m基于遗传优化算法的公式参数拟合matlab仿真

121 阅读5分钟

1.算法描述

遗传算法的原理

 

       遗传算法GA把问题的解表示成“染色体”,在算法中也即是以二进制编码的串。并且,在执行遗传算法之前,给出一群“染色体”,也即是假设解。然后,把这些假设解置于问题的“环境”中,并按适者生存的原则,从中选择出较适应环境的“染色体”进行复制,再通过交叉,变异过程产生更适应环境的新一代“染色体”群。这样,一代一代地进化,最后就会收敛到最适应环境的一个“染色体”上,它就是问题的最优解。

 

       其主要步骤如下:

 

1.初始化

 

       选择一个群体,即选择一个串或个体的集合bi,i=1,2,...n。这个初始的群体也就是问题假设解的集合。一般取n=30-160。

 

       通常以随机方法产生串或个体的集合bi,i=1,2,...n。问题的最优解将通过这些初始假设解进化而求出。

 

2.选择

 

      根据适者生存原则选择下一代的个体。在选择时,以适应度为选择原则。适应度准则体现了适者生存,不适应者淘汰的自然法则。

 

给出目标函数f,则f(bi)称为个体bi的适应度。以

 

为选中bi为下一代个体的次数。

 

显然.从式(3—86)可知:

 

(1)适应度较高的个体,繁殖下一代的数目较多。

 

(2)适应度较小的个体,繁殖下一代的数目较少;甚至被淘汰。

 

这样,就产生了对环境适应能力较强的后代。对于问题求解角度来讲,就是选择出和最优解较接近的中间解。

 

3.交叉

 

       对于选中用于繁殖下一代的个体,随机地选择两个个体的相同位置,按交叉概率P。在选中的位置实行交换。这个过程反映了随机信息交换;目的在于产生新的基因组合,也即产生新的个体。交叉时,可实行单点交叉或多点交叉。

 

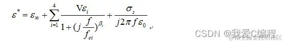
拟合公式:

1.png

 该公式经过化简实部、虚部分离得:

2.png  

公式化简

3.png

4.png  

令:

  5.png

所以:

6.png

需要拟合的参数有:

7.png

定义GA优化目标函数如下所示:

8.png

2.仿真效果预览

matlab2022a仿真结果如下:

9.png

10.png

11.png

12.png

13.png

14.png

3.MATLAB核心程序 `%根据遗传算法进行参数的拟合

MAXGEN = 2000;

NIND   = 400;

Chrom  = crtbp(NIND,14*10);

%14个变量的区间

Areas  = [0   ,0   ,0   ,0   ,0   ,0    ,0   ,0   ,0   ,0    ,0   ,0   ,0   ,0;

          10  ,1   ,100 ,500 ,100 ,5e8  ,1   ,1   ,1   ,1    ,2e11,2e8 ,1e4 ,1e2];

 

FieldD = [rep([10],[1,14]);Areas;rep([0;0;0;0],[1,14])];

 

epls_inf_NIND    = zeros(NIND,1);

deltas_NIND      = zeros(NIND,1);

delta_epls1_NIND = zeros(NIND,1);

delta_epls2_NIND = zeros(NIND,1);

delta_epls3_NIND = zeros(NIND,1);

delta_epls4_NIND = zeros(NIND,1);

beta1_NIND       = zeros(NIND,1);

beta2_NIND       = zeros(NIND,1);

beta3_NIND       = zeros(NIND,1);

beta4_NIND       = zeros(NIND,1);

fc1_NIND         = zeros(NIND,1);

fc2_NIND         = zeros(NIND,1);

fc3_NIND         = zeros(NIND,1);

fc4_NIND         = zeros(NIND,1);

