m基于效用函数的联合资源分配matlab仿真,对比PF,CUBP以及DUBP三种方法

142 阅读1分钟

1.算法描述

1.png

2.png

表示基站n到用户m是否连接。

 

1.1 C-CUBP

3.png

 

主要涉及到的公式有:

4.png

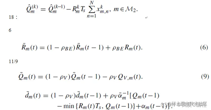
1.2 C-DUBP

5.png

主要涉及到的公式有:

6.png

2.仿真效果预览

matlab2022a仿真结果如下:

7.png

8.png

9.png

10.png

3.MATLAB核心程序

`Max_people      = 15;

Step_people     = 3;

Min_people      = 3;

 

Drop_ratio      = 0;

Outage_ratio    = 0;

p               = 0;

 

for i = Min_people:Step_people:Max_people

    p = p + 1;

    ALL_throughput  = 0;

    ALL_Power_comp  = 0;

    %利用蒙特卡罗的思想,对一个情况进行多次计算,结果用平均值表示

    for k = 1:Simulation_time

        k

        [T_user,SNIR]                 = func_COMP_VIOP_traffic2(i);

        %进行调度

        [SU,T_C_CUBP_Scheduler,dr,or] = func_C_CUBP_Scheduler(T_user,SNIR,i);  

        %VoIP packet drop ratio

        Drop_ratio                 = dr;

        %VoIP call outage ratio

        Outage_ratio               = or;

    end

    Drop_ratio2(p)      = Drop_ratio/Simulation_time;

    Outage_ratio2(p)    = Outage_ratio/Simulation_time;

end

figure;

MM = Min_people:Step_people:Max_people;

plot(MM,Drop_ratio2,'m--^','LineWidth',2);title('VoIP packet drop ratio');grid on;

xlabel('用户数量');

ylabel('drop ratio');

axis([2,16,0,0.16]);

02_018m`