数据分享|R语言逐步回归、方差分析anova电影市场调查问卷数据可视化|附代码数据

228 阅读5分钟

全文链接:tecdat.cn/?p=30680

最近我们被客户要求撰写关于电影市场调查问卷数据的研究报告,包括一些图形和统计输出。

这是一份有关消费者对电影市场看法及建议的调查报告,我们采取了问卷调查法,其中发放问卷256份,回收有效问卷200份

我们对数据 查看文末了解数据免费获取方式 进行了基本分析,比如:相关性。还有基本图形、回归方差分析。最后模型比较。

图片

读入数据

head(data)

图片

数据的描述

str(data)

数据一共有200个样本,25个属性。具体属性和取值及其含义如下:

图片

数据展示

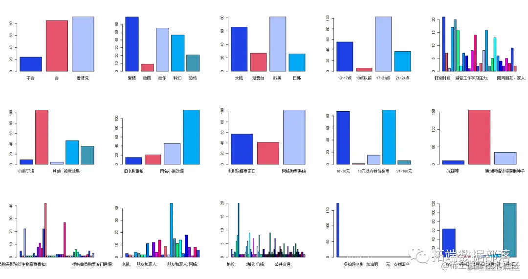
绘制各个变量的饼图可以看到基本人口信息的各个取值的所占的百分比。

图片

图片


点击标题查阅往期内容

图片

数据分享|数据视角可视化分析豆瓣电影评分爬虫数据

图片

左右滑动查看更多

图片

01

图片

02

图片

03

图片

04

图片

数据特性总结

基本统计量

图片

图片

数据准备

数据的清理

#数据清理

对缺失值(NA)的处理

data=na.omit(data)

 

#变量筛选

 colnames(data)

 

data=data[, -which(colnames(data) %in% c("填写时间","是否星标","提交后随机码" , "是否已

数据分析

基本数据分析,比如:相关性。还有基本图形、回归方差分析。最后模型比较。

数据检验

相关性

查看您对中国电影产业的发展建议和请问您看电影的主要目的是什么变量之间是否具有相关关系

图片

检验的结果是,由于P =0.016<0.05,因此在0.05的显署性水平下,拒绝原假设,认为两者之间具有相关关系。

下面进行方差分析

m1<-aov(Q12.您一般通过什么途径购买电影票~Q9.请问您看电影的主要目的是什么,data=datacor)

图片 由于p值大于0.05,从这个结果可以看出看电影的不同目下购买电影股票的差别不显著。

图片 由于p值小于0.05,从这个结果可以看出看电影的不同目下购买电影股票的差别不显著。

回归分析

图片

从回归模型的结果来看,可以看到接受电影票价格区间对被调查对象考虑的电影外在因素有比较大的影响,p值小于0.05,因此该变量对被调查者选择去看电影有显著的影响 。其次被调查者的年龄也有较明显的影响,可以年龄和被调查者去看电影有较大的负相关关系,因此可以认为年龄大的人会倾向于考虑的看电影各种外在因素。

plot(model)

图片

从回归模型的残差结果图来看,残差比较均匀地分布在0线周围,和qq图周围,说明残差随机服从正态分布,因此,回归模型具有较好的效果。

模型的比较和讨论

模型筛选与比较,使用逐步回归进行模型筛选最优模型,然后和传统的回归模型进行比较。删去不显著的变量.

图片

进行变量删减后的回归模型,我们得到最优变量是被调查者接受的电影票价格区间,p值小于0.05,说明该变量对被调查者考虑的外在因素有显著的影响。

图片

数据获取

在公众号后台回复“电影”,可免费获取完整数据。****

图片

图片

点击文末 “阅读原文”

获取全文完整代码数据资料。

本文选自《R语言电影市场调查问卷回归模型、方差anova分析可视化》。

点击标题查阅往期内容

R语言用逻辑回归、决策树和随机森林对信贷数据集进行分类预测
逻辑回归(对数几率回归,Logistic)分析研究生录取数据实例
R语言使用Metropolis- Hasting抽样算法进行逻辑回归
R语言逻辑回归Logistic回归分析预测股票涨跌
R语言在逻辑回归中求R square R方
R语言逻辑回归(Logistic Regression)、回归决策树、随机森林信用卡违约分析信贷数据集
R语言对用电负荷时间序列数据进行K-medoids聚类建模和GAM回归
R语言进行支持向量机回归SVR和网格搜索超参数优化
R语言贝叶斯MCMC:GLM逻辑回归、Rstan线性回归、Metropolis Hastings与Gibbs采样算法实例
在R语言中实现Logistic逻辑回归
R语言逻辑回归、Naive Bayes贝叶斯、决策树、随机森林算法预测心脏病
R语言用Rcpp加速Metropolis-Hastings抽样估计贝叶斯逻辑回归模型的参数
R语言逻辑回归logistic模型分析泰坦尼克titanic数据集预测生还情况
R语言用lme4多层次(混合效应)广义线性模型(GLM),逻辑回归分析教育留级调查数据
R语言随机森林RandomForest、逻辑回归Logisitc预测心脏病数据和可视化分析
R语言基于Bagging分类的逻辑回归(Logistic Regression)、决策树、森林分析心脏病患者
R语言逻辑回归(Logistic回归)模型分类预测病人冠心病风险