LeetCode - #129 求根节点到叶节点数字之和

84 阅读2分钟

开启掘金成长之旅!这是我参与「掘金日新计划 · 12 月更文挑战」的第31天,点击查看活动详情

前言

本题由于没有合适答案为以往遗留问题,最近有时间将以往遗留问题一一完善。

我们社区陆续会将顾毅(Netflix 增长黑客,《iOS 面试之道》作者,ACE 职业健身教练。)的 Swift 算法题题解整理为文字版以方便大家学习与阅读。

LeetCode 算法到目前我们已经更新到 128 期,我们会保持更新时间和进度(周一、周三、周五早上 9:00 发布),每期的内容不多,我们希望大家可以在上班路上阅读,长久积累会有很大提升。

不积跬步,无以至千里;不积小流,无以成江海,Swift社区 伴你前行。如果大家有建议和意见欢迎在文末留言,我们会尽力满足大家的需求。

难度水平:中等

1. 描述

给你一个二叉树的根节点 root ,树中每个节点都存放有一个 09 之间的数字。 每条从根节点到叶节点的路径都代表一个数字:

  • 例如,从根节点到叶节点的路径 1 -> 2 -> 3 表示数字 123

计算从根节点到叶节点生成的 所有数字之和

叶节点 是指没有子节点的节点。

2. 示例

示例 1

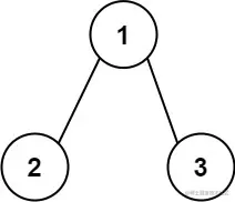
输入:root = [1,2,3]
输出:25
解释:
从根到叶子节点路径 1->2 代表数字 12
从根到叶子节点路径 1->3 代表数字 13
因此,数字总和 = 12 + 13 = 25

示例 2

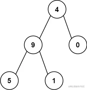
输入:root = [4,9,0,5,1]
输出:1026
解释:
从根到叶子节点路径 4->9->5 代表数字 495
从根到叶子节点路径 4->9->1 代表数字 491
从根到叶子节点路径 4->0 代表数字 40
因此,数字总和 = 495 + 491 + 40 = 1026

提示:

  • 树中节点的数目在范围 [1, 1000]` 内
  • 0 <= Node.val <= 9
  • 树的深度不超过 10

3. 答案

题解 1

/**
* Definition for a binary tree node.
* public class TreeNode {
*     public var val: Int
*     public var left: TreeNode?
*     public var right: TreeNode?
*     public init(_ val: Int) {
*         self.val = val
*         self.left = nil
*         self.right = nil
*     }
* }
*/
class Solution {
   func sumNumbers(_ root: TreeNode?) -> Int {
       guard let root = root else { return 0 }
       var sum = 0
       var stack: [(node: TreeNode, accum: Int)] = [(node: root, accum: 0)]

       while !stack.isEmpty {
           let currentVal = stack.removeLast()
           let updatedAccum = currentVal.accum * 10 + currentVal.node.val

           guard currentVal.node.left != nil || currentVal.node.right != nil else {
               sum += updatedAccum
               continue
           }

           if let leftNode = currentVal.node.left {
               stack.append((node: leftNode, accum: updatedAccum))
           }

           if let rightNode = currentVal.node.right {
               stack.append((node: rightNode, accum: updatedAccum))
           }
       }

       return sum
   }

}

题解 2

/**
* Definition for a binary tree node.
* public class TreeNode {
*     public var val: Int
*     public var left: TreeNode?
*     public var right: TreeNode?
*     public init(_ val: Int) {
*         self.val = val
*         self.left = nil
*         self.right = nil
*     }
* }
*/
class Solution {
   func sumNumbers(_ root: TreeNode?) -> Int {
       if root == nil { return 0 }
       else {
           let result = getNumber(root!, 0)
           return result
       }
   }

   func getNumber(_ node: TreeNode, _ number: Int) -> Int {
       let currentNumber = number * 10 + node.val
       var result = 0
       if node.left == nil && node.right == nil {
           return currentNumber
       } else if node.left == nil {
           result = getNumber(node.right!, currentNumber)
       } else if node.right == nil {
           result = getNumber(node.left!, currentNumber)
       } else {
           result = getNumber(node.left!, currentNumber) + getNumber(node.right!, currentNumber)
       }
       return result
   }
}

点击前往 LeetCode 练习

关于我们

我们是由 Swift 爱好者共同维护,我们会分享以 Swift 实战、SwiftUI、Swift 基础为核心的技术内容,也整理收集优秀的学习资料。