Transformer的基本原理

1,970 阅读17分钟

1. Seq2Seq框架

1.1. Seq2Seq框架概述

Seq2Seq[1]框架最初是在神经机器翻译(Neural Machine Translation,NMT)领域中提出,用于将一种语言(sequence)翻译成另一种语言(sequence)。其结构如下图所示:

在这里插入图片描述

在Seq2Seq框架中包含了Encoder和Decoder两个部分。在Encoder阶段,通过神经网络将原始的输入{x1,x2,,xTx}\left \{ x_1,x_2,\cdots,x_{T_x}\right \}转换成固定长度的中间向量{c1,c2,,cl}\left \{ c_1,c_2,\cdots,c_l \right \},在Decoder阶段,将此中间向量作为输入,得到最终的输出{y1,y2,,yTy}\left \{ y_1,y_2,\cdots,y_{T_y} \right \}

1.2. 建模方法

在Encoder和Decoder部分,需要模型能够对时序数据建模,在NLP中,通常使用两种方式对时序数据建模,一种是以RNN[2],LSTM[3]为主的建模方法;另一种是以CNN[4],[5]为主的建模方法。

以RNN为例,其基本机构如下图所示:

在这里插入图片描述

在基于RNN的建模方法中,tt时刻的状态更新依赖于t1t-1时刻的输出,即tt时刻的状态更新公式为:

ht=f(Uht1+Wxt+b)h_t=f\left ( Uh_{t-1}+Wx_t+b \right )

在RNN的基础上衍生出很多优化的方案,如对于长距离依赖问题的优化,提出了LSTM以及GRU等模型;对于单向建模能力的问题,提出了双向的RNN模型,提升了对时序数据的建模能力。以简单的RNN为例,从上可以看出,RNN最大的问题是不容易并行化。因为tt时刻的状态更新依赖于t1t-1时刻的输出,所以必须先计算出t1t-1时刻的输出。

第二种是CNN的建模方法,以TextCNN[4],[5]模型为例:

在这里插入图片描述

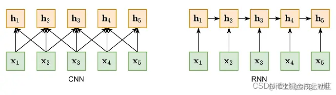
以最外层的红色为例,设置不同的filter的大小NN,如上图中filter的大小为2,通过filter的移动,可以计算filter内NN个词之间的相互依赖关系。与RNN相比,基于CNN的建模方法中,filter的计算是完全可以并行计算,是对RNN计算效率的极大提高。CNN与RNN对词的建模可以通过下图[6]进一步说明。

在这里插入图片描述

从图中可以看出,CNN和RNN都是对变长序列的一种“局部编码”:卷积神经网络是基于N-gram的局部编码;而对于循环神经网络,由于梯度消失等问题也只能建立短距离依赖。要解决这种短距离依赖的“局部编码”问题,建立输入序列之间的长距离依赖关系,可以使用以下两种方法:一种方法是增加网络的层数,通过一个深层网络来获取远距离的信息交互,另一种方法是使用全连接网络[6]。全连接网络如下图所示:

在这里插入图片描述

然而,全连接网络虽然可以对远距离依赖建模,但是无法处理变长的输入序列,同时,在全连接网络中,缺失了词之间的顺序信息。不同的输入长度,其连接权重的大小也是不同的。

综上,基于RNN,CNN以及全连接网络建模方法存在着以下的问题:

  • 长距离依赖问题(RNN,CNN)
  • 并行问题(RNN)
  • 变长输入问题,词序信息问题(全连接网络)

1.3. Self-Attention

为了能提升Seq2Seq框架的性能,在Seq2Seq框架中引入了Attention机制[7],Attention机制通过对训练数据的学习,对其输入x\mathbf{x}的每一个特征赋予不同的权重,从而学习到对于目标更重要的信息,让模型具有更高的准确率。在Seq2Seq中引入Attention机制如下图所示:

在这里插入图片描述

其中,Attention的计算体现在针对不同的Decoder输出yty_t,都有一个对应的上下文向量ctc_tyty_t的计算公式为:

yt=f(yt1,st1,ct)y_t=f\left ( y_{t-1},s_{t-1},c_t \right )

其中,ctc_t为:

ci=j=1Txαijhjc_i=\sum_{j=1}^{T_x}\alpha _{ij}h_j

其中,αij\alpha _{ij}为归一化权重,其具体为:

