基于matlab的BOC调制信号捕获仿真

342 阅读4分钟

1.算法描述

       随着全球导航卫星系统的高速发展,导航系统的数量也越来越多,比如使用最广泛的GPS导航系统,以及越来越备受关注的中国北斗导航系统等.因此导航频段变得越来越拥挤,且各个频段内的信号相互干扰,在如此情况下,一种二进制偏移载波(Binary Offset Carrier,BOC)调制信号被成功提出,用来解决该问题.而伴随着对BOC信号的深入研究,一系列BOC衍生信号也被提出来应用于各个导航系统中.此外,实际环境中存在着许多干扰因素,给BOC及其衍生信号的捕获带来了困难,因此也成为了国内外学者研究的热点与难点.

 

       BOC 调制就是在原有 BPSK 调制的基础上,再加上一个二进制副载波对 BPSK 信号进行二次扩频。由于方波易于生产,因此采用方波来替代正弦波,这样可以节约硬件资源。一般用 BOC(sf ,cf)来表示sf 代表副载波频率,cf 代表伪码速率。因为sf 和cf都是 1.023MHz 的整数倍,所以文献中用 BOC(m,n)的表示形式,其中 m 表示的是副载波频率,n 表示的是扩频码速率,它们分别表示 1.023MHz 的 m 倍和 n 倍。

 

       BOC 调制的频谱可以分为两个对称独立的边带,它的自相关函数是一种多峰结构,其中主峰较窄,所以有可能对接收机处理方式做一些改变,以便在实现时获得性能的改善。另外一种可行的方法是使鉴相器工作在一个带宽信号的相对函数上,进而保持对主峰的粗跟踪,之后再转入用双边带信号工作的鉴相器,来作精跟踪。由此可见,BOC 调制信号的频谱中上边带和下边带的冗余,自相关函数中的多峰,如果加以开发利用有可能在接收机的信号截获、码跟踪以及数据解调等处理中带来利益。

 

      BOC 调制信号是在载波调制前对扩频信号用副载波进行二次扩频。其流程如下图所示:

1.png

正、余弦BOC调制信号的码片波形可以分别表示为

  2.png

3.png

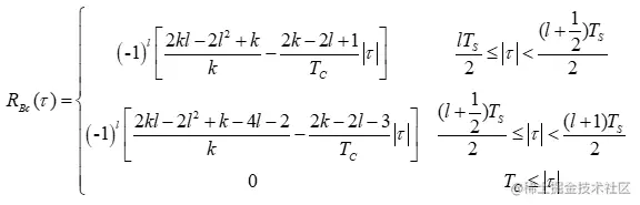
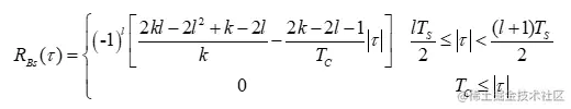
正弦BOC调制信号BOCs(m,n)和余弦BOC调制信号BOCc(m,n)的自相关函数分别为

4.png

5.png  

boc和bpsk区别很多:

 

1 功率谱不同,boc将基带信号能量搬移到±fs处,bpsk基带信号能量集中在0频。boc的这种特性使得一个频点可以发射多个信号分量。

 

2 相关函数不同,boc有多个峰,会使得接收机产生误锁,而bpsk不会。

 

总结,boc是的导航信号调制方式设计更具灵活性,但接收处理更有挑战。bpsk接收处理简单。

 

2.仿真效果预览

matlab2022a仿真结果如下:

6.png

7.png

8.png

9.png

10.png

11.png

3.MATLAB部分代码预览 `for ii = 1:length(Visible_sv)

    %输出即将赋值的可见星号码

    PRN = Visible_sv(ii);

    fprintf('%02d ', PRN);  

    %产生随机的多普勒偏移频率

    frqshift(ii) = settings.acqSearchBand * 1e3 * rand(1,1) - ...

        (settings.acqSearchBand/2) * 1e3;       

    %此时载波频率

    frqBins(ii) = settings.IF  + frqshift(ii);  

    %产生随机导航数据为1或-1

    NavData = randi([0,1],1,ceil(navdatLength+1))*2 - 1;

    %每个采样点所对应的导航数据号

    dataValueIndex = floor((ts * (1:settings.msToProcess1e-3settings.samplingFreq)) / ...

                               (1/50));          

    %每个采样点所对应的导航数据

    NavDataS = NavData(dataValueIndex + 1);      

    clear dataValueIndex

    %利用generateCAcode函数产生每个可见星对应的C/A码

    caCode1023 = generateCAcode(PRN);           

    %每个采样点所对应的C/A码片序号

    codeValueIndex = floor((ts * (1:settings.msToProcess1e-3settings.samplingFreq)) / ...

                               (1/settings.codeFreq));

    %产生每个采样点所对应的随机相位

    codePhase(ii) = floor(1023*rand(1,1));            

    %每个随机相位下采样点对应的C/A码片数据

    codePhase_o=codePhase(ii);

    longCaCode = caCode1023((rem(codeValueIndex + ...

        settings.CAcodeLength - codePhase(ii), settings.CAcodeLength) + 1));

    clear caCode1023                                 

    

    %产生副载波并与伪码相乘得到BOC信号码片数据

    subCarr = square(settings.subcarrFreq * phasePoints); %sign(sin(settings.subcarrFreq * phasePoints));

    longBocCode = longCaCode.*subCarr;               

    clear longCaCode subCarr

    %产生正弦余弦载波信号

    sinCarr = sin(frqBins(ii) * phasePoints);         

    cosCarr = cos(frqBins(ii) * phasePoints);         

    

    %产生正交以及同向的BOC调制信号

    I1      = cosCarr .* longBocCode .* NavDataS;

    Q1      = sinCarr .* longBocCode .* NavDataS;

    clear NavDataS longBocCode sinCarr cosCarr      

    

    %多个可见星正交以及同向的BOC调制信号叠加,即模拟实际情况

    signalI = signalI + I1;

    signalQ = signalQ + Q1;                          

    clear I1 Q1

end

A48`