LeetCode 324 周赛

323 阅读3分钟

2506. 统计相似字符串对的数目

给你一个下标从 0 开始的字符串数组 words

如果两个字符串由相同的字符组成,则认为这两个字符串 相似

  • 例如,"abca""cba" 相似,因为它们都由字符 'a''b''c' 组成。
  • 然而,"abacba""bcfd" 不相似,因为它们不是相同字符组成的。

请你找出满足字符串 words[i]words[j] 相似的下标对 (i, j) ,并返回下标对的数目,其中 0 <= i < j <= word.length - 1

提示:

  • 1 <= words.length <= 100
  • 1 <= words[i].length <= 100
  • words[i] 仅由小写英文字母组成

示例:

输入:words = ["aba","aabb","abcd","bac","aabc"]
输出:2
解释:共有 2 对满足条件:
- i = 0 且 j = 1 :words[0] 和 words[1] 只由字符 'a' 和 'b' 组成。 
- i = 3 且 j = 4 :words[3] 和 words[4] 只由字符 'a'、'b' 和 'c' 。 

思路:

统计每个字符串中都出现了哪些字母,然后用暴力进行两两比较,找出相似的字符串即可。

关键是如何表示一个字符串的组成

比如abacabc,这两个串都只由abc三个字符串组成。我们如何表示这种特征?

由于字符串仅由小写英文字母组成,而小写英文字母一共只有26个,我们可以用一共26位的二进制数来表示某个字符串的组成。a对应二进制串的第一位,b对应第二位,.....,z对应第26位。

如果某个字符在字符串中出现了,我们将对应的位置为1,否则置为0。这样对每个字符串进行一下处理,就能得到这个字符串的特征表示。然后用两重循环进行两两比较即可。

一个int有32位,足够存储这样的状态了。所以我们将每个字符串处理成一个int即可。

class Solution {
public:
    int similarPairs(vector<string>& words) {
        int n = words.size();
        vector<int> st(n); // 特征数组
        for (int i = 0; i < n; i++) {
            int s = 0;
            for (char c : words[i]) s |= 1 << (c - 'a');
            st[i] = s;
        }

        int ans = 0;
        for (int i = 0; i < n; i++) {
            for (int j = i + 1; j < n; j++) {
                if (st[i] == st[j]) ans++;
            }
        }
        return ans;
    }
};

2507. 使用质因数之和替换后可以取到的最小值

给你一个正整数 n

请你将 n 的值替换为 n质因数 之和,重复这一过程。

  • 注意,如果 n 能够被某个质因数多次整除,则在求和时,应当包含这个质因数同样次数。

返回 n 可以取到的最小值。

提示:

  • 2 <= n <= 10^5

示例:

输入:n = 15
输出:5
解释:最开始,n = 1515 = 3 * 5 ,所以 n 替换为 3 + 5 = 88 = 2 * 2 * 2 ,所以 n 替换为 2 + 2 + 2 = 66 = 2 * 3 ,所以 n 替换为 2 + 3 = 5 。
5 是 n 可以取到的最小值。

思路:

模拟即可,这道题考察的是质数相关的知识(质因数分解)。

class Solution {
public:

    int smallestValue(int n) {
        int pre = 0;
        // 当处理前和处理后得到的n相同, 则无法继续变小了
        while (pre != n) {
            pre = n; // 暂存处理前的n
            int sum = 0;
            // 进行质因数分解
            for (int i = 2; i <= n / i; i++) {
                while (n % i == 0) {
                    sum += i;
                    n /= i;
                }
            }
            if (n > 1) sum += n;
            n = sum; // 处理后的n
        }
        return n;
    }
};

2508. 添加边使所有节点度数都为偶数

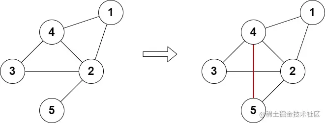
给你一个有 n 个节点的 无向 图,节点编号为 1n 。再给你整数 n 和一个二维整数数组 edges ,其中 edges[i] = [ai, bi] 表示节点 aibi 之间有一条边。图不一定连通。