αij=exp(eij)k=1Txexp(eik)\alpha _{ij}=\frac{exp\left ( e_{ij} \right )}{\sum_{k=1}^{T_x}exp\left ( e_{ik} \right )}

其中,eije_{ij}表示的是第ii个输出前一个隐藏层状态si1s_{i-1}与第jj个输入隐层向量hjh_j之间的相关性,可以通过一个MLP神经网络进行计算,即:

eij=a(si1,hj)=vaTtanh(Wasi1+Uahj)e_{ij}=a\left ( s_{i-1},h_j \right )=v_a^Ttanh\left ( W_as_{i-1}+U_ah_j \right )

上述的公式也表示了一般性的Attention的计算过程,即:

  • 计算Attention得分:ei=a(u,vi)e_i=a\left ( \mathbf{u} ,\mathbf{v} _i \right )
  • 归一化:αi=eiiei\alpha _i=\frac{e_i}{\sum_{i}e_i }
  • 输出:c=iαivic=\sum_{i} \alpha _i\mathbf{v} _i

通常,一个Attention函数可以被描述成一个映射,其中该映射的输入是一个query和一组key-value对,其具体过程可以通过如下的图表示[8]:

在这里插入图片描述

与上式对应,Query为上式中的u\mathbf{u},Key=Value为上式中的vi\mathbf{v} _i。Self-Attention是一种特殊的Attention机制,即对于Query,为每一个vi\mathbf{v} _i,即Query=Key=Value。以句子“The animal didn't cross the street because it was too tired”[9]为例,计算Self-Attention的过程如下图所示:

在这里插入图片描述

以右侧的词为Query,Query与左侧的每一个Key计算Attention得分,从上图可以看出,Query(it_)与Key(animal_)的Attention得分比较大。Self-Attention的一般形式为:softmax(XXT)Xsoftmax\left ( XX^T \right ) X,Self-Attention的整个过程可由下图表示:

在这里插入图片描述

与上述全连接不同的是,Self-Attention不再受变长输入的影响。

1.3. Transformer概述

Self-Attention的提出解决了传统RNN模型的长距离依赖,不易并行的问题。虽然Self-Attention有这些优点,但是基本的Self-Attention本身并不能捕获词序信息,Google于2017年提出了解决Seq2Seq问题的Transformer模型[10],用Self-Attention的结构完全代替了传统的基于RNN的建模方法,同时在Transformer的模块中加入了词序的信息,最终在翻译任务上取得了比RNN更好的成绩。

在Transformer中依旧保留了Seq2Seq的Encoder+Decoder框架,在Encoder阶段对源文本编码,生成Embedding,记为cc,在Decoder阶段,综合已生成的文本与Encoder阶段的Embedding,已生成的文本记为y1,y2,,yt1y_1,y_2,\cdots ,y_{t-1},生成当前的词yty_t,即:

yt=f(yty1,y2,,yt1,c)y_t=f\left ( y_t\mid y_1,y_2,\cdots ,y_{t-1},c \right )

对于传统不带Attention的Seq2Seq框架中,Encoder阶段生成Embedding是固定不变的,如下图所示:

在这里插入图片描述

对于带有Attention的Seq2Seq框架中,Encoder阶段生成Embedding会根据当前需要预测的值计算一个动态的Embedding,具体如下图所示:

在这里插入图片描述

对于Transformer框架中的Encoder,会采用第二种方案。

2. 算法原理

Transformer的网络结构如下图所示:

在这里插入图片描述

和大多数的Seq2Seq模型一样,在Transformer的结构中,同样是由Encoder(上图中的左侧部分)和Decoder(上图中的右侧部分)两个部分组成。以TensorFlow Core[11]的代码讲解为例子,帮助理解Transformer的整个结构。

2.1. Encoder

Encoder部分的结构如下图所示:

