一图胜千言系列——泳道图和数据流图

5,070 阅读10分钟

一张图片胜过千言万语

在阅读别人的程序设计文档时,我们经常可以看到各种各样的图,常见的分别是统一建模语言(UML)系统建模语言(SysML)流程图(Flow Chart)数据流图 (Data Flow Diagram)

本文将介绍方案设计和程序设计过程中常遇到两种图的类型:【泳道图】和【数据流图】,并通过一个【前端灰度方案】来进行一个实践。

系列文章:一图胜千言系列——流程图和时序图

泳道图

泳道图(Swimlane Diagram),也叫跨职能流程图,旨在分析和展示各个部门在同一任务流程上的不同进程,明确流程环节所属的阶段、流程环节负责人、组织机构或部门。泳道图的名称由来,是流程图中对职能部门的划分像游泳池泳道相类似比拟而来。

说明: 泳道图(跨职能流程图)有垂直和水平两种表现方式。我们可以用垂直或者水平跨职能流程图展示任意跨职能流程。

常见符号

泳道图的符号比流程图的要多出以下几种。

swimlane-symbol.jpg

基本结构

swimlane-structure.jpg 从上图可以形象地看出,一个大泳池里面存放了3个泳道,每个泳道拥有自己的内容。这就是泳道图。

基本原则

  1. 分析功能的关键逻辑。 确定涉及的所有人员和部门;确定每个人扮演的角色,承担什么任务,梳理参与者的关系;要完成的任务,以及任务流程。
  2. 明确开始与结束的路径。 每个功能模块中,从哪里开始流程,到哪里终结流程;开始与结束只有一个。
  3. 确定功能模块与核心路径。 核心流向一定要清晰。
  4. 优化顺序,合并异常流程。 确保流程顺畅,各部门工作协调。
  5. 合并和拆分流程有依据。 先复杂后简单,先加法后减法;调研相关产品,合并、分拆有理有据。
  6. 垂直排版更加强调职能单位,而水平排版则更突显过程。 排版方式的选择通常由个人兴趣决定,而不是严格要求或指导原则。

基本步骤

  1. 创建水平泳道时,将参与者列在左边;创建垂直泳道则将参与者列在上边。
  2. 使用标准的符号,在单个泳道上依次描述流程步骤。
  3. 与过程中的参与者确认我们的图,并做任何必要的调整。
  4. 这张图现在可以用来传达一个标准化的流程,明确责任和义务。
  5. 重复 2-4,直到所有参与者的流程都出现在泳池中,就基本完成了泳道图。
  6. 根据目的审查和修改流程图:优化发散场景,补全遗落内容,进一步提高图的完成度。

绘制细节

在绘制时,往往会犯这些常见错误。遵循下边绘制细节,我们可以在一定程度上保证图表的质量。

  1. 尽可能保持图表小而集中。仅包括实际参与流程并使用不超过 12 个泳道。
  2. 编写步骤时要直接简洁。坚持短语和句子片段,如果我们要使用专业术语,请在文档下添加注释以定义它们。
  3. 在同一泳道中连接步骤时,步骤应按顺序(从上到下,从左到右)列出,并且仍应使用线或箭头连接。
  4. 使用颜色更好地区分部门或个人,可以让图表更易于理解。可以添加一些用来补充说明的图标和图形,但要控制好数量。
  5. 不断分析泳道图,删除掉流程中存在的差距、冗余和瓶颈。

数据流程图

数据流程图(Data Flow Diagram,DFD)是描述系统数据流程的工具,它将数据独立抽象出来,通过图形方式描述信息的来龙去脉和实际流程。它是一种能全面地描述信息系统逻辑模型的主要工具。它可以利用少数几种符号综合的反映出信息在系统中的流动、处理和存储的情况。数据流程图具有抽象性和概括性。

注意:数据流图和程序设计中的程序流程图是不同的,数据流图关心的是企业业务系统中的数据处理加工的客观过程,并不关心未来电子化处理的加工过程;数据流图中流动的只是数据,并没有控制过程,但在程序流程图当中,必须有控制逻辑。

常见符号

dfd-symbol.jpg

  • 外部实体是向系统提供数据或从系统接收输出的人、部门、外部组织或其他信息系统。
  • 数据加工描述输入数据流到输出数据之间的变换,也就是输入数据流经过什么处理后变成了输出数据。
  • 数据存储是某种数据保存后的逻辑统称,不是指保存数据的物理地点和物理介质。每个数据存储都有一个名字。
  • 数据流是处理功能的输入/输出,箭头表示数据流向。

基本结构

dfd-structure.jpg

基本原则

  1. 数据流程图上所有图形符号必须是前面所述的四种基本元素。
  2. 数据流程图的主图必须含有前面所述的四种基本元素,缺一不可。
  3. 数据流程图上的数据流必须封闭在外部实体之间,外部实体可以是一个,也可以是多个。
  4. 处理过程至少有一个输入数据流和一个输出数据流。
  5. 任何一个数据流子图必须与它的父图上的一个处理过程对应,两者的输入数据流和输出数据流必须一致,即所谓“平衡”。
  6. 数据流程图上的每个元素都必须有名字。

