基于异构多图神经网络的人体移动轮廓预测救护车需求

203 阅读9分钟

Background Knowledge

image.png

摘要

预测区域救护车需求在动态车队分配和重新部署中起着重要作用。这个问题越来越重要,因为几乎每个国家都在经历人口老龄化,普遍具有更高的脆弱性和对紧急医疗服务(EMS)的需求。尽管探索了EMS历史记录中的空间和时间相关性,但现有方法主要考虑前者的时不变性,现实中不一定成立。此外,这种假设忽略了一个事实,即幕后变化的是人,他们的人口概况和活动模式可能是区域 EMS 需求的决定因素。因此,在本文中,我们有动力挖掘人类流动性中的集体日常生活,以进一步表示不断变化的空间相关性。特别是,我们将异形移动组建模为多个随机游走者,并提出了一种新颖的双组件神经网络,包括异构多图卷积层和时空交错注意模块,以执行预测任务。真实世界数据的实验结果验证了引入动态人员移动性的有效性以及我们的方法相对于最先进模型的优势

1 INTRODUCTION

现阶段研究仍有三大短板

  • 正在探索的所有类型的空间相关性主要被认为是预先确定的和时不变的。实际上,它们可能会在一天中的不同时间出现。例如,白天触发商业区内的关联,而夜晚则激活夜生活区内的关联。

  • 人们在产生需求方面所扮演的重要的幕后角色被忽视了。此外,具有不同人口统计资料的人可能有不同程度的需求。在EMS需求的情况下,年龄已被证明是一个不可忽视的因素。

  • 当前多重空间表示的融合策略过于简单,无法完全揭示每个元素的隐藏贡献。

2 PRELIMINARIES

image.png

定义1:时间和空间粒度

  • 在时间上,我们将时间线离散化为一组连续的时间片(例如,1小时是救护车需求预测的行业标准), 表示为T\mathbb{T} = {htt(1,2,...,T)ht|t ∈ (1, 2, ..., \mathcal{T} )}
  • 在空间上,我们不将城市区域分割成规则的网格,而是直接采用一定的行政边界(例如救护车调度区)进行划分,以方便实际部署时的决策。这些划分的区域表示为集合 V\mathbb{V} = {vii(1,2,...,V)v^i |i ∈ (1, 2, ..., \mathcal{V})}。

定义2:救护车需求
给定时间片hth_t,区域viv_i的救护车需求 XtiX^i_t定义为接收到的救护车服务(或等效的 EMS)请求总数。我们使用向量XtRVX_t ∈ \mathbb{R} ^\mathcal{V}来表示hth_t的全市救护车需求。

定义3:人群转移张量
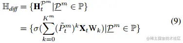
我们采用定义明确的起源-目的地(OD)矩阵PtRV×VP_t∈\mathbb{R}^{\mathcal{V}×\mathcal{V}}来表示在时间片ht的每一对区域vi,vjV(v_i,v_j)∈\mathbb{V}之间的全市人群转换。考虑到人群流动的可预测性和周期性,我们将OD矩阵扩展为三维情况PRV×V×ρ\underline{\mathcal{P}}∈\mathbb{R}^{\mathcal{V}×\mathcal{V}×\mathcal{ρ}},即人群过渡张量,以描述OD矩阵的周期性序列。 ρρ可以根据人类活动的普遍感知周期来设定,如一天或一周。

定义4:全市异构多图
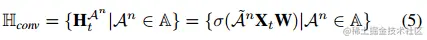
考虑到空间集V\mathbb{V}中空间相关性的多样性和异质性,我们将分区的大都市区表示为全市异构多图GH=(V,E)\mathcal{G}_H = (\mathbb{V}, \mathbb{E}),其中V\mathbb{V}E\mathbb{E}分别表示顶点和多条边。 E\mathbb{E}可以进一步表示为两个集合E=AP\mathbb{E} = \mathbb{A} ∪ \mathbb{P} = {EqEqAEqP\mathcal{E}_q|\mathcal{E}_q ∈ \mathbb{A} ∨ \mathcal{E}_q ∈ \mathbb{P}}的并集,其中集合A\mathbb{A} = {AnRV×Vn(1,2,...,N)\mathcal{A}^n ∈ \mathbb{R}^{\mathcal{V}×\mathcal{V}} |n ∈ (1, 2, ... , N)}包含A=N|\mathbb{A}| = N种静态无向边,集合P\mathbb{P} = {PRV×V×ρm(1,2,...,M)\underline{\mathcal{P}}∈ \mathbb{R}^{\mathcal{V}×\mathcal{V}×\mathcal{ρ}}|m ∈ (1, 2, ..., M)}包含P=M|\mathbb{P}| = M种进化的有向边。

