【算法Day15】二叉树:226.翻转二叉树 101.对称二叉树

85 阅读1分钟

226.翻转二叉树

leetcode链接:226.翻转二叉树

示例 1:

输入: root = [4,2,7,1,3,6,9]
输出: [4,7,2,9,6,3,1]

示例 2:

输入: root = [2,1,3]
输出: [2,3,1]

示例 3:

输入: root = []
输出: []

思路

翻转二叉树,即让二叉树的所有左右子树交换位置。

显然可以使用递归

原二叉树

image.png

翻转左子树

image.png

再翻转右子树

image.png

交换左右子树。

image.png

Java代码

/**
 * Definition for a binary tree node.
 * public class TreeNode {
 *     int val;
 *     TreeNode left;
 *     TreeNode right;
 *     TreeNode() {}
 *     TreeNode(int val) { this.val = val; }
 *     TreeNode(int val, TreeNode left, TreeNode right) {
 *         this.val = val;
 *         this.left = left;
 *         this.right = right;
 *     }
 * }
 */
class Solution {
    public TreeNode invertTree(TreeNode root) {
        // 后序遍历-- 从下向上交换
        if (root == null)  { 
            return null;
            }
        TreeNode leftNode = invertTree(root.left);//翻转左子树
        TreeNode rightNode = invertTree(root.right);//翻转右子树
        //交换左右子树
        root.right = leftNode;
        root.left = rightNode;
        return root;
    }
}

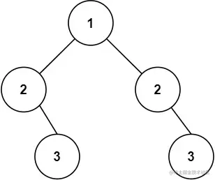
101.对称二叉树

leetcode链接:101.对称二叉树

给你一个二叉树的根节点 root , 检查它是否轴对称。

示例 1:

输入: root = [1,2,2,3,4,4,3]
输出: true

示例 2:

输入: root = [1,2,2,null,3,null,3]
输出: false

思路

本题也可以使用递归

Java代码

/**
 * Definition for a binary tree node.
 * public class TreeNode {
 *     int val;
 *     TreeNode left;
 *     TreeNode right;
 *     TreeNode() {}
 *     TreeNode(int val) { this.val = val; }
 *     TreeNode(int val, TreeNode left, TreeNode right) {
 *         this.val = val;
 *         this.left = left;
 *         this.right = right;
 *     }
 * }
 */
class Solution {
    public boolean isSymmetric(TreeNode root) {
        if(root == null) {//空树也是对称的
            return true;
        }
        return issymmetric(root.left,root.right);//判断左右子树是否对称
    }
     //判断两个子树是否对称
     public boolean issymmetric(TreeNode left, TreeNode right) {
        //递归的到底的两种情况
        //1、两棵树都为空 
        if(left == null && right == null) {
            return true;
        }
        //2、只有一棵树为空
        if(left == null || right == null) {
            return false;
        }
        //值相等就递归 看左右子树的左右子树是否对称
        if(left.val == right.val) {
            return issymmetric(left.left, right.right) && issymmetric(left.right, right.left);
        }
        return false;
     }
}