在这里插入图片描述

在Encoder部分,通过堆叠多个特定模块(如图中Nx部分),在文章[10]中,选择N=6N=6。在该模块中,每个Layer由两个sub-layer组成,分别为Multi-Head Self-Attention和Feed Forward Network,在两个sub-layer中,都增加了残差连接和Layer Normalization操作,残差连接和Layer Normalization的作用是便于构建深层的网络,防止梯度弥散现象的出现。在参考文献[11]中的代码如下所示:

class Encoder(tf.keras.layers.Layer):
  def __init__(self, num_layers, d_model, num_heads, dff, input_vocab_size,
               maximum_position_encoding, rate=0.1):
    super(Encoder, self).__init__()

    self.d_model = d_model # 向量的维度
    self.num_layers = num_layers # 编码层的层数,上图中的Nx部分

    self.embedding = tf.keras.layers.Embedding(input_vocab_size, d_model) # 生成词向量
    self.pos_encoding = positional_encoding(maximum_position_encoding, 
                                            self.d_model) # 生成位置编码

    self.enc_layers = [EncoderLayer(d_model, num_heads, dff, rate) 
                       for _ in range(num_layers)] # 每一个编码层函数

    self.dropout = tf.keras.layers.Dropout(rate) # dropout

  def call(self, x, training, mask):

    seq_len = tf.shape(x)[1] # 文本长度

    # 将嵌入和位置编码相加。
    x = self.embedding(x)  # (batch_size, input_seq_len, d_model) 词向量
    x *= tf.math.sqrt(tf.cast(self.d_model, tf.float32)) # 参见下面注意点
    x += self.pos_encoding[:, :seq_len, :] # 与位置编码相加

    x = self.dropout(x, training=training) # dropout

    for i in range(self.num_layers):
      x = self.enc_layers[i](x, training, mask) # 每一个独立层的输出作为下一个独立层的输入

    return x  # (batch_size, input_seq_len, d_model)

注:在文献[10]中提到在Embedding层,乘以权重dmodel\sqrt{d_{model}}

2.1.1. 输入

在Transformer中摒弃了RNN的模型,使用基于Self-Attention模型,相比于RNN模型,基于Self-Attention的模型能够缓解长距离依赖以及并行的问题,然而,一般的Self-Attention模型中是无法对词序建模的,词序对于文本理解是尤为重要的,因此在文章[10]中,作者提到了两种位置编码(Positional Encoding)方法,然后将词的Embedding和位置的Embedding相加,作为最终的输入Embedding。两种位置编码分别为:

  • 用不同频率的sin和cos函数计算
  • 学习出Positional Embedding

通过经过实验发现两者的结果一样,最终作者选择了第一种方法:

PE(pos,2i)=sin(pos/10002i/dmodel)PE_{\left ( pos,2i \right ) }=\sin \left ( pos/1000^{2i/d_{model}} \right )
PE(pos,2i+1)=cos(pos/10002i/dmodel)PE_{\left ( pos,2i+1 \right ) }=\cos \left ( pos/1000^{2i/d_{model}} \right )

位置编码的代码在文献[11]中为:

def get_angles(pos, i, d_model): # 计算函数内的部分
  angle_rates = 1 / np.power(10000, (2 * (i//2)) / np.float32(d_model))
  return pos * angle_rates

def positional_encoding(position, d_model):
  angle_rads = get_angles(np.arange(position)[:, np.newaxis],
                          np.arange(d_model)[np.newaxis, :],
                          d_model)

  # 将 sin 应用于数组中的偶数索引(indices);2i
  angle_rads[:, 0::2] = np.sin(angle_rads[:, 0::2])

  # 将 cos 应用于数组中的奇数索引;2i+1
  angle_rads[:, 1::2] = np.cos(angle_rads[:, 1::2])

  pos_encoding = angle_rads[np.newaxis, ...] # 最终的位置编码向量

  return tf.cast(pos_encoding, dtype=tf.float32)

通过原始词向量和位置向量相加,便得到了最终的带有位置信息的词向量。

2.2.2. Multi-Head Self-Attention

得到了词向量的序列后,假设为X\mathrm{X},在Transformer中,通过线性变换分别得到Q\mathrm{Q}K\mathrm{K}V\mathrm{V},其计算过程如下图[9]所示:

在这里插入图片描述

这里使用线性变换得到Q\mathrm{Q}K\mathrm{K}V\mathrm{V}是为了进一步提升模型的拟合能力。

在Transformer中,使用的是Scaled Dot-Product Attention,其具体计算方法为:

