R语言ARIMA-GARCH波动率模型预测股票市场苹果公司日收益率时间序列|附代码数据

235 阅读10分钟

原文链接:tecdat.cn/?p=23934

最近我们被客户要求撰写关于ARIMA-GARCH的研究报告,包括一些图形和统计输出。

在本文中,我们将尝试为苹果公司的日收益率寻找一个合适的 GARCH 模型

波动率建模需要两个主要步骤。

  • 指定一个均值方程(例如 ARMA,AR,MA,ARIMA 等)。
  • 建立一个波动率方程(例如 GARCH, ARCH,这些方程是由 Robert Engle 首先开发的)。

要做(1),你需要利用著名的Box-Jenkins方法,它包括三个主要步骤。

  • 识别
  • 估算
  • 诊断检查

这三个步骤有时会有不同的名称,这取决于你读的是谁的书。在本文中,我将更多地关注(2)。

我将使用一个名为quantmod的软件包,它代表量化金融建模框架。这允许你在R中直接从各种在线资源中抓取金融数据。

#install.packages("quantmod") -需要先安装该软件包

getSymbols(Symbols = "AAPL",
           src="yahoo", #其他来源包括:谷歌、FRED等。

图片

收益通常有一个非常简单的平均数方程,这导致了简单的残差。

图片

我们首先要测试序列依赖性,这是条件异方差的一个指标(序列依赖性与序列相关不同)。这是通过对原始序列的平方/绝对值进行测试,并使用Ljung和Box(1978)的Ljung-Box测试等联合假设进行测试,这是一个Portmentau检验,正式检验连续自相关,直到预定的滞后数,如下所示。

图片

其中T是总的周期数,m是你要测试的序列相关的滞后期数,ρ2k是滞后期k的相关性,Q∗(m)∼χ2α有m个自由度。

检查

下面是AAPL对数收益时间序列及其ACF,这里我们要寻找显著的滞后期(也可以运行pacf)或存在序列自相关。

图片图片

通过观察ACF,水平序列(对数收益)并不是真正的自相关,但现在让我们看一下平方序列来检查序列依赖性。


点击标题查阅往期相关内容

图片

R语言用多元ARMA,GARCH ,EWMA, ETS,随机波动率SV模型对金融时间序列数据建模

图片

左右滑动查看更多

图片

01

图片

02

图片

03

图片

04

图片

图片图片

我们可以看到,平方序列的ACF显示出显著的滞后。这是一个信号,说明我们应该在某个时候测试ARCH效应。

平稳性

我们可以看到,AAPL的对数回报在某种程度上是一个平稳的过程,所以我们将使用Augmented Dicky-Fuller检验(ADF)来正式检验平稳性。ADF是一个广泛使用的单位根检验,即平稳性。我们将使用12个滞后期,因为根据文献的建议,我们有每日数据。何:存在单位根(系列是非平稳的

## 
## Title:
##  Augmented Dickey-Fuller Test
## 
## Test Results:
##   PARAMETER:
##     Lag Order: 12
##   STATISTIC:
##     Dickey-Fuller: -14.6203
##   P VALUE:
##     0.01 
## 
## Description:
##  Mon May 25 16:45:37 2020 by user: Florian

上面的P值为0.01,表明我们应该拒绝Ho,因此,该系列是平稳的。

结构突变_检验_

请注意,我从2008年底开始研究APPL序列。以避免08年大衰退,通常会在数据中产生结构性突变(即趋势的严重下降/跳跃)。我们将对结构性突变/变化进行Chow测试。AAPL的日收益率没有结构性突变

图片

该图显示,用于估计断点(BP)数量的BIC(黑线)是BIC线的最小值,所以我们可以确认没有结构性断点,因为最小值是零,即零断点。在预测时间序列时,断点非常重要。

估计

在这一节中,我们试图用auto.arima命令来拟合最佳arima模型,允许一个季节性差异和一个水平差异。

正如我们所知,{Yt}的一般ARIMA(p,d,q)。

图片

图片

根据auto.arima,最佳模型是ARIMA(3,0,2),平均数为非零,AIC为-14781.55。我们的平均方程如下(括号内为SE)。

图片

Auto.arima函数挑选出具有最低AIC的ARIMA(p,d,q),其中。

图片

其中Λθ是观察到的数据在参数的mle的概率。因此,如果Auto.arima函数运行N模型,其决策规则为AIC∗=min{AICi}Ni=1

诊断检查

我们可以看到,我们的ARIMA(3,0,2)的残差是良好的表现。它们似乎也有一定的正态分布

图片

## 
##  Ljung-Box test
## 
## data:  Residuals from ARIMA(3,0,2) with non-zero mean
## Q* = 6.7928, df = 4, p-value = 0.1473
## 
## Model df: 6.   Total lags used: 10

