);
        treeNodes[2].setRight(treeNodes[3]);

        treeNodes[6].setLeft(treeNodes[5]);
        treeNodes[6].setRight(treeNodes[7]);

        treeNodes[4].setLeft(treeNodes[2]);
        treeNodes[4].setRight(treeNodes[6]);

        return treeNodes[4];
    }
}

然后注册和使用UDF

//  注册udf
spark.udf().register("isBro",new IsBroUDF2(), BooleanType);

//  使用udf
df = df.withColumn("is_bro",functions.expr("isBro(node_1, node_2)"));

在call方法中通过加锁可以实现TreeNode资源在同一个Excutor中只被初始化一次。除了上面介绍的这种懒汉式的写法之外,还可以通过静态内部类懒加载、枚举等方式实现TreeNode资源在Excutor端只被初始化一次。

小结

想要在Spark Sql的UDF中使用Spark外的资源和数据进行运算,我们既可以在Driver端预先进行初始化然后广播到各Excutor上(要求对象能序列化),也可以直接在Excutor端进行加载;如果在Excutor端加载要保证外部资源对象只被初始化一次。