Attention(Q,K,V)=softmax(QKTdk)VAttention\left ( Q,K,V \right )=softmax\left ( \frac{QK^T}{\sqrt{d_k} }\right )V

对于1dk\frac{1}{\sqrt{d_k} },其最主要的目的是对点积缩放。

引参考文献[11]:假设Q和K的均值为0,方差为1。它们的矩阵乘积将有均值为0,方差为dkd_k,因此使用dkd_k的平方根被用于缩放。因为Q和K的矩阵乘积的均值本应该为0,方差本应该为1,这样可以获得更平缓的softmax。当维度很大时,点积结果会很大,会导致softmax的梯度很小。为了减轻这个影响,对点积进行缩放。

计算过程可由下图表示:

在这里插入图片描述

Scaled Dot-Product Attention模块的代码在文献[11]中为:

def scaled_dot_product_attention(q, k, v, mask):
  """计算注意力权重。
  q, k, v 必须具有匹配的前置维度。
  k, v 必须有匹配的倒数第二个维度,例如:seq_len_k = seq_len_v。
  虽然 mask 根据其类型(填充或前瞻)有不同的形状,
  但是 mask 必须能进行广播转换以便求和。

  参数:
    q: 请求的形状 == (..., seq_len_q, depth)
    k: 主键的形状 == (..., seq_len_k, depth)
    v: 数值的形状 == (..., seq_len_v, depth_v)
    mask: Float 张量,其形状能转换成
          (..., seq_len_q, seq_len_k)。默认为None。

  返回值:
    输出,注意力权重
  """

  matmul_qk = tf.matmul(q, k, transpose_b=True)  # (..., seq_len_q, seq_len_k), Q*K^T

  # 缩放 matmul_qk
  dk = tf.cast(tf.shape(k)[-1], tf.float32) # 计算dk
  scaled_attention_logits = matmul_qk / tf.math.sqrt(dk) # 缩放

  # 将 mask 加入到缩放的张量上。
  if mask is not None:
    scaled_attention_logits += (mask * -1e9)  

  # softmax 在最后一个轴(seq_len_k)上归一化,因此分数
  # 相加等于1。
  attention_weights = tf.nn.softmax(scaled_attention_logits, axis=-1)  # (..., seq_len_q, seq_len_k) # 归一化

  output = tf.matmul(attention_weights, v)  # (..., seq_len_q, depth_v) # 乘以V

  return output, attention_weights

通过多个Scaled Dot-Product Attention模块的组合,就形成了Multi-Head Self-Attention,其过程如下图所示:

在这里插入图片描述

其过程可以表示为:

MultiHead(Q,K,V)=Concat(head1,,headh)WoMultiHead\left ( Q,K,V \right ) =Concat\left ( head_1,\cdots, head_h \right ) W^o

其中,每一个headihead_i就是一个Scaled Dot-Product Attention。Multi-head Attention相当于多个不同的Scaled Dot-Product Attention的集成,引入Multi-head Attention可以扩大模型的表征能力,同时这里面的hh个Scaled Dot-Product Attention模块是可以并行的,没有层与层之间的依赖,相比于RNN,可以提升效率。

Multi-head Attention模块的代码在文献[11]中为:

class MultiHeadAttention(tf.keras.layers.Layer):
  def __init__(self, d_model, num_heads):
    super(MultiHeadAttention, self).__init__()
    self.num_heads = num_heads # h的个数
    self.d_model = d_model # 向量的维度

    assert d_model % self.num_heads == 0

    self.depth = d_model // self.num_heads

    self.wq = tf.keras.layers.Dense(d_model) # 权重矩阵,用于和Q相乘
    self.wk = tf.keras.layers.Dense(d_model) # 权重矩阵,用于和K相乘
    self.wv = tf.keras.layers.Dense(d_model) # 权重矩阵,用于和V相乘

    self.dense = tf.keras.layers.Dense(d_model) # 权重矩阵,用于最终输出

  def split_heads(self, x, batch_size):
    """分拆最后一个维度到 (num_heads, depth).
    转置结果使得形状为 (batch_size, num_heads, seq_len, depth)
    """
    x = tf.reshape(x, (batch_size, -1, self.num_heads, self.depth))
    return tf.transpose(x, perm=[0, 2, 1, 3])

  def call(self, v, k, q, mask):
    batch_size = tf.shape(q)[0]

    q = self.wq(q)  # (batch_size, seq_len, d_model)
    k = self.wk(k)  # (batch_size, seq_len, d_model)
    v = self.wv(v)  # (batch_size, seq_len, d_model)

    q = self.split_heads(q, batch_size)  # (batch_size, num_heads, seq_len_q, depth)
    k = self.split_heads(k, batch_size)  # (batch_size, num_heads, seq_len_k, depth)
    v = self.split_heads(v, batch_size)  # (batch_size, num_heads, seq_len_v, depth)