基本步骤

  1. 把一个系统看成一个整体功能,明确信息的输入和输出。
  2. 找到系统的外部实体。一旦找到外部实体,则系统与外部世界的界面就可以确定下来,系统的数据流的源点和终点也就找到了。
  3. 找出外部实体的输入数据流和输出数据流。
  4. 在图的边上画出系统的外部实体。
  5. 从外部实体的输入流(源)出发,按照系统的逻辑需要,逐步画出一系列逻辑处理过程,直至找到外部实体处理所需的输出流,形成数据流的封闭。
  6. 将系统内部数据处理又分别看做整体功能,其内部又有信息的处理、传递、存储过程。
  7. 如此一级一级地剖析,直到所有处理步骤都很具体为止。
  8. 根据目的审查和修改流程图:优化发散场景,补全遗落内容,进一步提高图的完成度。

绘制细节

在绘制时,往往会犯这些常见错误。遵循下边绘制细节,我们可以在一定程度上保证图表的质量。

  1. 画数据流而不是控制流。数据流反映系统“做什么”,不反映“如何做”,因此箭头上的数据流名称只能是名词或名词短语,整个图中不反映加工的执行顺序。
  2. 一般不画物质流。数据流反映能用计算机处理的数据,并不是实物,因此对目标系统的数据流图一般不要画物质流。
  3. 如果一张数据流图中的某个加工分解成另一张数据流图时,则上层图为父图,直接下层图为子图。子图及其所有的加工都应该进行编号。
  4. 父图与子图的平衡。子图是对父图中处理逻辑的详细描述, 因此父图中数据的输入和输出必须在子图中反映。父图与子图的平衡是数据流守恒原则的体现, 即对每一个数据处理功能来说,要保证分解前后的输入数据流与输出数据流的数目保持不变。
  5. 当某层数据流图中的数据存储不是父图中相应加工的外部接口,而只是本图中某些加工之间的数据接口,则称这些数据存储为局部数据存储。
  6. 数据流程图的绘制一般是从左到右进行。从左侧开始标出外部实体,然后画出由外部实体产生的数据流,再画出处理逻辑、数据流、数据存储等元素及其相互关系,最后在流程图的右侧画出接收信息的系统外部实体。
  7. 每个加工至少有一个输入数据流和一个输出数据流。
  8. 一个加工的输出数据流,不应与输入数据流同名,即使他们的组成完全相同。
  9. 合理命名,准确编号。对数据流程图的基本元素进行编号, 这样有利于编写数据字典及方便系统设计人员和用户的阅读与理解。
  10. 数据处理输入/输出协调。只有流入没有流出,则数据处理无需存在;只有流出没有流入的数据处理不可能满足。
  11. 数据存储输入/输出协调。数据存储必定有输入数据流和输出数据流,缺少任何一个则意味着遗漏了某些加工。
  12. 数据流至少有一端连接处理框。外部实体之间不应该存在数据流,数据流不能直接从外部实体直接传送到数据存储,也不能从数据存储直接传送到外部实体,都必须经过加工处理 。
错误正确画法原因
04-dfd-wrong-example-01.png05-dfd-right-example-01.png没有经由程序处理,实体不能将数据传送至另一个实体。
06-dfd-wrong-example-02.png07-dfd-right-example-02.png没有经由程序处理,数据不能直接从实体传送到数据存储。
08-dfd-wrong-example-03.png09-dfd-right-example-03.png没有经由程序处理,数据不能直接从数据存储传送至实体。
10-dfd-wrong-example-04.png11-dfd-right-example-04.png没有经由程序处理,数据不能直接从一个数据存储传送到另一个数据存储。

实践:灰度发布方案

我们需要一个方案:在不影响用户正常使用工作的前提下,引入小部分的用户来使用新版本,帮助我们测试用户对于新版本的接受程度;避免决策失误所产生的问题影响到大部分甚至全量用户,保证了产品平滑过度。

场景梳理

首先梳理场景流程,这里有个问题需要考虑:从什么视角去梳理?因为不同的人看到的流程是不一样的。

答案:取决于需要解决什么问题,因为我们要管理用户可以使用系统的版本,所以从用户视角出发是一个合适的选择。梳理完出发点后

泳道图

遵循【基本步骤】,我们可以进行一个泳道图的绘制。

swimlane-example.jpg

从上图不难看出,系统中的三个参与者(开发、运维、用户)都有各自明确的流程,相互之间的交互也有体现。

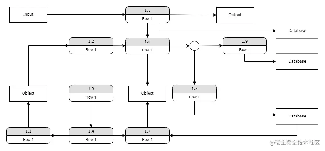
数据流图

遵循【基本步骤】,我们可以进行一个数据流图的绘制。

dfd-example.jpg

从上图中不难看出,数据流图是用来表现各个系统/模块间数据的流向:在什么环节需要输入怎么样的数据,经过什么样的加工,获取的数据最终流向哪里。

总结

各种图的绘制都是需要在平常中不断练习、打磨,这样才能有成长。