现在我们将通过对我们的ARIMA(3,0,2)模型的平方残差应用Ljung-Box测试来检验ARCH效应。

图片

## 
##  Box-Ljung test
## 
## data:  resid^2
## X-squared = 126.6, df = 12, p-value < 2.2e-16

我们可以看到,残差平方的 ACF 显示出许多显著的滞后期,因此我们得出结论,确实存在 ARCH 效应,我们应该对波动率进行建模。

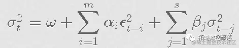
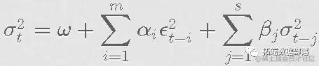
使用 GARCH 建立波动率模型

上面将我们的平均数方程中的残差进行了平方,看看大的冲击是否紧随在其他大的冲击之后(无论哪个方向,即负的或正的),如果是这样,那么我们就有条件异方差,意味着我们有需要建模的非恒定方差。下面是一个GARCH(m,s)的样子。

图片

其中{ϵ2t}mt=1是我们通常的特异性冲击,iid随机变量,即ϵ2t∼WN(0,σ2ϵ)。我们可以更紧凑地写成:

图片

其中B是标准的后移算子Biϵ2t=ϵ2t-i,Biσ2t=σ2t-i。对于任何整数ii,以及α和β分别是度数为m和s的多项式

图片

请注意,一个特殊情况是当s=0时,GARCH(m,0)被称为ARCH(m)。

当我说GARCH家族时,它表明模型有变化。

  • SGARCH。普通GARCH
  • EGARCH。指数GARCH,允许波动率不为负值(这迫使模型只输出正方差
  • FGARCH。这是为长记忆模型准备的。它使用了被称为 ARFIMA 的 Fractionaly integrated ARIMA(即非整数整合)。
  • GARCH-M:这是GARCH的均值,适合你的均值方程中有波动率例如CAPM的方程中有σ。
  • GJR-GARCH。假设负面冲击和正面冲击之间存在不对称性(金融数据几乎都是这样)。

为收益率序列建立波动率模型包括四个步骤:

  1. 通过测试数据中的序列依赖性来指定一个均值方程,如果有必要,为收益序列建立一个 计量经济学模型(例如,ARIMA 模型)来消除任何线性依赖。
  2. 使用平均值方程的残差来测试ARCH效应。
  3. 如果ARCH效应在统计上是显著的,就指定一个波动率模型,并对均值和波动率方程进行联合估计。
  4. 仔细检查拟合的模型,必要时对其进行改进。

一个简单的 GARCH 模型有以下成分。

均值: 图片

波动率方程:  图片

误差假设: 图片

#以下命令将计算GARCH(m,s)。请记住,对于某些m和s的组合,它可能不会收敛。

garchlist(model="sGARCH", #其他选项有egarch, fgarch等。
                                                     garchOrder=c(1,2)), #你可以在这里修改GARCH(m,s)的阶数
                               mean.model  , #指定你的ARMA模型,暗示你的模型应该是平稳的。
                               distribution.model          #其他分布是 "std "代表t分布,"ged "代表一般误差分布

我们的波动率方程由GARCH(1,2)给出,AIC:-5.5277(注意GARCH可能无法收敛)。

图片

下面是使用我们的波动率模型对波动率进行的预测。这看起来是一个合理的波动率预测,但是你想改进你的模型。

图片

现在让我们使用rugarch的标准功能,使用估计的GARCH(1,2)模型来产生σt的滚动预测,并将它们与|rt|作对比。

图片

最后,我们可以手动编写代码来查看随时间变化的波动率和对数收益率rt,如下图。

# 这将有助于在对数收益率上绘制sigma随时间变化的图。

sigma.t #这是你的波动率序列

ggplot()
  geom_line(aes(x=as.numeric(
              
  theme_bw()+

图片

结论

事实证明,GARCH系列是所谓确定性波动率模型的一部分。还有一个家族叫做随机波动率模型,它允许模型中存在随机性,而GARCH假设我们对波动率进行了完美的建模(如果你对你所分析的序列非常熟悉,这可能是一个好的假设,但实际情况并不总是这样)。随机波动率模型通常是用马尔科夫链蒙特卡洛(MCMC)和准蒙特卡洛方法来估计的,如果你学过随机过程的相关内容,你会知道这是什么。