你可以给图中添加 至多 两条额外的边(也可以一条边都不添加),使得图中没有重边也没有自环。

如果添加额外的边后,可以使得图中所有点的度数都是偶数,返回 true ,否则返回 false

点的度数是连接一个点的边的数目。

提示:

  • 3 <= n <= 10^5
  • 2 <= edges.length <= 10^5
  • edges[i].length == 2
  • 1 <= ai, bi <= n
  • ai != bi
  • 图中不会有重边

示例:

输入:n = 5, edges = [[1,2],[2,3],[3,4],[4,2],[1,4],[2,5]]
输出:true
解释:上图展示了添加一条边的合法方案。
最终图中每个节点都连接偶数条边。

思路:

这道题目,我自己做的时候是采用的分类讨论,因为最多添加2条额外的边,情况非常少。

我们的目标是添加至多2条边,使得所有点的度数都为偶数。

首先来看,添加一条边,这条边一定会连接2个点,会使得2个点的度数各自增加1。所以添加一条边,最多能干掉2个奇数度数的点。至多2条边,则最多干掉4个奇数度数的点。

我们考虑图中度数为奇数的点的个数oddNum

  • oddNum = 0,直接返回true

  • oddNum = 1,直接返回false,因为添加一条边,一定会使得2个点的度数各自加1

  • oddNum = 2,设这两个点为ab

    • 如果a, b之间不存在边,则直接在a, b之间连一条边即可,返回true
    • 如果a, b之间存在边,则不能连接a, b(因为会形成自环);尝试在a, b之外找一个点xxa, b之间都没有边,则可以连一条边a, x,再连一条边b, x;若能找到这样的点x,返回true
  • oddNum = 3,直接返回false,只要个数为奇数,都一定返回false

  • oddNum = 4,设这4个点为a, b, c, d

    因为最多只能连2条边,所以这两条边的4个顶点都一定是a, b, c, d,关键看如何两两组合。

    只需要枚举全部的组合(实际一共只有3种组合),只要有1种组合方式合法,就返回true

  • oddNum > 4,直接返回false

    超过4后,若为奇数肯定不行;若为偶数则边不够用。

由上面的分析可知,当度数为奇数的点的个数,为奇数时,直接返回false即可;个数为偶数时,只需要对24的情况分类讨论一下,超过4的也直接返回false即可。

关键在于我们如何快速判断两个点之间是否存在边。这里我采用的是将一对邻接点[a, b]看成一个二维状态,然后将二维状态转成一维。

typedef long long LL;
class Solution {
public:

    // 这里若开一个二维数组, 或者二维的vector, 会超出内存限制
    unordered_set<LL> adj; // 邻接点的关系

    int n;

    bool isAdjacent(int a, int b) {
        return adj.count((LL) a * n + b);
    }

    bool isPossible(int n, vector<vector<int>>& edges) {
        this->n = n;
        // 统计每个点的度
        vector<int> dg(n + 1);
        for (auto& e : edges) {
            int a = e[0], b = e[1];
            dg[a]++;
            dg[b]++;
            adj.emplace((LL) a * n + b);
            adj.emplace((LL) b * n + a);
        }
        // 度数为奇数的点
        vector<int> oddNodes;
        for (int i = 1; i <= n; i++) {
            if (dg[i] & 1) oddNodes.push_back(i);
        }

        int oddNum = oddNodes.size();
        // 若为奇数, 或超过4, 直接返回false
        if ((oddNum & 1) || oddNum > 4) return false;

        if (oddNum == 0) return true;

        // 讨论2的情况
        if (oddNum == 2) {
            int a = oddNodes[0], b = oddNodes[1];
            if (!isAdjacent(a, b)) return true; // 直接连接a,b
            // 尝试找到一个与a和b都不相邻的点
            for (int i = 1; i <= n; i++) {
                if (i == a || i == b) continue;
                if (!isAdjacent(i, a) && !isAdjacent(i, b)) return true; // 找到了这样的点
            }
            // 没找到
            return false;
        }

        // 讨论4的情况
        if (oddNum == 4) {
            int a = oddNodes[0], b = oddNodes[1], c = oddNodes[2], d = oddNodes[3];
            if (!isAdjacent(a, b) && !isAdjacent(c, d)) return true;
            if (!isAdjacent(a, c) && !isAdjacent(b, d)) return true;
            if (!isAdjacent(a, d) && !isAdjacent(b, c)) return true;
        }

        return false;
    }
};

