【算法题解】判断链表是否有环,并返回入环节点

387 阅读2分钟

这是一道 中等难度 的题,是基于 【算法题解】判断链表是否有环 的扩展。

题目来自:leetcode.cn/problems/li…

题目

给定一个链表的头节点 head ,返回链表开始入环的第一个节点。 如果链表无环,则返回 null

如果链表中有某个节点,可以通过连续跟踪 next 指针再次到达,则链表中存在环。 

不允许修改 链表。

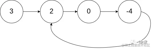
示例1:

图片

输入:head = [3,2,0,-4], pos = 1
输出:返回索引为 1 的链表节点
解释:链表中有一个环,其尾部连接到第二个节点。

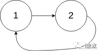
示例2:

图片

输入:head = [1,2], pos = 0
输出:返回索引为 0 的链表节点
解释:链表中有一个环,其尾部连接到第一个节点。

示例3:

图片

输入:head = [1], pos = -1
输出:返回 null
解释:链表中没有环。

提示:

  • 链表中节点的数目范围在范围 [0,104][0, 10^4] 内
  • 105 <=Node.val<=105-10^5 <= Node.val <= 10^5
  • pos 的值为 -1 或者链表中的一个有效索引

进阶: 你是否可以使用 O(1) 空间解决此题?

解法一:循环标记

循环遍历每一个节点并标记为已访问,返回第一次遍历到的已访问节点。如果循环到链表末尾还没有遇到已访问节点,即没有环,返回 null 。

Java 代码实现

/**
 * Definition for singly-linked list.
 * class ListNode {
 * int val;
 * ListNode next;
 * ListNode(int x) {
 * val = x;
 * next = null;
 * }
 * }
 */
public class Solution {
    public ListNode detectCycle(ListNode head) {
 
        Set<ListNode> visited = new HashSet<>();
        while(head != null){
            if(visited.contains(head)){
                return head;
            }
            visited.add(head);
            head = head.next;
        }
        return null;

    }
}

Go 代码实现

/**
 * Definition for singly-linked list.
 * type ListNode struct {
 * Val int
 * Next *ListNode
 * }
 */
func detectCycle(head *ListNode) *ListNode {

    visited := make(map[*ListNode]bool)
    for head != nil {
        if visited[head]{
            return head;
        }
        visited[head] = true
        head = head.Next
    }
    return nil

}

复杂度分析

时间复杂度 O(N)O(N):需要访问链表中的每一个节点,时间复杂度为链表长度 n

空间复杂度 O(N)O(N):需要记录每个访问过的节点,空间复杂度为链表的长度 n

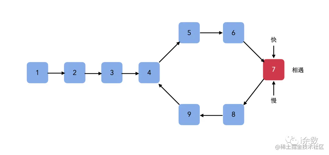
解法二:快慢指针

快指针每次走 2 步, 慢指针每次走 1 步,若 快慢指针 能够相遇说明链表有环,但是第一次相遇的点并不一定是入环点,如下所示:

图片

相遇点 7 并不是入口点 4 。

图片

那么怎么找到入环点呢 假如入环点前有 a 个节点,环上有 b 个节点,第一次相遇时 快指针 走了 f 步,慢指针 走了 s 步。
图片

由以上假设可以得知:

  1. f = 2s;(快指针走的步数是慢指针的 2 倍)
  2. f - s = nb;(快指针比慢指针多走了 n 个环的步数,然后相遇) 即 2s - s = nb -> s = nb。第一次相遇时,慢指针走了 nb 步,快指针走了 2nb 步。

从第一次相遇的点还需要走多少步到达入环点?

图片

因为到达入环点的步数为:a + nb, 其中 n >= 0。现在 慢指针 已经走了 nb 步,那么再走 a 步必定可以到达入环点,但是我们并不知道 a 是多少。

图片

我们可以换个思路,此时可以把 快指针 重新指到起始点 head,即 快慢指针 到达入环点为步数都是 a , 那么当 快慢指针 都每次走一步,且再次相遇的地方就是入环点了。

完整流程如下:
图片

Java 代码实现

/**
 * Definition for singly-linked list.
 * class ListNode {
 * int val;
 * ListNode next;
 * ListNode(int x) {
 * val = x;
 * next = null;
 * }
 * }
 */
public class Solution {
    public ListNode detectCycle(ListNode head) {

        ListNode fast = head, slow = head;
        while(fast != null && fast.next != null){
            fast = fast.next.next;
            slow = slow.next;
            // 第一次相遇
            if(slow == fast){
                fast = head;
                while(fast != slow){
                    fast = fast.next;
                    slow = slow.next;
                }
                // 第二次相遇
                return fast;
            }
            
        }
        return null;
        
    }
}

Go 代码实现

/**
 * Definition for singly-linked list.
* type ListNode struct {
 * Val int
 * Next *ListNode
 * }
 */
func detectCycle(head *ListNode) *ListNode {

    fast, slow := head, head
    for fast != nil && fast.Next != nil {
        fast, slow = fast.Next.Next, slow.Next
        if(slow == fast){
            fast = head
            for fast != slow {
                fast, slow = fast.Next, slow.Next
            }
            return fast
        }
    }
    return nil

}

复杂度分析

时间复杂度 O(N)O(N) :时间复杂度为 慢指针 所走的步数:nb + a -> (n - 1)b + (a + b)  -> (n - 1)b + 链表的总节点数 ,因为 n 和 b 都是是常数,所以复杂度近似为 O(N)O(N)

空间复杂度 O(1)O(1):只需要记录 快慢指针 的位置,为常数空间复杂度。