Word 公式 转义符——UnicodeMath语法 对照简表

1,732 阅读9分钟

转自:blog.csdn.net/weixin_4422…

前言(你想知道的都在这里)

1.Word插入公式快捷键WIndows+Alt+=
2.线性格式转换为公式:按space,以下" "表示按空格键。
3.取消公式转换 快捷键Ctrl+z
4.此处略去一万字,想看故事or吐槽的朋友请跳转至“关于Word和UnicodeMath那些一言难尽的事”章节。

分式、声调、上下标

语法效果语法效果
a/ba b \frac{a}{b}ba​x^2x 2 x^2x2
a_2a 2 a_2a2​t_(i,j)^(2+3)t i , j 2 + 3 t_{i,j}^{2+3}ti,j2+3​
(_2^3)He在这里插入图片描述\breve在这里插入图片描述
\hat(a)a ^ \hat{a}a^\check(a)a ˇ \check{a}aˇ
\tilde(a)a ~ \tilde{a}a~\acute(a)a ˊ \acute{a}aˊ
\grave(a)a ˋ \grave{a}aˋ\dot(a)a ˙ \dot{a}a˙
\ddot(a)a ¨ \ddot{a}a¨\dddot(a)在这里插入图片描述
\ddddot(a)在这里插入图片描述\tvec(a)在这里插入图片描述
\bar(a)a ˉ \bar{a}aˉ\vec(a)a ⃗ \vec{a}a
\Bar(a)在这里插入图片描述\hvec(a)在这里插入图片描述

希腊字母

语法效果语法效果
\alpha\beta\gamma\delta\epsilon\zeta\eta\theta\iota\kappa\lambda\mu在这里插入图片描述
\nu\xi\pi\rho\sigma\tau在这里插入图片描述\upsilon\phi\chi\psi\omega
\varepsilon\varphi\varpi\varrho\varsigma\vartheta在这里插入图片描述\Alpha\Beta\Gamma\Delta\Epsilon\Zeta在这里插入图片描述

注:大写字母仅需将小写字母代码中首字母大写即可,\var开头的小写字母是其同类字母的变体,与不带\var的小写字母共用同一个大写字母。其他大写字母形状可以参考希腊字母表。

几何与简单运算

语法效果语法效果
\angle在这里插入图片描述\bot在这里插入图片描述
\bigodot在这里插入图片描述90\degree在这里插入图片描述
\times在这里插入图片描述\div在这里插入图片描述
\parallel在这里插入图片描述

根号

语法效果语法效果
\sqrt(a)a \sqrt{a}a​\sqrt(n&a)a n \sqrt[n]{a}na​
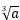
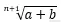
\root n+1\of(a+b)在这里插入图片描述\cbrt(a)在这里插入图片描述
\qdrt(a)在这里插入图片描述\sqrt abc在这里插入图片描述

积分

语法效果语法效果
\int在这里插入图片描述\iint在这里插入图片描述
\iiint在这里插入图片描述\iiiint在这里插入图片描述
\oint\oiint在这里插入图片描述
\oiiint在这里插入图片描述\aoint在这里插入图片描述
\coint在这里插入图片描述

微分

功能语法效果
梯度算子\nabla f在这里插入图片描述
一阶时间微分\dot(t)在这里插入图片描述
一阶导数f\prime在这里插入图片描述
二阶导数f\pprime在这里插入图片描述
三阶导数f\ppprime在这里插入图片描述
四阶导数f\pppprime在这里插入图片描述
高阶导数d^n y/dx^n 在这里插入图片描述
偏微分\partial y/(\partial x)在这里插入图片描述
增量\incx在这里插入图片描述

带圈、带框运算符,点与省略号

语法效果语法效果
\odot在这里插入图片描述\ominus在这里插入图片描述
\oplus在这里插入图片描述\otimes在这里插入图片描述
\bullet在这里插入图片描述\circ在这里插入图片描述
\cdot在这里插入图片描述\cdots在这里插入图片描述
\dots在这里插入图片描述\ldots在这里插入图片描述
\ddots在这里插入图片描述\rddots在这里插入图片描述
\vdots在这里插入图片描述\boxplus在这里插入图片描述
\boxdot在这里插入图片描述\boxminus在这里插入图片描述

