leetcode144-二叉树的前序遍历

104 阅读2分钟

1、问题描述

  给你二叉树的根节点 root ,返回它节点值的 前序 遍历。

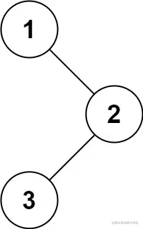
  示例1:

img

输入:root = [1,null,2,3]
输出:[1,2,3]

  示例2:

输入:root = []
输出:[]

  示例3:

输入:root = [1]
输出:[1]

  示例4:

img

输入:root = [1,2]
输出:[1,2]

  示例5:

img

输入:root = [1,null,2]
输出:[1,2]

提示:

  • 树中节点数目在范围 [0, 100]
  • -100 <= Node.val <= 100

2、递归解法

  首先我们需要了解什么是二叉树的前序遍历:按照访问根节点——左子树——右子树的方式遍历这棵树,而在访问左子树或者右子树的时候,我们按照同样的方式遍历,直到遍历完整棵树。因此整个遍历过程天然具有递归的性质,我们可以直接用递归函数来模拟这一过程。

  定义 preorder(root) 表示当前遍历到 root 节点的答案。按照定义,我们只要首先将 root 节点的值加入答案,然后递归调用 preorder(root.left) 来遍历 root 节点的左子树,最后递归调用 preorder(root.right) 来遍历 root 节点的右子树即可,递归终止的条件为碰到空节点。

  代码如下:

package leetcode1;

import java.util.ArrayList;
import java.util.LinkedList;
import java.util.List;
import java.util.Stack;

//二叉树的中序遍历
public class TreeNode {
    int val;
    TreeNode left;
    TreeNode right;
    public TreeNode() {
    }
    public TreeNode(int val) {
        this.val = val;
    }
    public TreeNode(int val, TreeNode left, TreeNode right) {
        this.val = val;
        this.left = left;
        this.right = right;
    }
}

public List<Integer> preorderTraversal(TreeNode root){
        ArrayList<Integer> treeNodes = new ArrayList<>();
        preorder(root,treeNodes);
        return treeNodes;
    }
    public void preorder(TreeNode root,List<Integer> res ){
        if(root==null){
            return;
        }
        res.add(root.val);
        preorder(root.left,res);
        preorder(root.right,res);

}

  测试代码:

 public static void main(String[] args) {
        TreeNode t1 = new TreeNode(1);
        TreeNode t2 = new TreeNode(2);
        TreeNode t3 = new TreeNode(3);
        t1.right=t2;
        t2.left=t3;
        LeetCode144 code144 = new LeetCode144();
        List<Integer> list = code144.preorderTraversal(t1);
        System.out.println(list);
    }

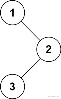
img

  上图的前序遍历结果如下:

image-20221027150946822

image.png

  复杂度分析

  • 时间复杂度:O(n),其中n是二叉树的节点数。每一个节点恰好被遍历一次。

  • 空间复杂度:O(n),为递归过程中栈的开销,平均情况下为 O(logn),最坏情况下树呈现链状,为 O(n)