m基于PSO粒子群优化的立体仓库货位优化matlab仿真

193 阅读6分钟

1.算法描述

       PSO算法是一种随机的、并行的优化算法。它的优点是:不要求被优化函数具有可微、可导、连续等性质,收敛速度较快,算法简单,容易编程实现。然而,PSO算法的缺点在于:(1)对于有多个局部极值点的函数,容易陷入到局部极值点中,得不到正确的结果。造成这种现象的原因有两种,其一是由于待优化函数的性质;其二是由于微粒群算法中微粒的多样性迅速消失,造成早熟收敛。这两个因素通常密不可分地纠缠在一起。(2)由于缺乏精密搜索方法的配合,PSO算法往往不能得到精确的结果。造成这种问题的原因是PSO算法并没有很充分地利用计算过程中获得的信息,在每一步迭代中,仅仅利用了群体最优和个体最优的信息。(3)PSO算法虽然提供了全局搜索的可能,但是并不能保证收敛到全局最优点上。(4)PSO算法是一种启发式的仿生优化算法,当前还没有严格的理论基础,仅仅是通过对某种群体搜索现象的简化模拟而设计的,但并没有从原理上说明这种算法为什么有效,以及它适用的范围。因此,PSO算法一般适用于一类高维的、存在多个局部极值点而并不需要得到很高精度解的优化问题。

        当前针对PSO算法开展的研究工作种类繁多,经归纳整理分为如下八个大类:(1)对PSO算法进行理论分析,试图理解其工作机理;(2)改变PSO算法的结构,试图获得性能更好的算法;(3)研究各种参数配置对PSO算法的影响;(4)研究各种拓扑结构对PSO算法的影响;(5)研究离散版本的PSO算法;(6)研究PSO算法的并行算法;(7)利用PSO算法对多种情况下的优化问题进行求解;(8)将PSO算法应用到各个不同的工程领域。以下从这八大类别着手,对PSO算法的研究现状作一梳理。由于文献太多,无法面面俱到,仅捡有代表性的加以综述。

 

       PSO初始化为一群随机粒子(随机解)。然后通过迭代找到最优解。在每一次迭代中,粒子通过跟踪两个“极值(pbest和gbest)”来更新自己。在找到这两个最优值后,粒子通过下面的公式来更新自己的速度和位置。

1.png

 对于公式(1):

 

公式(1)中的第一部分称为记忆项,表示上次速度大小和方向的影响;

公式(1)中的第二部分称为自身认知项,是从当前点指向粒子自身最好点的一个矢量,表示粒子的动作来源于自己经验的部分;

公式(1)中的第三部分称为群体认知项,是一个从当前点指向种群最好点的矢量,反映了粒子间的协调合作和知识共享。粒子就是通过自己的经验和同伴中最好的经验来决定下一步的运动。

 

 

立体仓库基本参数

 

双排,12列5层,共120个货位,货位尺寸:530×500×350mm,货位承重30kg

两排货架间有单立柱堆垛机一台,平运行速度30M/MIN,起升速度15M/MIN,货叉速度15M/MIN,额定载重30Kg

2.jpeg      优化目标

 

要求对出库频率越高的货物,出库时间越短,也就是货位安排在距离出库台越近的位置,对于出入库频率较低的货物,则可以有相对较长的出入库时间。

物料分散存放避免因集中存放造成货格受力不均匀的问题。重物在下、轻物在上,使货架更加稳定(重心最小)。

以分类存放的货品相关性原则为目标,并先入库的同种货品,在出库时具有优先权,

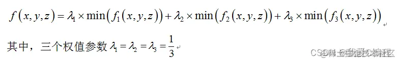
最后优化的目的就是将拥有上述三种属性的商品进行最优的存放,使得

 

     1.要求对出库频率越高的货物,出库时间越短,也就是货位安排在距离出库台越近的位置,对于出入库频率较低的货物,则可以有相对较长的出入库时间。

 

     2.物料分散存放避免因集中存放造成货格受力不均匀的问题。重物在下、轻物在上,使货架更加稳定(重心最小)。

 

     3.以分类存放的货品相关性原则为目标,并先入库的同种货品,在出库时具有优先权,

 