特殊符号

语法效果语法效果
\aleph在这里插入图片描述\ast在这里插入图片描述
\beth在这里插入图片描述\bowtie在这里插入图片描述
\clubsuit在这里插入图片描述\daleth在这里插入图片描述
\degc在这里插入图片描述\degf在这里插入图片描述
\star在这里插入图片描述\diamond在这里插入图片描述
\diamondsuit在这里插入图片描述\heartsuit在这里插入图片描述
\gimel在这里插入图片描述\models在这里插入图片描述
\mapsto在这里插入图片描述

大型运算符与极限

功能/名称语法效果
求和\sum_(n=1)^mf(n)在这里插入图片描述
连乘\prod_(n=1)^mf(n)在这里插入图片描述
/\amalg_(n=1)^mf(n)在这里插入图片描述
极限lim_(n\rightarrow\infty)a_n在这里插入图片描述

矩阵、方程组、等式对齐、公式编号

功能/名称语法效果
编号a=b#(20)Enter在这里插入图片描述
空矩阵\matrixSpace(a&b@c&d) Space在这里插入图片描述
矩阵(圆括号)(\matrixSpace(a&b@c&d)Space)Space\pmatrixSpace(a&b@c&d)Space在这里插入图片描述
矩阵(方括号)[\matrixSpace(a&b@c&d)Space]Space在这里插入图片描述
行列式\vert\matrixSpace(a&b@c&d)\vertSpace``Space在这里插入图片描述
范数\norm\matrixSpace(a&b@c&d)\normSpace``Space在这里插入图片描述
组合数(n\atopSpacem)Space在这里插入图片描述
方程组{\eqarraySpace(12&x+3&y=8@5&x+20&y=7)\rightSpace``Space\casesSpace(12&x+3&y=8@5&x+20&y=7)\rightSpace``Space在这里插入图片描述
对齐等式\eqarraySpace(f&=1+2+3@&=1+5@&=6)Space在这里插入图片描述

Word采用&作为对齐符号,官方文档说可以直接对齐不同公式区的等号,但是我的Word里面似乎不适用这条,所以采用了\eqarray的形式作为演示。

在箭头、等号、大括号上加标注

功能/名称语法效果
上划线\overbarSpace(1+1+1+\cdots+1)Space在这里插入图片描述
下划线\underbarSpace(1+1+1+\cdots+1)Space在这里插入图片描述
顶(大)括号\overbraceSpace(1+1+1+\cdots+1)^(n times)Space在这里插入图片描述
底(大)括号\underbraceSpace(1+1+1+\cdots+1)_(n times)Space在这里插入图片描述
顶(圆)括号\overparrenSpace(1+1+1+\cdots+1)^(n times)Space在这里插入图片描述
底(圆)括号\overbraceSpace(1+1+1+\cdots+1)_(n times)Space在这里插入图片描述
顶(壳)括号\overshellSpace(2134)^(4位)Space在这里插入图片描述
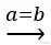
上控制符\above\rightarrowSpace\aboveSpace(a=b)Space在这里插入图片描述
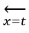
下控制符\below\leftarrowSpace\belowSpace(x=t)Space在这里插入图片描述
上箭头(abcde)\aboveSpace\rightarrowSpace在这里插入图片描述
下箭头(abcde)\belowSpace\rightarrowSpace在这里插入图片描述
等于定义值\defeq在这里插入图片描述
Delta等于\Deltaeq在这里插入图片描述

带框公式、括号、取整符号

功能/名称语法效果
公式外加框\rectSpace(E=mc^2)Space在这里插入图片描述
正体字母“text”,text在这里插入图片描述
上取整\lceilSpacex\rceilSpace在这里插入图片描述
下取整\lfloorSpacex\rfloorSpace在这里插入图片描述
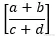
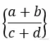
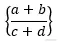
方括号\lbrackSpace(a+b)/(c+d)Space\rbrackSpace``Space在这里插入图片描述
花括号\lbraceSpace(a+b)/(c+d)Space\rbraceSpace``Space在这里插入图片描述
左矢\bra\PsiSpace\right(Shift+``)Space在这里插入图片描述
右矢\left(Shift+)\Psi\ket`SpaceSpace`在这里插入图片描述
左、右控制符\left与\right\left{Space(a+b)/(c+d)Space\right}Space``Space在这里插入图片描述

注:1、左矢、右矢的尖括号也可用\rangle、\langle打出。
2、加入 \left 与 \right控制符后,Word会自动调整左、右括号或竖线的大小,使其与括号内部公式的大小匹配,没有使用这两个控制符的公式中,括号就是原来的大小,不会改变。
3、\left 和 \right 也可用 \open 和 \close 代替。

