DPOS改进方案描述

129 阅读2分钟

开启掘金成长之旅!这是我参与「掘金日新计划 · 12 月更文挑战」的第28天 点击查看活动详情

将博弈论应用进区块链是一种必然趋势。作者通过对贿赂主体(竞选代理人)和选民等利益相关者进行博弈分析,建立了收益分析表,以建立出有效的奖惩机制。

简单介绍

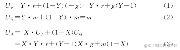
  1. 假设竞选代理节点A采取贿赂策略P的节点比例是X,那么采取不贿赂策略Q的节点比例就是1-X;如果选民节点B采取接受贿赂策略E的节点比例是Y,那么采取举报策略F的节点比例就是1-Y。

  2. UP代表A选择P的期望收益,UQ代表A选择Q的期望收益,UA为竞选代理人的平均收益。

  3. 具体公式如下图所示:

    • QQ图片20221226202500.png
    • 从平均收益能够得出,如果没有惩罚机制,则当g为0时,选择贿赂策略,收益会更大;但是如果加入惩罚机制,g越大时X也越大,那么代理人的平均收益也就越低。如果处罚力度越大,那么选择进行行贿的概率就越小。从选民角度来看,在遇到贿赂时选择举报或接受的概率与贿赂收益和奖励收益的多少有关。

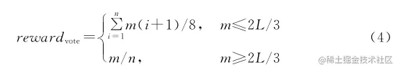
投票方案介绍

  1. 为了体现节点收到的奖励,作者采用了投票收益函数来进行体现:

    • 首先,节点进行的投票次数越多,那么节点收到的奖励也就会越多,公式如下图所示:

    • QQ图片20221226212755.png
  2. n:节点投票总次数;i:投票次数;m:此轮参与投票的节点数 L:总节点数

  3. 接下来对投票奖励机制进行改进,使得在规定时限内完成投票系统才会发放奖励,并且投票所用的时间越短,收到的奖励就越多,公式如下图所示:

    • QQ图片20221226213157.png