参考文献

  • Tsay, R. (2010). Analysis of Financial Time Series. (3rd ed., Wiley Series in Probability and Statistics).

  • Brockwell, P., & Davis, Richard A. (2016). Introduction to time series and forecasting (3rd ed., Springer texts in statistics). New York: Springer.

  • Racine, Jeffrey S. (2019) Reproducible Econometrics Using R (Oxford)


图片

点击文末 “阅读原文”

获取全文完整资料。

本文选自《R语言ARIMA-GARCH波动率模型预测股票市场苹果公司日收益率时间序列》。

点击标题查阅往期内容

R语言风险价值:ARIMA,GARCH,Delta-normal法滚动估计VaR(Value at Risk)和回测分析股票数据
R语言GARCH模型对股市sp500收益率bootstrap、滚动估计预测VaR、拟合诊断和蒙特卡罗模拟可视化
R语言单变量和多变量(多元)动态条件相关系数DCC-GARCH模型分析股票收益率金融时间序列数据波动率
R语言中的时间序列分析模型:ARIMA-ARCH / GARCH模型分析股票价格
GARCH-DCC模型和DCC(MVT)建模估计
R语言预测期货波动率的实现:ARCH与HAR-RV与GARCH,ARFIMA模型比较
ARIMA、GARCH 和 VAR模型估计、预测ts 和 xts格式时间序列
PYTHON用GARCH、离散随机波动率模型DSV模拟估计股票收益时间序列与蒙特卡洛可视化
极值理论 EVT、POT超阈值、GARCH 模型分析股票指数VaR、条件CVaR:多元化投资组合预测风险测度分析
Garch波动率预测的区制转移交易策略
金融时间序列模型ARIMA 和GARCH 在股票市场预测应用
时间序列分析模型:ARIMA-ARCH / GARCH模型分析股票价格
R语言风险价值:ARIMA,GARCH,Delta-normal法滚动估计VaR(Value at Risk)和回测分析股票数据
R语言GARCH建模常用软件包比较、拟合标准普尔SP 500指数波动率时间序列和预测可视化
Python金融时间序列模型ARIMA 和GARCH 在股票市场预测应用
MATLAB用GARCH模型对股票市场收益率时间序列波动的拟合与预测
R语言极值理论 EVT、POT超阈值、GARCH 模型分析股票指数VaR、条件CVaR:多元化投资组合预测风险测度分析
Python 用ARIMA、GARCH模型预测分析股票市场收益率时间序列
R语言中的时间序列分析模型:ARIMA-ARCH / GARCH模型分析股票价格
R语言ARIMA-GARCH波动率模型预测股票市场苹果公司日收益率时间序列
Python使用GARCH,EGARCH,GJR-GARCH模型和蒙特卡洛模拟进行股价预测
R语言时间序列GARCH模型分析股市波动率
R语言ARMA-EGARCH模型、集成预测算法对SPX实际波动率进行预测
matlab实现MCMC的马尔可夫转换ARMA - GARCH模型估计
Python使用GARCH,EGARCH,GJR-GARCH模型和蒙特卡洛模拟进行股价预测
使用R语言对S&P500股票指数进行ARIMA + GARCH交易策略
R语言用多元ARMA,GARCH ,EWMA, ETS,随机波动率SV模型对金融时间序列数据建模
R语言股票市场指数:ARMA-GARCH模型和对数收益率数据探索性分析
R语言多元Copula GARCH 模型时间序列预测
R语言使用多元AR-GARCH模型衡量市场风险
R语言中的时间序列分析模型:ARIMA-ARCH / GARCH模型分析股票价格
R语言用Garch模型和回归模型对股票价格分析
GARCH(1,1),MA以及历史模拟法的VaR比较
matlab估计arma garch 条件均值和方差模型