m利用SIMILINK仿真模块实现多径信道的动态仿真模拟

186 阅读3分钟

1.算法描述

       在过去的几十年里,无线通信技术得到了迅猛的发展和广泛的应用。第三代、第四代等移动通信系统给人们展示了一个美好的前景,但这些前景的实现是以克服目前所面临的包括多径时延扩展、信道时变等技术难题为先决条件的。无线通信的工作环境非常复杂,无线电波不仅会随着传播距离的增加发生弥散损耗,并且会受到地形、地物等的遮蔽而发生“阴影效应”;而且信号经过多点反射,会从多条不同路径到达接收端,这种多径信号的幅度、相位和到达时间不可能完全相同,它们相互叠加会产生电平衰落和时延扩展。由于多径衰落的存在,直接利用无线信道进行通信,存在严重的码间干扰。

 

·多径信道的举例:

 

       通常,航空信道被认为是由一个视距传播(LOS)成分和一个多径散射成分组成,称为莱斯衰落信道。其中,多径散射成分是由传播环境中物体对电磁波的反射和散射产生的。在航空通信中,飞行器不同的状态会导致不同的信道衰落形式,比如飞行器在飞行途中、跑道滑行以及停场状态导致的信道衰落是不同的。一般来说,在停场状态下,由于停机坪、机库的影响,通常视距成分是不存在的,这导致了所谓瑞利衰落,是最严重的衰落形式;而在另外的状态下,接收信号通常包含LOS成分和散射成分,这会导致莱斯衰落。

 

·空空信道

 

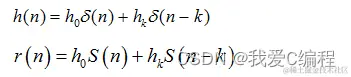
       空空信道是一种典型的频率选择性衰落信道。在通信过程中,通信双方之间存在直射径。根据实际工程测量,考虑可分辨多径数为2,因此,其冲击响应和接收数据如下式所示:

 

1.png

 

根据通常情况下的多径信道,仿真模型主要体现如下几个指标:

 

·多径个数;

 

·每个多径的时延;

 

·每个多径以及主径的衰弱

 

·多普勒频移

 

·高斯白噪声

 

根据上面的指标,多径信道可以用如下的式子进行建模:

 

2.仿真效果预览

matlab2022a仿真结果如下:

 

下面是一条多径,衰弱为3db的情况:

 

2.png

3.png 下面是二条多径,衰弱为3db,6db的情况:

4.png

5.png 3.MATLAB部分代码预览 `clc;

clear;

close all;

warning off;

addpath(genpath(pwd));

 

%本系统最多支持四个多径

M       = 1;       %多径个数

 

Gainss  = 0;%主劲的衰弱

No_pass = -inf;

Gains   = [-1         -2        -3       -4]; %设主劲衰弱为0dbm,,值设的越小,所以辅劲功率越小

Delay   = [20         100       200        300];

Fcc     = 1;%定义多普勒平移

 

SNR     = [20 20 33 33 33];      %信道噪声

01_046_m`