箭头

语法效果语法效果
\gets在这里插入图片描述\to在这里插入图片描述
\hookleftarrow在这里插入图片描述\hookrightarrow在这里插入图片描述
\leftarrow在这里插入图片描述\rightarrow在这里插入图片描述
\leftrightarrow在这里插入图片描述\Leftrightarrow在这里插入图片描述
\Leftarrow在这里插入图片描述\Rightarrow在这里插入图片描述
\uparrow在这里插入图片描述\downarrow在这里插入图片描述
\Uparrow在这里插入图片描述\Downarrow在这里插入图片描述
\updownarrow在这里插入图片描述\Updownarrow在这里插入图片描述
\leftharpoonup在这里插入图片描述\leftharpoondown在这里插入图片描述
\rightharpoonup在这里插入图片描述\rightharpoondown在这里插入图片描述
\nearrow在这里插入图片描述\nwarrow在这里插入图片描述
\searrow在这里插入图片描述\swarrow在这里插入图片描述

关系运算符

语法效果语法效果语法效果语法效果
!!在这里插入图片描述+-或\pm在这里插入图片描述-+或\mp在这里插入图片描述::在这里插入图片描述
:=在这里插入图片描述<=或\le或\leq在这里插入图片描述>=或\ge或\geq在这里插入图片描述<<或\ll在这里插入图片描述
>>或\gg~=在这里插入图片描述->在这里插入图片描述/>在这里插入图片描述
/<在这里插入图片描述/=或\neq或\ne在这里插入图片描述/\le在这里插入图片描述/\ge在这里插入图片描述
\sim在这里插入图片描述/\sim在这里插入图片描述\exists在这里插入图片描述/\exists在这里插入图片描述
\ni在这里插入图片描述/\ni在这里插入图片描述\simeq在这里插入图片描述/\simeq在这里插入图片描述
\cong/\cong\approx在这里插入图片描述/\approx在这里插入图片描述
\asymp在这里插入图片描述/\asymp在这里插入图片描述\equiv在这里插入图片描述/\equiv在这里插入图片描述
\succeq在这里插入图片描述/\succeq在这里插入图片描述\prec在这里插入图片描述/\prec在这里插入图片描述
\succ在这里插入图片描述/\succ在这里插入图片描述\preceq在这里插入图片描述/\preceq在这里插入图片描述
\subset在这里插入图片描述/\subset在这里插入图片描述\superset在这里插入图片描述/\superset在这里插入图片描述
\subseteq在这里插入图片描述/\subseteq在这里插入图片描述\superseteq在这里插入图片描述/\superseteq在这里插入图片描述
\sqsubseteq在这里插入图片描述/\sqsubseteq在这里插入图片描述\sqsuperseteq在这里插入图片描述/\sqsuperseteq在这里插入图片描述
\cap在这里插入图片描述\cup在这里插入图片描述\uplus在这里插入图片描述\emptyset在这里插入图片描述
\sqcap在这里插入图片描述\sqcup在这里插入图片描述\wedge在这里插入图片描述\vee在这里插入图片描述
\propto在这里插入图片描述\doteq在这里插入图片描述\forall在这里插入图片描述
\because在这里插入图片描述\therefore在这里插入图片描述

字体(花体、黑板粗体等)

Word提供了三种用于数学公式的字体,可以通过语法控制:
1、手写花体
输入方式是\script+字母(大写或小写)。下面是一些例子:

语法效果语法效果
\scriptf在这里插入图片描述\scriptF在这里插入图片描述

小写:
在这里插入图片描述
大写:
在这里插入图片描述
2.德国哥特体
输入方式是\fraktur+字母(大写或小写)。下面是一些例子:

语法效果语法效果
\frakturr在这里插入图片描述\frakturR在这里插入图片描述

小写:
在这里插入图片描述
大写:
在这里插入图片描述
3.双线体(对应LaTex的黑板粗体)
输入方式是\double+字母(大写或小写)。下面是一些例子:

语法效果语法效果
\doubleq在这里插入图片描述\doubleQ在这里插入图片描述

小写:
在这里插入图片描述
大写:
在这里插入图片描述

排版&间距控制

字符间距控制(space)