问题表述:
给定一组关于全市救护车需求的历史观察数据Xinput\mathbb{X}_{input} = {XtτRVτ(1,2,...,l)X_{t-τ} ∈ \mathbb{R}^\mathcal{V} |τ ∈ (1, 2, ..., l)},利用全市异构多图GH\mathcal{G}_H的知识,救护车需求预测问题旨在预测时间片hth_t的需求XtX_t

image.png

3 方法论

在本节中,我们详细阐述了我们提出的双组件神经网络的技术细节,它由一个异构多图卷积层 (HMGCL) 和一个时空交错注意模块 (STIAM) 组成。

A 多级时间输入

区域救护车需求(在 1 小时的时间片内)在短期和周期性(例如每天、每周)观察中表现出很强的(统计上显着的)自相关性。因此,类似于之前的做法,我们明确地利用历史记录中的最新、每日和每周观察作为输入来表示这种多级时间依赖性。因此,公式 1 的输入集可以重写为三个时间集的并集。 image.png
其中 ddww表示一天和一周的时间片数(例如在 1 小时时间片时,dd= 24,ww= 24×7)。为了简单起见,我们使用元组 (ls,ld,lw)(l_s, l_d, l_w) 来表示每个相应子集的基数(其中l=ls+ld+lwl = l_s + l_d + l_w)。

B 异构多图卷积层

除了多层次的历史观察,城市范围内的异构多图 GH 也作为输入的一部分给出,其中包含丰富的空间和上下文信息。 为了解决多重和异构空间相关性,我们因此提出了一个异构多图卷积层(图 5 中的 HMGCL)。具体来说,HMGCL 能够分别使用图卷积网络 (GCN) 和专门设计的扩散卷积块 (DC-Block) 同时处理时不变和时变空间依赖性。

GCN

Kipf 和 Welling 提出了一种简化的 GCN 形式。这个卷积层定义为: image.png

值得注意的是,输入图的拓扑信息(例如等式 4 中的 A) 是固定的并且始终以对称方式表示,这隐含地接受了一个事实,即从节点viv_i到另一个节点vjv_j等价于一个从节点vjv_j回到节点viv_i,其中 (vi,vj)V(v_i , v_j) ∈ \mathbb{V}。因此,我们采用这种类型的 GCN(为简单起见使用等式 4)来处理表示的静态和无向空间相关性通过全市异构图GH=(V,AP)\mathcal{G}_H = (\mathbb{V}, \mathbb{A} ∪ \mathbb{P}) 中的边子集 A。关于具体的需求观察, 将特定时间片hth_t 的需求观测作为输入特征,对每个边分量AnAA^n ∈ A进行卷积:
image.png

然而,另一部分异构边集P\mathbb{P}还有两个问题需要解决:

  • 有向边不同方向不等价
  • 不断变化的网络(即边 PtP_t 随着时间函数 Pt=f(ht)P_t = f(h_t) 变化)。

扩散卷积块

扩散卷积块(Diffusion Convolution Block):扩散卷积最初由Atwood和Towsley提出,用于对图信号的随机转移过程进行建模,后来由Li等扩展,与门控循环单元(Gated Recurrent Unit, GRU)结合,用于有向路网的交通预测。从本质上讲,扩散过程基于随机矩阵(以类似的方式应用于马尔可夫链),因此从空间角度可以将其归类为一种传导图卷积。在形式上
image.png
其中,HRU×1XRV×1H∈\mathbb{R}^{\mathcal{U}×1},X∈\mathbb{R}^{\mathcal{V}×1}WkRV×UW_k∈\mathbb{R}^{\mathcal{V}×\mathcal{U}}表示操作中提取的隐藏表示、输入特征向量和可训练参数矩阵;σσ代表非线性激活函数;P~RV×V\widetilde{P}∈\mathbb{R}^{\mathcal{V}×\mathcal{V}}代表右随机矩阵,可由P~=D1P\widetilde{P}=D^{-1}P得出。