 

epls_inf         = zeros(MAXGEN,1);

deltas           = zeros(MAXGEN,1);

delta_epls1      = zeros(MAXGEN,1);

delta_epls2      = zeros(MAXGEN,1);

delta_epls3      = zeros(MAXGEN,1);

delta_epls4      = zeros(MAXGEN,1);

beta1            = zeros(MAXGEN,1);

beta2            = zeros(MAXGEN,1);

beta3            = zeros(MAXGEN,1);

beta4            = zeros(MAXGEN,1);

fc1              = zeros(MAXGEN,1);

fc2              = zeros(MAXGEN,1);

fc3              = zeros(MAXGEN,1);

fc4              = zeros(MAXGEN,1);

Error            = zeros(MAXGEN,1);

 

gen              = 0;

 

 

 

for a=1:1:NIND

    epls_inf_NIND(a)    = epls_inf_0;      

    deltas_NIND(a)      = deltas_0;

    delta_epls1_NIND(a) = delta_epls1_0;

    delta_epls2_NIND(a) = delta_epls2_0;

    delta_epls3_NIND(a) = delta_epls3_0;      

    delta_epls4_NIND(a) = delta_epls4_0;

    beta1_NIND(a)       = beta1_0;

    beta2_NIND(a)       = beta2_0;          

    beta3_NIND(a)       = beta3_0;

    beta4_NIND(a)       = beta4_0;

    fc1_NIND(a)         = fc1_0;      

    fc2_NIND(a)         = fc2_0;

    fc3_NIND(a)         = fc3_0;

    fc4_NIND(a)         = fc4_0;    

    %计算对应的目标值

    [epls_1,epls_2] = func_obj(f,...

                               epls_inf_NIND(a),...

                               deltas_NIND(a),...

                               delta_epls1_NIND(a),delta_epls2_NIND(a),delta_epls3_NIND(a),delta_epls4_NIND(a),...

                               beta1_NIND(a),beta2_NIND(a),beta3_NIND(a),beta4_NIND(a),...

                               fc1_NIND(a),fc2_NIND(a),fc3_NIND(a),fc4_NIND(a));

    for m = 1:length(f)

        tmps1(m) = ((e1(m)-epls_1(m))^2)/(e1(m)^2);               

        tmps2(m) = ((e2(m)-epls_2(m))^2)/(e2(m)^2);    

    end

    E = sum(tmps1)+sum(tmps2);

    J(a,1)  = E;

end

 

Objv  = (J+eps);

gen   = 0;

 

while gen < MAXGEN;   

      gen

      FitnV=ranking(Objv);    

      Selch=select('sus',Chrom,FitnV);    

      Selch=recombin('xovsp', Selch,0.9);   

      Selch=mut( Selch,0.01);   

      phen1=bs2rv(Selch,FieldD);   

      for a=1:1:NIND  

          if  gen == 1

              epls_inf_NIND(a)    = epls_inf_0;      

              deltas_NIND(a)      = deltas_0;

              delta_epls1_NIND(a) = delta_epls1_0;

              delta_epls2_NIND(a) = delta_epls2_0;

              delta_epls3_NIND(a) = delta_epls3_0;      

              delta_epls4_NIND(a) = delta_epls4_0;

              beta1_NIND(a)       = beta1_0;

              beta2_NIND(a)       = beta2_0;          

              beta3_NIND(a)       = beta3_0;

              beta4_NIND(a)       = beta4_0;

              fc1_NIND(a)         = fc1_0;      

              fc2_NIND(a)         = fc2_0;

              fc3_NIND(a)         = fc3_0;

              fc4_NIND(a)         = fc4_0;           

          else

              epls_inf_NIND(a)    = phen1(a,1);      

              deltas_NIND(a)      = phen1(a,2);

              delta_epls1_NIND(a) = phen1(a,3);

              delta_epls2_NIND(a) = phen1(a,4);

              delta_epls3_NIND(a) = phen1(a,5);      

              delta_epls4_NIND(a) = phen1(a,6);

              beta1_NIND(a)       = phen1(a,7);

              beta2_NIND(a)       = phen1(a,8);          

              beta3_NIND(a)       = phen1(a,9);

              beta4_NIND(a)       = phen1(a,10);

              fc1_NIND(a)         = phen1(a,11);      

              fc2_NIND(a)         = phen1(a,12);

              fc3_NIND(a)         = phen1(a,13);

              fc4_NIND(a)         = phen1(a,14);  

          end

          

          %计算对应的目标值

          [epls_1,epls_2] = func_obj(f,...

