【算法题解】删除链表的倒数第 N 个结点

95 阅读3分钟

这是一道 中等难度 的题。

题目来自:leetcode

题目

给你一个链表,删除链表的倒数第 n 个结点,并且返回链表的头结点。

示例 1删除链表的倒数第 N 个结点

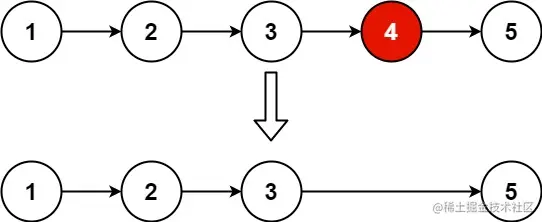
输入:head = [1,2,3,4,5], n = 2
输出:[1,2,3,5]

示例 2:

输入:head = [1], n = 1
输出:[]

示例 3:

输入:head = [1,2], n = 1
输出:[1]

提示: 链表中结点的数目为 szsz

  1. 1<=sz<=301 <= sz <= 30
  2. 0<=Node.val<=1000 <= Node.val <= 100
  3. 1<=n<=sz1 <= n <= sz

进阶: 你能尝试使用一趟扫描实现吗?

解法一:计算链表长度

想要删除链表中的一个节点,最简单的做法就是找到这个节点的前一个节点,然后将前一个节点的next指针指向需删除节点的下一个节点。如删除 节点4,即将 节点3 的下一个节点直接指向 节点5 删除链表的倒数第 N 个结点

题目要求删除的是倒数第n个节点,由于单链表只能从头开始往后找,所以我们需要知道需删除节点的位置从前开始数是应该是第几个。

可以先从头到尾循环一遍计算出总节点数total,那么被删除节点的位置deleteIndex应该是total + 1 - n,被删节点的前一个位置是total - n

然后从头开始循环第二遍,直接找到total - n这个位置的节点并记为pre,然后删除pre的下一个节点。

Java 代码实现

/**
 * Definition for singly-linked list.
 * public class ListNode {
 * int val;
 * ListNode next;
 * ListNode() {}
 * ListNode(int val) { this.val = val; }
 * ListNode(int val, ListNode next) { this.val = val; this.next = next; }
 * }
 */
class Solution {
    public ListNode removeNthFromEnd(ListNode head, int n) {
        ListNode protect = new ListNode(0);
        protect.next = head;

        int total = 0;
        while(head != null){
            total++;
            head = head.next;
        }

        int deleteIndex = total + 1 - n;
        
        ListNode pre = protect;
        for(int i = 1; i < deleteIndex; i++){
            pre = pre.next;
        }
        pre.next = pre.next.next;
       
        return protect.next;
    }
}

Go 代码实现

/**
 * Definition for singly-linked list.
 * type ListNode struct {
 * Val int
 * Next *ListNode
 * }
 */
func removeNthFromEnd(head *ListNode, n int) *ListNode {

    // 保护节点
    protect := &ListNode{0, head}

    // 计算链表长度
    total := 0
    for head != nil {
        total++
        head = head.Next
    }

    // 被删除节点位置
    deleteIndex := total + 1 - n

    // 找到删除节点的前一个
    pre := protect
    for i := 1; i < deleteIndex; i++ {
        pre = pre.Next
    }

    pre.Next = pre.Next.Next

    return protect.Next

}

复杂度分析

时间复杂度O(N)O(N), 需要循环两遍节点,第一遍是total次,第二遍是total - n次,总的来说是线性的时间复杂度, N 位链表总节点数。

空间复杂度O(1)O(1), 常数级空间复杂度。

解法二:双指针

解法一总共扫描了2次,题目进阶要求扫描1次如何解题?

要删除倒数第n个节点,我们需要找到倒数第n + 1个节点。在扫描一次的前提下, 我们可以使用双指针来解题:

  1. 先定义2个指针firstsecond并让它们都指向保护节点。
  2. second指针单独向后移动n + 1 个节点。
  3. firstsecond之间相差n + 1个节点时,first指针跟随second指针一起向后移动。
  4. second指针指向null的时候,这个时候first指针刚好指向删除节点的前一个节点。
  5. 删除指定节点。 删除链表的倒数第 N 个结点

Java 代码实现

/**
 * Definition for singly-linked list.
 * public class ListNode {
 * int val;
 * ListNode next;
 * ListNode() {}
 * ListNode(int val) { this.val = val; }
 * ListNode(int val, ListNode next) { this.val = val; this.next = next; }
 * }
 */
class Solution {
    public ListNode removeNthFromEnd(ListNode head, int n) {
        ListNode protect = new ListNode(0);
        protect.next = head;

        ListNode first = protect, second = protect;
        for(int i = 1; i <= n + 1; i++){
            second = second.next;
        }

        while(second != null){
            second = second.next;
            first = first.next;
        }
        first.next = first.next.next;

        return protect.next;
    }
}

Go 代码实现

/**
 * Definition for singly-linked list.
 * type ListNode struct {
 * Val int
 * Next *ListNode
 * }
 */
func removeNthFromEnd(head *ListNode, n int) *ListNode {

    protect := &ListNode{0, head}

    first, second := protect, protect
    for i := 1; i <= n + 1; i++ {
        second = second.Next
    }

    for second != nil {
        second = second.Next
        first = first.Next
    }

    first.Next = first.Next.Next

    return protect.Next
}

复杂度分析

时间复杂度O(N)O(N), 两个循环加起来second指针刚好从头走到尾,时间复杂度为链表长度。

空间复杂度O(1)O(1), 常数级空间复杂度。