    # scaled_attention.shape == (batch_size, num_heads, seq_len_q, depth)
    # attention_weights.shape == (batch_size, num_heads, seq_len_q, seq_len_k)
    scaled_attention, attention_weights = scaled_dot_product_attention(
        q, k, v, mask) # 计算Scaled dot product attention

    scaled_attention = tf.transpose(scaled_attention, perm=[0, 2, 1, 3])  # (batch_size, seq_len_q, num_heads, depth)
	
	# 将多个scaled attention通过concat连接在一起
    concat_attention = tf.reshape(scaled_attention, 
                                  (batch_size, -1, self.d_model))  # (batch_size, seq_len_q, d_model)

    output = self.dense(concat_attention)  # (batch_size, seq_len_q, d_model) # 得到最终的输出

    return output, attention_weights

2.2.3. Layer Normalization

Layer Normalization是针对每条样本进行归一化,可以对Transformer学习过程中由于Embedding累加可能带来的“尺度”问题加以约束,相当于对表达每个词一词多义的空间加以约束,有效降低模型方差。在TF中可以使用tf.keras.layers.LayerNormalization()函数直接实现Layer Normalization功能。在Transformer中,Layer Normalization是对残差连接后的结果进行归一化,具体公式如下所示:

LayerNorm(x+Sublayer(x))LayerNorm\left ( x+Sublayer\left ( x \right ) \right )

2.2.4. Position-wise FFN

Position-wise Feed Forward Network就是一个全连接网络,在Transformer中,这个部分包含了两个FFN网络,可以由下述的公式表示:

FFN(x)=max(0,xW1+b1)W2+b2FFN\left ( x \right )=\max \left ( 0, xW_1+b_1 \right ) W_2+b_2

Position-wise FFN模块的代码在文献[11]中为:

def point_wise_feed_forward_network(d_model, dff):
  return tf.keras.Sequential([
      tf.keras.layers.Dense(dff, activation='relu'),  # (batch_size, seq_len, dff) # 全联接1,激活函数为relu
      tf.keras.layers.Dense(d_model)  # (batch_size, seq_len, d_model) # 全联接2
  ])

组合上述的多个部分,最终形成了Encoder模块部分,其代码在文献[11]中为:

class EncoderLayer(tf.keras.layers.Layer):
  def __init__(self, d_model, num_heads, dff, rate=0.1):
    super(EncoderLayer, self).__init__()

    self.mha = MultiHeadAttention(d_model, num_heads) # 多头Attention
    self.ffn = point_wise_feed_forward_network(d_model, dff) # position-wise FFN

    self.layernorm1 = tf.keras.layers.LayerNormalization(epsilon=1e-6) # layer-normalization
    self.layernorm2 = tf.keras.layers.LayerNormalization(epsilon=1e-6) # layer-normalization

    self.dropout1 = tf.keras.layers.Dropout(rate) # dropout
    self.dropout2 = tf.keras.layers.Dropout(rate) # dropout

  def call(self, x, training, mask):

    attn_output, _ = self.mha(x, x, x, mask)  # (batch_size, input_seq_len, d_model) 计算Attention
    attn_output = self.dropout1(attn_output, training=training) # 对结果dropout
    out1 = self.layernorm1(x + attn_output)  # (batch_size, input_seq_len, d_model) # 残差连接+layer-normalization

    ffn_output = self.ffn(out1)  # (batch_size, input_seq_len, d_model) position-wise FFN
    ffn_output = self.dropout2(ffn_output, training=training) # 对结果dropout
    out2 = self.layernorm2(out1 + ffn_output)  # (batch_size, input_seq_len, d_model) # 残差连接+layer-normalization

    return out2

2.2. Decoder

Decoder部分的结构如下图所示:

在这里插入图片描述

在Decoder部分,通过堆叠多个特定模块(如图中Nx部分),在文章[10]中,选择N=6N=6。在该模块中,每个Layer由三个sub-layer组成,分别为Masked Multi-Head Self-Attention,Multi-Head Self-Attention和Feed Forward Network,与Encoder中的sub-layer一样,每个sub-layer都增加了残差连接和Layer Normalization操作。与Encoder中不一样的地方主要有两个:

  • 增加了Masked Multi-Head Self-Attention这个sub-layer
  • Multi-Head Self-Attention的输入不一样,在Encoder中,QQKKVV的值都是一样的,而在Decoder中的QQ的值来自本身的输入向量,而KKVV则来自于Encoder的输出

Decoder部分的代码在参考文献[11]中如下所示:

class Decoder(tf.keras.layers.Layer):
  def __init__(self, num_layers, d_model, num_heads, dff, target_vocab_size,
               maximum_position_encoding, rate=0.1):
    super(Decoder, self).__init__()

    self.d_model = d_model # 向量维度
    self.num_layers = num_layers # 解码器的层数,上图中的Nx

    self.embedding = tf.keras.layers.Embedding(target_vocab_size, d_model) # 输入的词映射成Embedding
    self.pos_encoding = positional_encoding(maximum_position_encoding, d_model) # 输入词的位置编码

    self.dec_layers = [DecoderLayer(d_model, num_heads, dff, rate) 
                       for _ in range(num_layers)] # 解码层
    self.dropout = tf.keras.layers.Dropout(rate) # dropout

  def call(self, x, enc_output, training, 
           look_ahead_mask, padding_mask):

    seq_len = tf.shape(x)[1] # 输入句子长度
    attention_weights = {}

    x = self.embedding(x)  # (batch_size, target_seq_len, d_model) # 输入词向量
    x *= tf.math.sqrt(tf.cast(self.d_model, tf.float32)) # 同encoder的输入操作
    x += self.pos_encoding[:, :seq_len, :] # 与位置编码相加

    x = self.dropout(x, training=training) # dropout

    for i in range(self.num_layers): # 解码层
      x, block1, block2 = self.dec_layers[i](x, enc_output, training,
                                             look_ahead_mask, padding_mask)

      attention_weights['decoder_layer{}_block1'.format(i+1)] = block1
      attention_weights['decoder_layer{}_block2'.format(i+1)] = block2

    # x.shape == (batch_size, target_seq_len, d_model)
    return x, attention_weights

最终,在Encoder阶段,会针对输入中的每一个词产出一个Embedding表示,正如上述代码中的x的大小为[target_seq_len, d_model]

2.2.1. Decoder部分的输入

Decoder部分的作用是在tt时刻,根据上下文信息(即Encoder中对源文本的编码信息)以及tt时刻之前已生成好的文本,得到当前tt时刻的输出,因此,在Decoder模块中,输入分为两个部分,一部分是Encoder部分的输出,一部分是Seq2Seq的目标Seq的Embedding,其中源Seq的Embedding输入到Encoder中。对于Seq的处理与Encoder中一致,详细为:

x = self.embedding(x)  # (batch_size, target_seq_len, d_model) # 输入词向量
x *= tf.math.sqrt(tf.cast(self.d_model, tf.float32)) # 同encoder的输入操作
x += self.pos_encoding[:, :seq_len, :] # 与位置编码相加

2.2.2. Masked Multi-Head Self-Attention

Masked是Transformer中很重要的概念,其实在Transformer中存在两种Mask。Mask的含义是掩码,它能掩藏某些值,使得模型在参数更新时对模型掩藏。Transformer中包含了两种Mask,分别是padding mask和sequence mask。其中,padding mask在所有的Scaled Dot-Product Attention里面都需要用到,而sequence mask只有在Decoder的Masked Multi-Head Self-Attention里面用到。

