解:
(1)对样本数据集做统计:
| 天气 | 气温 | 湿度 | 风 | 打网球 | |||||||||
|---|---|---|---|---|---|---|---|---|---|---|---|---|---|
| P | N | P | N | P | N | P | N | P | N | ||||
| 晴 | 1/6 | 3/4 | 热 | 1/6 | 2/4 | 高 | 2/6 | 3/4 | 无 | 5/6 | 2/4 | 6/10 | 4/10 |
| 多云 | 2/6 | 0/4 | 适中 | 2/6 | 1/4 | 正常 | 4/6 | 1/4 | 有 | 1/6 | 2/4 | ||
| 雨 | 3/6 | 1/4 | 冷 | 3/6 | 1/4 |
模型:X = x1 ∩ x2 ∩ x3 ∩ x4
E对应决策依据中的取值
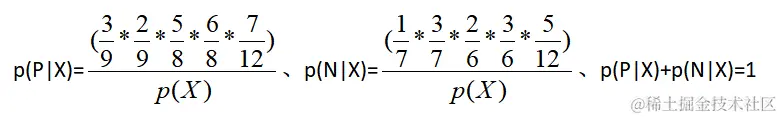
决策:判断p(C=P|X)、p(C=N|X)谁大
根据贝叶斯公式
p(C|X)=
P(P|X)==
(2)
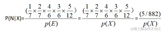
①对编号为11的测试集进行计算:
| 晴 | 适中 | 正常 | 有 |
|---|---|---|---|
| 天气 | 气温 | 湿度 | 风 | 打网球 | |||||||||
|---|---|---|---|---|---|---|---|---|---|---|---|---|---|
| P | N | P | N | P | N | P | N | P | N | ||||
| 晴 | 1/6 | 3/4 | 热 | 1/6 | 2/4 | 高 | 2/6 | 3/4 | 无 | 5/6 | 2/4 | 6/10 | 4/10 |
| 多云 | 2/6 | 0/4 | 适中 | 2/6 | 1/4 | 正常 | 4/6 | 1/4 | 有 | 1/6 | 2/4 | ||
| 雨 | 3/6 | 1/4 | 冷 | 3/6 | 1/4 |
同理:
| 天气 | 气温 | 湿度 | 风 | 打网球 | |||||||||
|---|---|---|---|---|---|---|---|---|---|---|---|---|---|
| P | N | P | N | P | N | P | N | P | N | ||||
| 晴 | 1/6 | 3/4 | 热 | 1/6 | 2/4 | 高 | 2/6 | 3/4 | 无 | 5/6 | 2/4 | 6/10 | 4/10 |
| 多云 | 2/6 | 0/4 | 适中 | 2/6 | 1/4 | 正常 | 4/6 | 1/4 | 有 | 1/6 | 2/4 | ||
| 雨 | 3/6 | 1/4 | 冷 | 3/6 | 1/4 |
利用公式p(N|X)+p(P|X)=1,解得p(P|X)=28.3% 、p(N|X)=71.7%
决策:p(N|X)>p(P|X) ,故在天气为晴、气温为适中、湿度为正常、有风的情况下不去打网球。
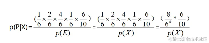
②对编号为12的测试集进行计算:
| 多云 | 适中 | 高 | 有 |
|---|---|---|---|
多云情况下,存在p(多云|N)=0,加入普拉平滑分子得行的数据表如下:
| 天气 | 气温 | 湿度 | 风 | 打网球 | |||||||||
|---|---|---|---|---|---|---|---|---|---|---|---|---|---|
| P | N | P | N | P | N | P | N | P | N | ||||
| 晴 | 2/9 | 4/7 | 热 | 2/9 | 3/7 | 高 | 3/8 | 4/6 | 无 | 6/8 | 3/6 | 7/12 | 5/12 |
| 多云 | 3/9 | 1/7 | 适中 | 3/9 | 2/7 | 正常 | 5/8 | 2/6 | 有 | 2/8 | 3/6 | ||
| 雨 | 4/9 | 2/7 | 冷 | 4/9 | 2/7 |
接着计算p(N|X):
因为p(多云|N)=0会导致整个概率为0,这是由于训练量不足,令分类器质量大大降低,所以需要加入普拉斯平滑分子+1,更新分母),更新概率如下表:
| 天气 | 气温 | 湿度 | 风 | 打网球 | |||||||||
|---|---|---|---|---|---|---|---|---|---|---|---|---|---|
| P | N | P | N | P | N | P | N | P | N | ||||
| 晴 | 2/9 | 4/7 | 热 | 2/9 | 3/7 | 高 | 3/8 | 4/6 | 无 | 6/8 | 3/6 | 7/12 | 5/12 |
| 多云 | 3/9 | 1/7 | 适中 | 3/9 | 2/7 | 正常 | 5/8 | 2/6 | 有 | 2/8 | 3/6 | ||
| 雨 | 4/9 | 2/7 | 冷 | 4/9 | 2/7 |
利用公式p(N|X)+p(P|X)=1,解得p(P|X)=51.8% 、p(N|X)=48.2%
决策:p(N|X)>p(P|X) ,故在天气为多云、气温为适中、湿度为高、无风的情况下会去打网球。
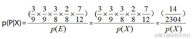
③对编号为13的测试集进行计算:
| 多云 | 热 | 正常 | 无 |
|---|---|---|---|
| 天气 | 气温 | 湿度 | 风 | 打网球 | |||||||||
|---|---|---|---|---|---|---|---|---|---|---|---|---|---|
| P | N | P | N | P | N | P | N | P | N | ||||
| 晴 | 2/9 | 4/7 | 热 | 2/9 | 3/7 | 高 | 3/8 | 4/6 | 无 | 6/8 | 3/6 | 7/12 | 5/12 |
| 多云 | 3/9 | 1/7 | 适中 | 3/9 | 2/7 | 正常 | 5/8 | 2/6 | 有 | 2/8 | 3/6 | ||
| 雨 | 4/9 | 2/7 | 冷 | 4/9 | 2/7 |
与①、②同理可求:
解得p(P|X)= 82.7%、p(N|X)=17.3%
决策:p(N|X) p(P|X) ,故在天气为多云、气温为热、湿度为正常、无风的情况下会去打网球。
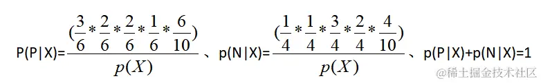
④对编号为14的测试集进行计算:
| 雨 | 适中 | 高 | 有 |
|---|---|---|---|
| 天气 | 气温 | 湿度 | 风 | 打网球 | |||||||||
|---|---|---|---|---|---|---|---|---|---|---|---|---|---|
| P | N | P | N | P | N | P | N | P | N | ||||
| 晴 | 1/6 | 3/4 | 热 | 1/6 | 2/4 | 高 | 2/6 | 3/4 | 无 | 5/6 | 2/4 | 6/10 | 4/10 |
| 多云 | 2/6 | 0/4 | 适中 | 2/6 | 1/4 | 正常 | 4/6 | 1/4 | 有 | 1/6 | 2/4 | ||
| 雨 | 3/6 | 1/4 | 冷 | 3/6 | 1/4 |
解得p(P|X)=37.2%、p(N|X)=62.8%
决策:p(N|X) p(P|X) ,故在天气为雨、气温为适中、湿度为高、无风的情况下不会去打网球。