R语言多元(多变量)GARCH :GO-GARCH、BEKK、DCC-GARCH和CCC-GARCH模型和可视化|附代码数据

297 阅读5分钟

全文链接:tecdat.cn/?p=30647

最近我们被客户要求撰写关于GARCH 的研究报告,包括一些图形和统计输出。

从Engle在1982发表自回归条件异方差(ARCH)模型的论文以来,金融时间序列数据的波动性就倍受关注。同时,近几年又出现了研究股票市场的波动传递性

多市场的多维广义自回归条件异方差模型及其在不同条件下的扩展与变形,它们不仅包含了单变量的波动特性,而且很好的描述了不同变量间的相互关系。所以,多维GARCH模型为分析金融市场的相互影响提供了有力的工具。

我们围绕多变量GARCH技术进行一些咨询,帮助客户解决独特的业务问题。本文涉及多变量GARCH模型的构建。为此,请考虑以下模型

  • BEKK
  • CCC-GARCH 和 DCC-GARCH
  • GO-GARCH

BEKK

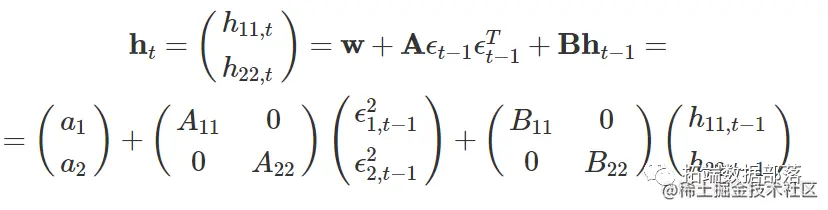
BEKK(1,1)具有以下形式:

图片

下图显示了具有上述参数的模拟序列:

图片

BEKK 模型的调整通常计算成本很高,因为它们需要估计大量参数。在本节中,我们将使用该包来估计上一节中模拟多变量序列的参数。
对于 BEKK 模型(1,1) 的调整,我们使用以下语法

fit.bek.m<-BE(matsim)

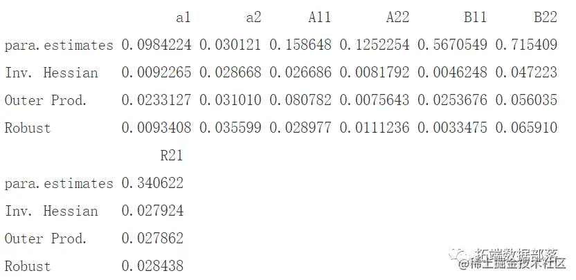
估计数由以下公式给出:

图片

CCC-GARCH和DCC-GARCH

图片

c.H1<-eccc.sim(nobs=1000, c.a1, c.A1, c.B1, c.R1, d.f=5, model="diagonal")

#'h'模拟条件方差的矩阵(T × N )
#'eps'是模拟的时间序列与(E)CCC-GARCH过程的矩阵(T × N )
plot.ts(c.H1$eps, main = "Processos simulados")

图片

图片

对于模拟过程,我们将使用相同的包估计参数,函数 .我们有两个模拟序列,然后我们假设它们遵循 CCC-GARCH(1,1) 以下过程

图片

估算结果为:

图片

图片

DCC-GARCH

DCC-GARCH 模型是 CCC-GARCH 情况的推广,也就是说,我们有 R matris 不一定是固定的,也就是说它随时间变化:

图片

模拟示例

为了模拟 DCC-GARCH 过程,我们考虑比较性能。

obs=1000, d.a1, d.A1, d.B1, d.R1, dcc.para=c(d.alpha1,d.beta1), d.f=5, model="diagonal")

图片

图片

图片


点击标题查阅往期内容

图片

MATLAB用GARCH-EVT-Copula极值理论模型VaR预测分析股票投资组合

图片

左右滑动查看更多

图片

01

图片

02

图片

03

图片

04

图片

ccgarch

与CCC-GARCH的情况一样,我们将使用以下初始量进行迭代过程

图片

estimation(inia=d.w0,iniA=d.A0,iniB=d.B0,ini.dcc=d.w0,model="diagonal",dvar=d.H1$eps)

图片

图片

结果如下:

图片

rmgarch

拟合模型的结果如下:

图片

DCC-GARCH模型

最初,仅实现 DCC 模型(1,1)。

图片

图片

模拟模型平差的结果如下所示:

图片

图片

CCC-GARCH和DCC-GARCH模型的结论

我们在 CCC-GARCH 和 DCC-GARCH 示例中都看到,该软件包没有对模拟模型的参数提供令人满意的估计值。

GO-GARCH

在GO-GARCH模型中,我们对构建协方差矩阵的正交分解感兴趣

图片

模拟

图片

给出的矩阵M由下式给出:

图片

我们将得到:

gog.rt<-t(M%*%t(bt))

gogarch

图片

rmgarch

让我们首先指定流程参数:rmgarch

mean.model=list(model="constant"),distribution.model="mvnorm

图片

图片

根据估计因子构建数据矩阵的不同序列之间的估计关系表面

图片

图片

图片


图片

点击文末 “阅读原文”

获取全文完整代码数据资料。

本文选自《R语言多元(多变量)GARCH :GO-GARCH、BEKK、DCC-GARCH和CCC-GARCH模型和可视化》。

点击标题查阅往期内容

【视频】什么是梯度下降?用线性回归解释和R语言估计GARCH实例
MATLAB用GARCH-EVT-Copula极值理论模型VaR预测分析股票投资组合
R语言使用多元AR-GARCH模型衡量市场风险
R语言GARCH模型对股市sp500收益率bootstrap、滚动估计预测VaR、拟合诊断和蒙特卡罗模拟可视化R语言单变量和多变量(多元)动态条件相关系数DCC-GARCH模型分析股票收益率金融时间序列数据波动率
R语言中的时间序列分析模型:ARIMA-ARCH / GARCH模型分析股票价格
GARCH-DCC模型和DCC(MVT)建模估计
R语言预测期货波动率的实现:ARCH与HAR-RV与GARCH,ARFIMA模型比较
ARIMA、GARCH 和 VAR模型估计、预测ts 和 xts格式时间序列
PYTHON用GARCH、离散随机波动率模型DSV模拟估计股票收益时间序列与蒙特卡洛可视化
极值理论 EVT、POT超阈值、GARCH 模型分析股票指数VaR、条件CVaR:多元化投资组合预测风险测度分析
Garch波动率预测的区制转移交易策略
金融时间序列模型ARIMA 和GARCH 在股票市场预测应用
时间序列分析模型:ARIMA-ARCH / GARCH模型分析股票价格
R语言风险价值:ARIMA,GARCH,Delta-normal法滚动估计VaR(Value at Risk)和回测分析股票数据
R语言GARCH建模常用软件包比较、拟合标准普尔SP 500指数波动率时间序列和预测可视化
Python金融时间序列模型ARIMA 和GARCH 在股票市场预测应用
MATLAB用GARCH模型对股票市场收益率时间序列波动的拟合与预测
R语言极值理论 EVT、POT超阈值、GARCH 模型分析股票指数VaR、条件CVaR:多元化投资组合预测风险测度分析
Python 用ARIMA、GARCH模型预测分析股票市场收益率时间序列
R语言中的时间序列分析模型:ARIMA-ARCH / GARCH模型分析股票价格
R语言ARIMA-GARCH波动率模型预测股票市场苹果公司日收益率时间序列
Python使用GARCH,EGARCH,GJR-GARCH模型和蒙特卡洛模拟进行股价预测
R语言时间序列GARCH模型分析股市波动率
R语言ARMA-EGARCH模型、集成预测算法对SPX实际波动率进行预测
matlab实现MCMC的马尔可夫转换ARMA - GARCH模型估计
Python使用GARCH,EGARCH,GJR-GARCH模型和蒙特卡洛模拟进行股价预测
使用R语言对S&P500股票指数进行ARIMA + GARCH交易策略
R语言用多元ARMA,GARCH ,EWMA, ETS,随机波动率SV模型对金融时间序列数据建模
R语言股票市场指数:ARMA-GARCH模型和对数收益率数据探索性分析
R语言多元Copula GARCH 模型时间序列预测
R语言使用多元AR-GARCH模型衡量市场风险
R语言中的时间序列分析模型:ARIMA-ARCH / GARCH模型分析股票价格
R语言用Garch模型和回归模型对股票价格分析
GARCH(1,1),MA以及历史模拟法的VaR比较
matlab估计arma garch 条件均值和方差模型