然后建立如下的优化目标函数。

3.png

2.matlab算法仿真效果

matlab2022a仿真结果如下:

4.png

5.png

6.png

7.png

8.png

3.MATLAB核心程序 `for j = 1:B

    for k = 1:C

        for i = 1:A

            if i == 1

               Xs= [Xs,L*i];

               Ys= [Ys,W*j];

               Zs= [Zs,H*k];

            end

            if i == 2

               Xs= [Xs,L*i+D];

               Ys= [Ys,W*j];

               Zs= [Zs,H*k];

            end

        end

    end

end

 

figure;

subplot(121);

plot3(Xs,Ys,Zs,'bo');

hold on

for i = 1:ABC

    boxplot3(Xs(i),Ys(i),Zs(i),0.8L,0.8W,0.8*H,'b'); %乘以0.8方便显示

end

grid on

xlabel('x');

ylabel('y');

zlabel('z');

title('初始货柜中心三维图(未放货品)');

axis equal;

axis([-1,3,-1,7,-1,3]);

%初始化货品存放效果

%货品类别书

LB     = 2;

%每种类别的个数,通过随机化来产生

pk     = rand(1,LB)/3;

mk     = 30*rand(1,LB);

 

%初始化各个货品的摆放的坐标位置

Num_lb = zeros(1,LB);

for i = 1:LB

    %Num_lb(i) = round(2*rand(1,1))+1;

    Num_lb(i) = 2;

end

POS_index = randperm(ABC);

%初始化坐标轴

for i = 1:LB

    if i == 1

       POS_ini{i} = POS_index(1:Num_lb(1));

    else

       POS_ini{i} = POS_index(sum(Num_lb(1:i-1))+1:sum(Num_lb(1:i)));

    end

end

 

%绘制三维初始摆放效果。

subplot(122);

func_view();

 

%%

%下面开始使用遗传优化算法

%根据遗传算法进行参数的拟合

MAXGEN = 100;

NIND   = 4000;

 

Chrom  = crtbp(NIND,sum(Num_lb)*10);

Areas0 = [0;20];

Areas  = [];

for i = 1:sum(Num_lb)

    Areas  = [Areas,Areas0];

end

 

FieldD = [rep([10],[1,sum(Num_lb)]);Areas;rep([0;0;0;0],[1,sum(Num_lb)])];

 

 

Data1 = zeros(NIND,sum(Num_lb));

Data2 = zeros(MAXGEN,sum(Num_lb));

 

gen   = 0;

% randperm(ABC)

for a=1:1:NIND

    %保证每个数值不一样,

    tmps       = POS_index;

    Data1(a,:) = tmps(1:sum(Num_lb));      

  

    %计算对应的目标值

    epls       = func_obj(Data1(a,:));

    E          = epls;

    J(a,1)     = E;

end

 

Objv  = (J+eps);

gen   = 0;

 

while gen < MAXGEN;   

      gen

      

      FitnV=ranking(Objv);    

      Selch=select('sus',Chrom,FitnV);    

      Selch=recombin('xovsp', Selch,0.9);   

      Selch=mut( Selch,0.1);   

      phen1=bs2rv(Selch,FieldD);   

      

      for a=1:1:NIND  

          if gen == 1

             tmps       = POS_index;

             Data1(a,:) = tmps(1:sum(Num_lb));              

          else

             Data1(a,:) = floor(phen1(a,:))+1;      

          end

          %计算对应的目标值

          epls    = func_obj(Data1(a,:));

          E       = epls;

          JJ(a,1) = E;

      end

      

      Objvsel=(JJ);    

      [Chrom,Objv]=reins(Chrom,Selch,1,1,Objv,Objvsel);   

      gen=gen+1;

 

      %保存参数收敛过程和误差收敛过程以及函数值拟合结论

      Error(gen)            = mean(JJ);

end

 

 

[V,I] = sort(Objvsel);

 

for i = 1:length(V)

    L1 = length(Data1(I(i),:));

    L2 = length(unique(Data1(I(i),:)));

    if L1 == L2

       index = I(i);

       break;

    end

end

Databest = Data1(index,:);      

02_038m`