Masked Language Model:即对文本中随机掩盖(mask)部分词,并通过训练语言模型,将masked掉的词填充好,以此训练语言模型。

  • padding mask

对于输入序列都要进行padding补齐,也就是说设定一个统一的句子长度NN,对于橘子长度不满NN的序列后面填充00,如果输入的序列长度大于NN,则截取左边长度为NN的内容,把多余的直接舍弃。对于padding补齐,对于填充值00的位置,最终在该位置mask输出为11,否则输出为00。在参考文献[11]中代码为:

def create_padding_mask(seq):
  seq = tf.cast(tf.math.equal(seq, 0), tf.float32) # 填充0

  # 添加额外的维度来将填充加到
  # 注意力对数(logits)。
  return seq[:, tf.newaxis, tf.newaxis, :]  # (batch_size, 1, 1, seq_len)

在Self-Attention的计算过程中,对于mask为11的位置,具体的做法是,把这些位置的值加上一个非常大的负数,这样经过Softmax后,这些位置的权重就会接近00,具体如scaled_dot_product_attention函数中所示:

# 将 mask 加入到缩放的张量上。
if mask is not None:
  scaled_attention_logits += (mask * -1e9)  
  • sequence mask

sequence mask是为了使Decoder模块不能看见未来的信息。在Decoder模块中,希望在tt时刻,只利用Encoder的输出以及tt时刻之前的输出,而需要对tt时刻以及tt时刻之后的信息隐藏起来。具体做法就是产生一个上三角矩阵,上三角的值全为00,把这个矩阵作用在每一个序列上。在参考文献[11]中代码为:

def create_look_ahead_mask(size):
  mask = 1 - tf.linalg.band_part(tf.ones((size, size)), -1, 0)
  return mask  # (seq_len, seq_len)

两个部分的mask组合在一起,在参考文献[11]中的代码如下所示:

def create_masks(inp, tar):
  # 编码器填充遮挡
  enc_padding_mask = create_padding_mask(inp) # 编码器的padding

  # 在解码器的第二个注意力模块使用。
  # 该填充遮挡用于遮挡编码器的输出。
  dec_padding_mask = create_padding_mask(inp) # 解码器的padding

  # 在解码器的第一个注意力模块使用。
  # 用于填充(pad)和遮挡(mask)解码器获取到的输入的后续标记(future tokens)。
  look_ahead_mask = create_look_ahead_mask(tf.shape(tar)[1]) # 编码器的mask
  dec_target_padding_mask = create_padding_mask(tar) # 解码器对target做padding
  combined_mask = tf.maximum(dec_target_padding_mask, look_ahead_mask) # mask

  return enc_padding_mask, combined_mask, dec_padding_mask

2.2.3. Decoder的核心部分

对于Decoder的核心部分,包含了NxNx组的多种Attention的堆叠,对于每一组的结构如下图所示:

在这里插入图片描述

对于Masked Multi-Head Attention,其输入为target的Embedding与Position Embedding的和,其输出作为Multi-Head Attention的输入QQ,而Multi-Head Attention的输入KKVV则是来自于Encoder的输出。Decoder阶段与Encoder阶段的不同的是,在Encoder阶段可以做并行计算,但是在Decoder阶段,需要根据tt时刻前面的输出预测tt时刻的值,而tt时刻前面的输出即为Masked Multi-Head Attention的输入。Decoder过程在参考文献[11]中的代码如下所示:

class DecoderLayer(tf.keras.layers.Layer):
  def __init__(self, d_model, num_heads, dff, rate=0.1):
    super(DecoderLayer, self).__init__()

    self.mha1 = MultiHeadAttention(d_model, num_heads)
    self.mha2 = MultiHeadAttention(d_model, num_heads)

    self.ffn = point_wise_feed_forward_network(d_model, dff)

    self.layernorm1 = tf.keras.layers.LayerNormalization(epsilon=1e-6)
    self.layernorm2 = tf.keras.layers.LayerNormalization(epsilon=1e-6)
    self.layernorm3 = tf.keras.layers.LayerNormalization(epsilon=1e-6)

    self.dropout1 = tf.keras.layers.Dropout(rate)
    self.dropout2 = tf.keras.layers.Dropout(rate)
    self.dropout3 = tf.keras.layers.Dropout(rate)


  def call(self, x, enc_output, training, 
           look_ahead_mask, padding_mask):
    # enc_output.shape == (batch_size, input_seq_len, d_model)