语法尺寸示例效果
//xxyy在这里插入图片描述
\zwsp0emxx\zwspSpaceyy在这里插入图片描述
\hairsp1/18emxx\hairspSpaceyy在这里插入图片描述
\thinsp3/18emxx\thinspSpaceyy在这里插入图片描述
\medsp4/18emxx\medspSpaceyy在这里插入图片描述
\thicksp5/18emxx\thickspSpaceyy在这里插入图片描述
\vthicksp6/18emxx\vthickspSpaceyy在这里插入图片描述
\ensp9/18emxx\enspSpaceyy在这里插入图片描述
\emsp18/18emxx\emspSpaceyy在这里插入图片描述
\nbspspace widthxx\nbspSpaceyy在这里插入图片描述

添加自定义的公式语法

Word提供了一个可以自己定义公式语法的途径,即“数学符号自动更正”。具体设置方法如下:
第一步:在公式的工具栏中找到下图所示红圈圈出的小箭头并点击,进入“公式选项”对话框。
在这里插入图片描述

第二步:点击下图中的“数学符号自动更正按钮”(已用红圈圈出)
在这里插入图片描述
第三步:如下图所示,在自动更正对话框的“替换”下方的空白处输入语法,输入时会显示是否已有该语法,显然图中没有“\oslash”的语法,那么我们可以根据自己的需要添加进去。
在这里插入图片描述
下图是我输入的一个符号,输入完毕后依次点击“添加”,“确定”即可。
在这里插入图片描述
设置完成后可以尝试一下自己的语法:
在这里插入图片描述
在Word中有很多特殊符号不能直接输入,添加“数学符号自动更正规则”的时候也会遇到这样的情况,解决办法如下:
在这里插入图片描述

关于Word和UnicodeMath那些一言难尽的事

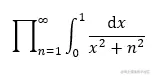
虽然很早就接触到Word,但是以前对Word的公式编辑模块了解的很少,应该说我真正对Word中的公式输入模块有比较深入的了解是在大一开始有了用笔记本记笔记的想法之后。不过我发现Word提供的功能其实不尽如人意,尽管新版的Word自带了墨迹公式功能,很大程度上解决了输入公式的问题,但是这种输入方式很明显是为苏菲平板+触屏笔这种配套设备准备的,不适合在普通电脑大量输入公式的需求;相比之下,在设计界面选择公式模版输入更为实用一些,但是输入一些比较复杂的公式(比如下图这个公式),就需要用鼠标找很久,还要经常移动和点击鼠标,很是不方便。
在这里插入图片描述
同时,因为一些偶然的因素,我了解到了LaTex语法,但是很快发现它在word中并不适用,相关的支持和解决办法也很难找到。不过所幸我顺利地发现Word更早支持的UnicodeMath语法可以直接使用,并且一些语法比LaTex更为简单,所以我开始尝试用这种方法做一些需要记录公式的笔记。但是,很快我又发现,有些公式和符号的语法在Word和offfice官网给出的一些例子中找不到,而在百度上直接搜索也很难找到,虽然找到了樱花赞前辈在博客园上的两篇博客,但是更多的内容还是需要自己在官方的那篇英文文档里探索。于是我便有了写这篇博客的想法,我希望能用这篇博客记录下所有我目前了解到的unicodeMath相关的语法,以便自己在需要的时候查看,也希望这篇文档能帮助到更多使用Word的人。以上便是我写这篇博客的初衷。
随着我使用word的时间增加,我渐渐发现,尽管word功能强大,当文档里有大量的公式、图片或者一些比较复杂的排版时,word会频繁出现卡顿现象,不利于文章的修改和保存。另外,word默认的公式字体,有的并不如LaTex灵活,也不好看,加上其他的一些原因,让我决定放弃word,开始入坑LaTex,所以这篇博客实际上也是对我之前花在Word上的所有时间和精力的一个总结,希望它能帮助到一些后来者吧。

参考资料

[1]: Unicode Nearly Plain-Text Encoding of Mathematics Version 3.
[2]:LaTex各种命令汇总.
[3]:UnicodeMath编码教程.
[4]:Unicode 13.0 Character Code Charts.
(PS:以上前三条链接分别是UnicodeMath官方文档,以及我在写这篇文章时参考过的两位前辈的文章,格式上我参考了写LaTex命令的前辈,内容方面前期参考了博客园翻译UnicodeMath文档的那位前辈,在此贴出以表敬意。因为文章的后期创作主要以查看UnicodeMath的官方文档为主,同时为了补足一些Word中不具备的功能和符号开始了解Unicdoe编码,所以列出了第四个引文链接供大家参考)