力扣——1971. 寻找图中是否存在路径

103 阅读1分钟

开启掘金成长之旅!这是我参与「掘金日新计划 · 12 月更文挑战」的第34天,点击查看活动详情

力扣——1971. 寻找图中是否存在路径

1971. 寻找图中是否存在路径

有一个具有 n 个顶点的 双向 图,其中每个顶点标记从 0n - 1(包含 0n - 1)。图中的边用一个二维整数数组 edges 表示,其中 edges[i] = [ui, vi] 表示顶点 ui 和顶点 vi 之间的双向边。 每个顶点对由 最多一条 边连接,并且没有顶点存在与自身相连的边。

请你确定是否存在从顶点 source 开始,到顶点 destination 结束的 有效路径

给你数组 edges 和整数 nsourcedestination,如果从 sourcedestination 存在 有效路径 ,则返回 true,否则返回 false

示例 1:

img

输入:n = 3, edges = [[0,1],[1,2],[2,0]], source = 0, destination = 2
输出:true
解释:存在由顶点 0 到顶点 2 的路径:
- 012 
- 02

示例 2:

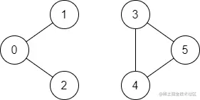
img

输入:n = 6, edges = [[0,1],[0,2],[3,5],[5,4],[4,3]], source = 0, destination = 5
输出:false
解释:不存在由顶点 0 到顶点 5 的路径.

提示:

  • 1 <= n <= 2 * 105
  • 0 <= edges.length <= 2 * 105
  • edges[i].length == 2
  • 0 <= ui, vi <= n - 1
  • ui != vi
  • 0 <= source, destination <= n - 1
  • 不存在重复边
  • 不存在指向顶点自身的边

问题解析

可以看出,如果source和destination直接没有道路,那么它们肯定不在一个连通块里。

反过来,如果它们在一个连通块里,说明它们之间肯定能有一条道路。

那么我们可以用并查集,根据edges数组里的关系将各个点连接起来。

最后判断一下source和destination是不是有同一个fa,如果有,说明它们在同一个连通块,返回true。反之返回false。

AC代码

class Solution {
public:
    int fa[200050];
    int find(int x)
    {
        if(x!=fa[x])
            fa[x]=find(fa[x]);
        return fa[x];
    }
    bool validPath(int n, vector<vector<int>>& edges, int source, int destination) {
        for(int i=0;i<n;i++)fa[i]=i;
        for(auto&i:edges)
        {
            int a=find(i[0]),b=find(i[1]);
            if(a!=b)
            {
                fa[a]=b;
​
            }
        }
        int a=find(source),b=find(destination);
        return a==b;
    }
};