虽然与方程3中的ChebNet有一些相似之处,但扩散卷积在两个方面有区别。

  • 它不是以对称的方式表示图的拓扑结构,而是认为节点之间的信息传播规则遵循P~\widetilde{P}上的随机移动,这不一定是一个对称的矩阵。因此,这种观点可以反向边不等同的情况。
  • 方程6中的KK在空间上可解释为随机行走过程的最大扩散步骤。

image.png

然后,我们实现一个时间戳查询,它以时间片hth_t作为输入并返回相应的 OD 矩阵 PtP_t。 本质上,考虑到人类流动的可预测性和周期性,我们将Pt=f(ht)P_t = f(h_t) 描述为周期为 ρ 的周期函数,写为:

image.png

image.png
在这个等式中,KmK_m 可以解释为在一个时间片内具有索引mm的特定人口群体的最大扩散步骤。通过这种方式,我们将不同人口群体的人类流动性建模为多个随机游走者,并且可以调整每个群体的 Km 以在概念上代表人类活动强度的差异(例如让Ksenior=2Kworkingage=3K^{senior} = 2 和 K^{working-age} = 3)。值得注意的是,这里的激活函数 σ 被设置为 LeakyReLULeakyReLU,特别是为了模仿多头注意力结构 [24],如图 6 左侧所示。此外,在顶部实现了一个批量归一化层来结束这个扩散卷积块(DC-Block).

image.png

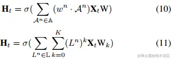
多重表示融合策略

image.png
为了充分利用多重空间和多级时间表示,我们提出了一种更全面和可解释的方法来执行任务,这将在下一节中进行描述。基于等式 10 和 11 的简单融合策略也被用作实验中的基本方法。

C 时空交错注意模块

将静态边缘分量A\mathbb{A}和动态边缘分量P\mathbb{P}并行传递,我们得到一组隐藏的时空表示H\mathbb{H}(其中 H=l(N+M))|\mathbb{H}| = l · (N + M)).
image.png

在这个阶段,任务归结为寻找集合H\mathbb{H}的代表性融合。为了以优雅的方式实现这一点,我们利用最初为机器翻译任务提出的注意力机制来构建一个创新的时空交错注意模块(STIAM)。具体来说,STIAM 具有两步层次结构,以交错的方式从空间和时间的角度系统地总结集合H\mathbb{H}中的表示。

  • 第一阶段
    我们以两种方式组织元素HtτEqHH^{\mathcal{E}_q}_{t−τ}∈\mathbb{H}:(1)按相同的时间下标但不同的空间上标分组(图 6 左侧); (2) 按相同的空间上标但不同的时间下标分组(图 6 右侧)。然后,我们分别实现了基于每种分组方法的注意力机制。特别是,前者被表述为空间注意力,因为它本质上是合成多图的表示,而后者被表述为时间注意力,因为它本质上是合成时间序列的表示。因此,第一阶段的空间注意力(方程式 13)和时间注意力(方程式 14)被表述为:

image.png

  • 第二阶段
    我们对H(S)\mathbb{H}^{(S)}(公式 15)应用时间注意力,对H(T)\mathbb{H}^{(T)}(公式 16)应用空间注意力。

image.png

本质上,STIAM 提供了两种视图来组织和融合时空集 H。等式13和等式15在空间上连续然后在时间上将表示集H\mathbb{H}压缩为H(ST)\mathbb{H}^{(ST)} ;等式14和等式16在时间上连续然后在空间上将表示集H\mathbb{H}压缩为H(TS)\mathbb{H}^{(TS)}。在最后一步,我们将这两个视图组合在一个全连接层中以进行输出。
image.png

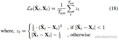
D 优化

image.png
在上面的等式中,θθ 表示框架中所有可训练的参数;Ttest\mathcal{T}_{test}表示测试集的大小。