m基于OFDM系统,对比SC算法,Minn算法,PARK算法同步性能matlab仿真分析

180 阅读4分钟

1.算法描述

        OFDM系统下对比SC算法,Minn算法,PARK算法同步性能matlab仿真分析。OFDM系统中的定时估计和频率频率算法——时频联合估计的SC算法,由Schmidl和Cox提出,是一种基于训练序列的符号同步和载波频率同步的联合估计算法。

 

       为了消除Schmidl算法出现的平顶影响,minn等人改变了训练队列的结构,并重新设计了一种新的同步度量函数,虽然成功消除了schmidl算法的平顶效应,使得同步自相关峰变得尖锐,提高了定时同步估计的精度和可靠性,但是该向相关峰还不够尖锐,而且在同步度量函数曲线主峰两边出现了多个副峰,在信道环境恶劣的条件下,也即低信噪比条件下,定时同步估计将受到较大的影响。

 

      为了进一步解决minn算法存在的不足,park等人在分析了schmidl算法和minn算法定时效果不佳的原因后,重新设计了新的前导训练序列的结构,并给出了新的定时同步度量函数,该算法的定时度量函数曲线出现了一个更为尖锐的自相关峰,很明显该算法消除了schmidl算法中由于循环前缀的存在而导致的平顶效应,同时得到了比minn算法更为尖锐的自相关峰,提高了定时的精度和确定性,但是在噪声干扰较大的情况下,该算法还是会出现较大的定时同步估计误差,其同步估计的稳定性依然较差。

 

SC算法

1.png

首先要考虑同步序列的结构,如下所示。

2.png

该算法中既可以进行定时同步,也可以进行频率同步,频率同步又可以分为小数倍频偏和整数倍频偏,我在的项目里也叫精频偏估计和粗频偏估计。其中,定时同步和小数倍频偏估计用第一个训练序列也就是上图中的AA来完成,整数倍频偏则两个训练序列都会用到。

 

Minn算法

  3.png

所求得的d对应的是训练序列(不包含循环前缀)的开始位置。

 

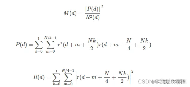
PARK算法

 

训练序列结构 T=[CC DD C∗C∗ D∗D∗],其中C表示由长度为N/4的复伪随机序列PN,ifft变换得到的符号序列C(n)=D(N/4−n)

4.png  实际在算法实现上

P(d)=∑N/2−1m=0r(d−1−m)r(d+m)P(d)=∑m=0N/2−1r(d−1−m)r(d+m)

这是因为序列个数通常是偶数而非奇数,不会出现r(d)r(d)r(d)r(d)的情况。

所求得的d对应的是训练序列(不包含循环前缀)的中间位置。

 

2.仿真效果预览

matlab2022a仿真结果如下:

5.png

6.png

7.png

8.png

9.png

10.png

11.png

12.png

13.png

14.png

3.MATLAB部分代码预览 `%利用查表法生成复随机序列**********

QAMTable=[7+7i,-7+7i,-7-7i,7-7i];

buf=QAMTable(randint(N/2,1,4)+1); %加1是为了下标可能是0不合法

 

%产生train

pn = rand(1,N/2)>0.5;

pn = reshape(pn,N/4,2);

[ich,qch]=qpskmod(pn,N/4,1,2);

kmod=sqrt(2);

x=ichkmod+qchkmod*i;

y=ifft(x);

y=reshape(y,N/4,1);

train=[y;y(N/4:-1:1,1);conj(y);conj(y(N/4:-1:1,1))];

 

%****添加一个空符号以及一个后缀符号

src = QAMTable(randint(N,1,4)+1).';

sym = ifft(src);

sig =[zeros(N,1) train train sym];

 

%添加循环前缀***

tx =[sig(N - Ng +1:N,:);sig];

 

%经过信道****

recv = reshape(tx,1,size(tx,1)*size(tx,2)); %size的1表示行,2表示列,从%前向后数,超过了为1

recv1 = awgn(recv,10,'measured');

recv2 = [zeros(1,100),recv1(1:end-100)];

recv  = recv1 + 0.8*recv2;

%计算符号定时************

P=zeros(1,2*Ns);

R=zeros(1,2*Ns);

P2=zeros(1,2*Ns);

R2=zeros(1,2*Ns);  

for d = Ns/2+1:1:2*Ns + Ns/2

    for m=1:N/2  

        P(d-Ns/2) = P(d-Ns/2) + (recv(d+m))*recv(d-1-m);  

        R(d-Ns/2) = R(d-Ns/2) + power(abs(recv(d+m)),2);

    end

end

M= power(abs(P),2)./power(abs(R),2);

[a b]=max(M);

b=b-N/2;

%取第一个峰值

Level = a/3;

Ind   = [];

for i=1:length(M)

    if M(i) > Level

       Ind = [Ind,i];

    end

end

M(Ind(2:end)) = 0;

M2(:,iii) = M;

end

MM = mean(M2,2);

%绘图********

figure('Color','w');

d=1:1:400;

plot(d,MM(d+N/2));

grid on;

axis([0,400,0,1.1]);

title('Park 算法');

xlabel('时间(采样)');

ylabel('定是度量曲线');

01_071_m`