    attn1, attn_weights_block1 = self.mha1(x, x, x, look_ahead_mask)  # (batch_size, target_seq_len, d_model) # Decoder部分的输入,经过第一个Masked Multi-Head Attention
    attn1 = self.dropout1(attn1, training=training) # dropout
    out1 = self.layernorm1(attn1 + x) # layer normalization和残差连接

    attn2, attn_weights_block2 = self.mha2(
        enc_output, enc_output, out1, padding_mask)  # (batch_size, target_seq_len, d_model) # 第二个Multi-Head Attention
    attn2 = self.dropout2(attn2, training=training) # dropout
    out2 = self.layernorm2(attn2 + out1)  # (batch_size, target_seq_len, d_model) # layer normalization和残差连接

    ffn_output = self.ffn(out2)  # (batch_size, target_seq_len, d_model) # 全连接
    ffn_output = self.dropout3(ffn_output, training=training) # dropout
    out3 = self.layernorm3(ffn_output + out2)  # (batch_size, target_seq_len, d_model) # layer normalization和残差连接

    return out3, attn_weights_block1, attn_weights_block2

2.3. 模型训练

有了上述的Encoder和Decoder模块,对于一个完整的Seq2Seq框架,需要综合这两个部分的逻辑,完整的Transformer的代码在参考文献[11]为:

class Transformer(tf.keras.Model):
  def __init__(self, num_layers, d_model, num_heads, dff, input_vocab_size, 
               target_vocab_size, pe_input, pe_target, rate=0.1):
    super(Transformer, self).__init__()

    self.encoder = Encoder(num_layers, d_model, num_heads, dff, 
                           input_vocab_size, pe_input, rate) # Encoder模块

    self.decoder = Decoder(num_layers, d_model, num_heads, dff, 
                           target_vocab_size, pe_target, rate) # Decoder模块

    self.final_layer = tf.keras.layers.Dense(target_vocab_size) # 最后的全连接层

  def call(self, inp, tar, training, enc_padding_mask, 
           look_ahead_mask, dec_padding_mask):

    enc_output = self.encoder(inp, training, enc_padding_mask)  # (batch_size, inp_seq_len, d_model) # Encoder模块的输出

    # dec_output.shape == (batch_size, tar_seq_len, d_model)
    dec_output, attention_weights = self.decoder(
        tar, enc_output, training, look_ahead_mask, dec_padding_mask) # Decoder模块的输出

    final_output = self.final_layer(dec_output)  # (batch_size, tar_seq_len, target_vocab_size) # 全连接输出

    return final_output, attention_weights

3. 总结

Transformer对基于递归神经网络RNN的Seq2Seq模型的巨大改进。在文本序列的学习中能够更好的提取文本中的信息,在Seq2Seq的任务中取得较好的结果。但Transformer自身也存在一定的局限性,最主要的是注意力只能处理固定长度的文本字符串,这对于长文本来说会丢失很多信息。

参考文献

[1] Cho K, Merrienboer B V, Gulcehre C, et al. Learning Phrase Representations using RNN Encoder-Decoder for Statistical Machine Translation[J]. Computer Science, 2014.

[2] 循环神经网络RNN

[3] 长短期记忆网络LSTM

[4] CNN在文本建模中的应用TextCNN

[5] Y. Kim, “Convolutional neural networks for sentence classification,” in Proceedings of EMNLP 2014

[6] 神经网络与深度学习

[7] Bahdanau D, Cho K, Bengio Y. Neural machine translation by jointly learning to align and translate[J]. arXiv preprint arXiv:1409.0473, 2014.

[8] Attention注意力机制与self-attention自注意力机制

[9] The Illustrated Transformer

[10] Vaswani A, Shazeer N, Parmar N, et al. Attention is all you need[J]. Advances in neural information processing systems, 2017, 30.

[11] 理解语言的 Transformer 模型

[11] transformer面试题的简单回答

[12] nlp中的Attention注意力机制+Transformer详解

[13] 深度学习中的注意力模型(2017版)

[14] Jimmy Lei Ba, Jamie Ryan Kiros, and Geoffrey E Hinton. Layer normalization. arXiv preprint arXiv:1607.06450, 2016.

[15] 模型优化之Layer Normalization

[16] 超详细图解Self-Attention

[17] 【经典精读】Transformer模型和Attention机制

[18] Transformer解析与tensorflow代码解读