leetcode 797. All Paths From Source to Target(python)

260 阅读1分钟

描述

Given a directed acyclic graph (DAG) of n nodes labeled from 0 to n - 1, find all possible paths from node 0 to node n - 1 and return them in any order. The graph is given as follows: graph[i] is a list of all nodes you can visit from node i (i.e., there is a directed edge from node i to node graph[i][j]).

Example 1:

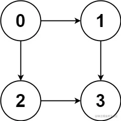
Input: graph = [[1,2],[3],[3],[]]
Output: [[0,1,3],[0,2,3]]
Explanation: There are two paths: 0 -> 1 -> 3 and 0 -> 2 -> 3.

Example 2:

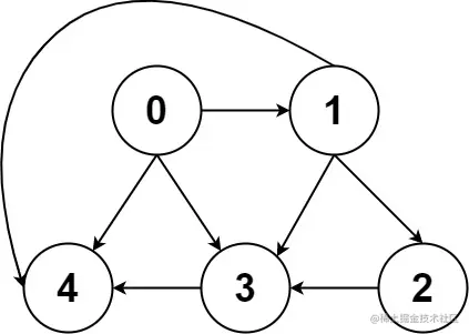
Input: graph = [[4,3,1],[3,2,4],[3],[4],[]]
Output: [[0,4],[0,3,4],[0,1,3,4],[0,1,2,3,4],[0,1,4]]

Note:

  • n == graph.length
  • 2 <= n <= 15
  • 0 <= graph[i][j] < n
  • graph[i][j] != i (i.e., there will be no self-loops).
  • All the elements of graph[i] are unique.
  • The input graph is guaranteed to be a DAG.

解析

根据题意,给定一个由 n 个标记为从 0 到 n - 1 的节点的有向无环图 (DAG),找到从节点 0 到节点 n - 1 的所有可能路径,并按任意顺序返回它们。

其实这道题就是考察 DFS ,直接使用 DFS 从 0 开始到最后一个标签的节点,把所有可能的路线走一遍然后把路线存入结果 resut 中就好了。

时间复杂度为 O(N*2^N) ,因为 DAG 中有 N 个节点,最坏情况下每一个节点都连接一个编号比它大的节点,此时路径数的量级为 O(2^N),每条路径长度最长为 O(N),空间复杂度为 O(N) ,主要是递归栈的开销。

解答

class Solution(object):
    def allPathsSourceTarget(self, graph):
        """
        :type graph: List[List[int]]
        :rtype: List[List[int]]
        """
        result = []
        N = len(graph)
        def dfs(node, L):
            if node == N-1:
                result.append(L)
                return
            for n in graph[node]:
                dfs(n, L+[n])
        dfs(0, [0])
        return result
        

运行结果

Runtime 63 ms,Beats 99.25%
Memory 14.8 MB,Beats 45.48%

原题链接

https://leetcode.com/problems/all-paths-from-source-to-target/description/

您的支持是我最大的动力