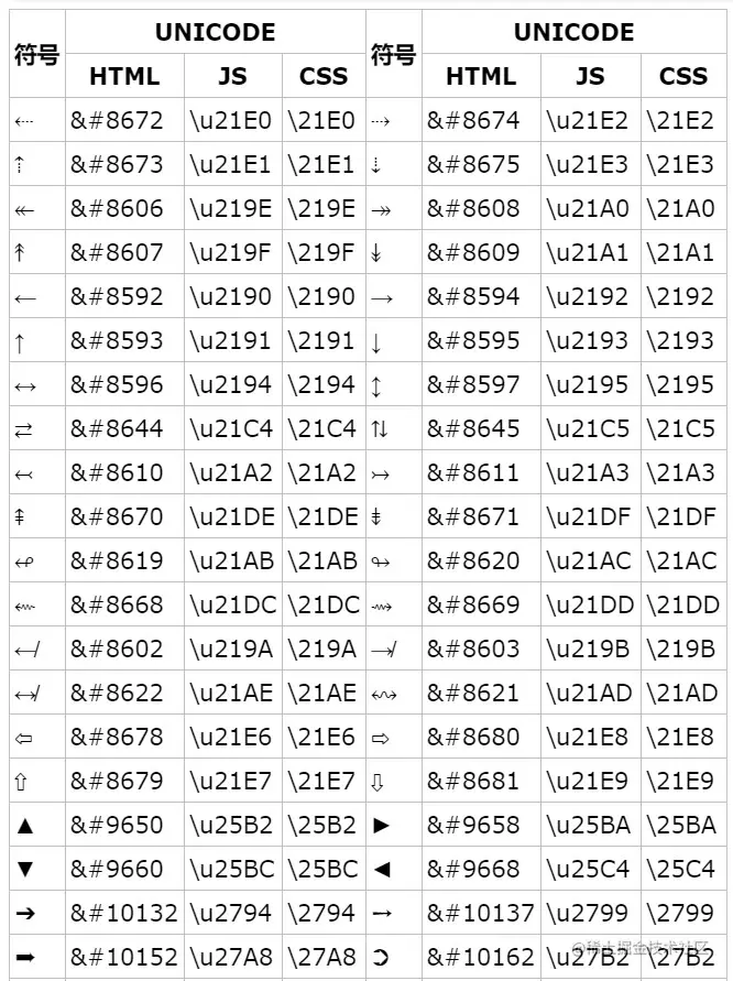
::before和::after 伪元素图标code

141 阅读1分钟

1194576-20180717125748808-47788622.jpg

1194576-20180717125803466-1641124497.jpg

1194576-20180717125812262-11650678.jpg

1194576-20180717125826087-962214625.jpg

1194576-20180717125832740-2014780600.jpg

1194576-20180717125838873-1295444755.jpg

1194576-20180717125847781-191074989.jpg

1194576-20180717125853280-78350838.jpg

1194576-20180717125904060-519735032.jpg

1194576-20180717125915373-240593613.jpg