基于matlab的CBOC信号调制解调仿真,输出其相关性,功率谱以及频偏跟踪

177 阅读4分钟

1.算法描述

      BOC-Binary Offset Carrier,也叫二进制偏置载波调制,是在Galileo系统设计过程中提出的一种新的载波调制方式。它的基本原理是在原有的BPSK调制基础上,再增加一个二进制副载波(目前主要是由正弦或余弦型符号函数构成的副载波,即形似sgn(sin(t))或sgn(cos(t)),以正弦或余弦信号为参数的符号函数)。这种调制方式的最大特点是,其功率谱的主瓣分裂成对称的两部分,而且根据选择的参数不同,两个分裂主瓣的距离也可以变化。一般常用的表示方式为BOC(m,n)的形式,其中m表示的是副载波频率,n表示的是扩频码速率,具体数值分别是1.023MHz的m倍和n倍。

 

        BOC 调制就是在原有 BPSK 调制的基础上,再加上一个二进制副载波对 BPSK 信号进行二次扩频。由于方波易于生产,因此采用方波来替代正弦波,这样可以节约硬件资源。一般用 BOC(sf ,cf)来表示sf 代表副载波频率,cf 代表伪码速率。因为sf 和cf都是 1.023MHz 的整数倍,所以文献中用 BOC(m,n)的表示形式,其中 m 表示的是副载波频率,n 表示的是扩频码速率,它们分别表示 1.023MHz 的 m 倍和 n 倍。

 

       BOC 调制的频谱可以分为两个对称独立的边带,它的自相关函数是一种多峰结构,其中主峰较窄,所以有可能对接收机处理方式做一些改变,以便在实现时获得性能的改善。另外一种可行的方法是使鉴相器工作在一个带宽信号的相对函数上,进而保持对主峰的粗跟踪,之后再转入用双边带信号工作的鉴相器,来作精跟踪。由此可见,BOC 调制信号的频谱中上边带和下边带的冗余,自相关函数中的多峰,如果加以开发利用有可能在接收机的信号截获、码跟踪以及数据解调等处理中带来利益。

      BOC 调制信号是在载波调制前对扩频信号用副载波进行二次扩频。其流程如下图所示:

1.png

正、余弦BOC调制信号的码片波形可以分别表示为

2.png

3.png

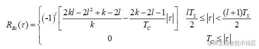
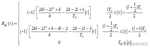
正弦BOC调制信号BOCs(m,n)和余弦BOC调制信号BOCc(m,n)的自相关函数分别为

4.png

5.png

       MBOC-Multiplexed Binary Offset Carrier,从英文名可以看出这就是BOC副载波调制信号的一种复用方式。这是由Guenter W.Hein领导的GPS信号设计团队和Jhon W.Betz领导的Galileo信号设计团队共同提出的一种调制方式。目前经过优选,主要讨论和设计应用的是BOC(1,1)和BOC(6,1)的组合。具体根据数据通道和导频通道的功率分配要求,以及采取具体的调制方式不同,可以有多种组合,具体可参考相关文献。目前基本都是从BOC(1,1)和BOC(6,1)的功率分配角度来讨论的。

 

        MBOC只是一种信号复用的统称,其具体实现目前主要有两种,即CBOC(Composite BOC)和TMBOC(time-multiplexed BOC)。CBOC简单的说,是根据BOC(1,1)和BOC(6,1)不同的功率(幅值)权重构成的4电平符号来实现的调制,是幅值的复合式实现。而TMBOC则是一种类似时分复用的方式,即规定一组码片的长度,在这组码片里固定的几个位置里是BOC(6,1),其他位置都是BOC(1,1)。两种方式都能满足功率谱分配的要求,但在功率谱谱形上还是有所不同的。

 

2.仿真效果预览

matlab2022a仿真结果如下:

6.png

7.png

8.png

9.png

3.MATLAB部分代码预览

`f0            = 1.023e6;%基准频率

BOCm          = 10;

BOCn          = 2;

%副载波频率

fs            = BOCm*f0;

%码速率

fc            = BOCn*f0;

fIF           = 2*fs;

fsamp         = 24*f0;%采样频率

%一个周期的采样点

n             = fsamp/1000;

KK            = 1000;

%多普勒频率

fd            = 0;

Nn            = n;

nn            = [0:Nn-1];

CAIndex       = floor(fsamp/fc);

%数据通道的卫星号

Ndata         = 1;

%导频通道的卫星号

Npilot        = 2;

%BOC

[BOC_data,BOC_pilot] = func_BOC_Signal(Ndata,Npilot,Nn,CAIndex);

%移动码片

BOC_data_code        = [BOC_data(n-KK:n),BOC_data(1:n-KK-1)];

BOC_pilot_code       = [BOC_pilot(n-KK:n),BOC_pilot(1:n-KK-1)];

t                    = [1:Nn]/fsamp;

%输入信号

cosCarr              = cos(2pi(fIF + fd)*t);

sinCarr              = sin(2pi(fIF + fd)*t);

Signal_Boc           = 2BOC_data_code . cosCarr + 2BOC_pilot_code . sinCarr;

 

%仿真数据长度

in_signal            = Signal_Boc;

 

figure,

plot(in_signal);

acf_cboc = xcorr(in_signal,in_signal);

 

figure,

plot(acf_cboc);

title('CBOC ACF');

 

psd_cboc = fftshift(fft(acf_cboc));

figure,

plot(abs(psd_cboc));

title('CBOC PSD');

 

%加高斯白噪声

in_signal = awgn(in_signal,SNR,'measured');

 

%对比算法BPSK like

[Y,Yi]    = BPSK_like(in_signal,n,Nn,fsamp,f0,fIF);

A_049`