                                     epls_inf_NIND(a),...

                                     deltas_NIND(a),...

                                     delta_epls1_NIND(a),delta_epls2_NIND(a),delta_epls3_NIND(a),delta_epls4_NIND(a),...

                                     beta1_NIND(a),beta2_NIND(a),beta3_NIND(a),beta4_NIND(a),...

                                     fc1_NIND(a),fc2_NIND(a),fc3_NIND(a),fc4_NIND(a));

          for m = 1:length(f)

              tmps1(m) = ((e1(m)-epls_1(m))^2)/(e1(m)^2);               

              tmps2(m) = ((e2(m)-epls_2(m))^2)/(e2(m)^2);    

          end

          E = sum(tmps1)+sum(tmps2);

          JJ(a,1)  = E;

      end

      Objvsel=(JJ+eps);    

      [Chrom,Objv]=reins(Chrom,Selch,1,1,Objv,Objvsel);   

      gen=gen+1;

 

      %保存参数收敛过程和误差收敛过程以及函数值拟合结论

      epls_inf(gen)         = mean(epls_inf_NIND);

      deltas(gen)           = mean(deltas_NIND);

      delta_epls1(gen)      = mean(delta_epls1_NIND);

      delta_epls2(gen)      = mean(delta_epls2_NIND);

      delta_epls3(gen)      = mean(delta_epls3_NIND);

      delta_epls4(gen)      = mean(delta_epls4_NIND);

      beta1(gen)            = mean(beta1_NIND);

      beta2(gen)            = mean(beta2_NIND);

      beta3(gen)            = mean(beta3_NIND);

      beta4(gen)            = mean(beta4_NIND);

      fc1(gen)              = mean(fc1_NIND);

      fc2(gen)              = mean(fc2_NIND);

      fc3(gen)              = mean(fc3_NIND);

      fc4(gen)              = mean(fc4_NIND);

      Error(gen)            = mean(JJ);

end

 

 

MIN=min(Objv);

for ttt=1:1:size(Objv)     

    if Objv(ttt)<=MIN         

       tt=ttt;         

       break;     

    end

end

 

 

epls_inf_best    = epls_inf_NIND(tt);      

deltas_best      = deltas_NIND(tt);

delta_epls1_best = delta_epls1_NIND(tt);

delta_epls2_best = delta_epls2_NIND(tt);

delta_epls3_best = delta_epls3_NIND(tt);      

delta_epls4_best = delta_epls4_NIND(tt);

beta1_best       = beta1_NIND(tt);

beta2_best       = beta2_NIND(tt);          

beta3_best       = beta3_NIND(tt);

beta4_best       = beta4_NIND(tt);

fc1_best         = fc1_NIND(tt);      

fc2_best         = fc2_NIND(tt);

fc3_best         = fc3_NIND(tt);

fc4_best         = fc4_NIND(tt);  

 

%计算对应的目标值

[epls_best1,epls_best2] = func_obj(f,...

                                 epls_inf_best,...

                                 deltas_best,...

                                 delta_epls1_best,delta_epls2_best,delta_epls3_best,delta_epls4_best,...

                                 beta1_best,beta2_best,beta3_best,beta4_best,...

                                 fc1_best,fc2_best,fc3_best,fc4_best);

%画图

 

 

figure;

subplot(211);

loglog(e1,'b','linewidth',2);

hold on

loglog(epls_best1,'r','linewidth',2);

legend('原始数据','拟合数据');

subplot(212);

loglog(e2,'b','linewidth',2);

hold on

loglog(epls_best2,'r','linewidth',2);

legend('原始数据','拟合数据');

02_016m`