2509. 查询树中环的长度

给你一个整数 n ,表示你有一棵含有 2n12^n - 1 个节点的 完全二叉树 。根节点的编号是 1 ,树中编号在[1,2n11][1, 2^{n - 1} - 1] 之间,编号为 val 的节点都有两个子节点,满足:

  • 左子节点的编号为 2 * val
  • 右子节点的编号为 2 * val + 1

给你一个长度为 m 的查询数组 queries ,它是一个二维整数数组,其中 queries[i] = [ai, bi] 。对于每个查询,求出以下问题的解:

  1. 在节点编号为 aibi 之间添加一条边。
  2. 求出图中环的长度。
  3. 删除节点编号为 aibi 之间新添加的边。

注意:

  • 是开始和结束于同一节点的一条路径,路径中每条边都只会被访问一次。
  • 环的长度是环中边的数目。
  • 在树中添加额外的边后,两个点之间可能会有多条边。

请你返回一个长度为 m 的数组 answer ,其中 answer[i] 是第 i 个查询的结果*。*

提示:

  • 2 <= n <= 30
  • m == queries.length
  • 1 <= m <= 10^5
  • queries[i].length == 2
  • 1 <= ai, bi <= 2^n - 1
  • ai != bi

示例:

输入:n = 3, queries = [[5,3],[4,7],[2,3]]
输出:[4,5,3]
解释:上图是一棵有 23 - 1 个节点的树。红色节点表示添加额外边后形成环的节点。
- 在节点 3 和节点 5 之间添加边后,环为 [5,2,1,3] ,所以第一个查询的结果是 4 。删掉添加的边后处理下一个查询。
- 在节点 4 和节点 7 之间添加边后,环为 [4,2,1,3,7] ,所以第二个查询的结果是 5 。删掉添加的边后处理下一个查询。
- 在节点 2 和节点 3 之间添加边后,环为 [2,1,3] ,所以第三个查询的结果是 3 。删掉添加的边。

思路:

这场周赛的T4还是比较简单的。

只需要找到两个点的最近公共祖先,看一下这个公共祖先到两个点之间的路径长度,将两条路径长度相加,再加上1(新添加的边),即可。

由于是完全二叉树,找2个点的公共祖先还是比较简单的,先将两个点按照深度进行对齐,然后同时往上走即可。每次寻找最近公共祖先最多需要30次运算,而查询一共是10^5,总的复杂度为3 × 10^6,是不会超时的。所以直接这样暴力做就行了。

class Solution {
public:

    // 找到编号为x的节点所处的深度
    // 第0层的节点编号范围是[2^0, 2^1)
    // ....
    // 第n层的节点编号范围是[2^n,2^(n+1))
    // 只需要找到最后一个满足 2^n >= x 的 n 即可
    int search(int x) {
        int l = 0, r = 30;
        while (l < r) {
            int mid = l + r + 1 >> 1;
            if (x >= (1 << mid)) l = mid;
            else r = mid - 1;
        }
        return l;
    }

    // 找到a和b的最近公共祖先, 然后返回公共祖先到这两个点的距离的长度之和
    int find(int a, int b) {
        // 先将a和b进行对齐
        int mx = max(a, b), mi = min(a, b);
        int dep_mi = search(mi), dep_mx = search(mx);
        int gap = dep_mx - dep_mi, ret = gap;
        while (gap--) mx /= 2;
        // 然后一起向上走
        while (mx != mi) {
            ret += 2;
            mx /= 2;
            mi /= 2;
        }
        return ret;
    }

    vector<int> cycleLengthQueries(int n, vector<vector<int>>& queries) {
        int k = queries.size();
        vector<int> ans(k);
        for (int i = 0; i < k; i++) {
            int a = queries[i][0], b = queries[i][1];
            ans[i] = find(a, b) + 1;
        }
        return ans;
    }
};

总结

很遗憾没有参加这场周赛,痛失一次AK的机会!

T1是暴力模拟(可以留意一下使用位运算提取特征的技巧);T2是数论(分解质因数);T3是分类讨论;T4是一道简单的图论,找最近公共祖先。