常用图像卷积核类型小结(上)

1,900 阅读4分钟

开启掘金成长之旅!这是我参与「掘金日新计划 · 12 月更文挑战」的第28天,点击查看活动详情

卷积操作的主要目的就是对图像进行降维以及特征提取;

1.卷积核往往是行数和列数均为奇数的矩阵,这样中心较好定位;

2.卷积核元素的总和体现出输出的亮度,若元素总和为1,卷积后的图像与原图像亮度基本一致;若元素总和为0,则卷积后的图像基本上是黑色,其中较亮的部分往往就是提取出图像的某种特征;

3.滤波实际上就是Same模式的卷积操作,也就是说滤波后图像的大小不变,各种滤镜和照片的风格化就是使用不同的滤波器对图像进行操作。因此卷积核、滤波器本质上都是一个东西;

4.高通滤波器(High Pass Filter, HPF)表示仅允许图像中高频部分(即图片中变化较剧烈的部分)通过,往往用于对图像进行锐化处理、增强图像中物体边缘等。如Sobel算子、Prewitt算子、锐化滤波器等;

5.低通滤波器(Low Pass Filter, LPF)表示仅允许图像中低频部分(即图片中变化较平缓的部分)通过,往往用于对图像进行模糊/平滑处理、消除噪点等。如高斯滤波器、均值滤波器等;

低通滤波器:

均值滤波

特点:滤波器中元素之和为1,输出亮度与输入基本一致;
均为低通滤波器,主要用于图像模糊/平滑处理、消除噪点;
核越大,模糊程度越大;

其中均值滤波器从名字就可以看出,每个元素值都一样,是卷积核元素个数的倒数,这样每个输出像素就是其周围像素的均值。一个3 × 3 的均值滤波器如下所示:

高斯滤波

特点:滤波器中元素之和为1,输出亮度与输入基本一致;
均为低通滤波器,主要用于图像模糊/平滑处理、消除噪点;
核越大,模糊程度越大;

高斯滤波器虽然元素总和也为1,但每个位置的权重不一样,权重在行和列上的分布均服从高斯分布,故称高斯滤波器。高斯分布的标准差越大,则模糊程度越大。一个3 × 3 标准差为1的高斯滤波器如下所示:
5b412561ba2622a77050a644a30334a9.png 高斯和均值滤波器实例

这两个滤波器主要作用均为模糊图像,或在图像预处理中消除图像中的噪点:

高通滤波器:

锐化卷积核

概念:
锐化卷积核从名字就可以看出,主要作用就是对图片进行锐化操作,也就是让图像的边缘更加锐利。图像的边缘往往就是变化较大的地方,也就是图像的高频部分,因此锐化卷积核就是一种高通滤波器。一个3 × 3的锐化卷积核如下所示:

4b5cec22c5d347c7f49b24799e3a4bf3.png

可见该卷积核就是计算中心位置像素与周围像素的差值,差值越大则表示该元素附近的变化越大(频率越大),输出值也就越大,因此是高频滤波器的一种。锐化卷积核元素总和如果是0,则有提取图像边缘信息的效果。

锐化卷积核示例
锐化卷积核作用为突出图像中物体的边缘,相当于给物体描边:

6ecb2514c458416e18cd78d0ff401e52.png

一阶微分算子

概念
图像中物体的边缘往往就是变化较为剧烈的部分(高频部分),对于一个函数来说,变化越剧烈的地方,对应的导数的绝对值也就越大。图像就是一种二元函数,f ( x , y )表示( x , y ))处像素的值,因此导数除了大小,还有方向。那么求图像在某方向上的一阶导数(或称图像的梯度),也就可以反映出图像在该处的变化程度,变化程度越快,在该方向的垂直方向可能就存在物体的边缘。

一阶微分算子可以计算出某个方向上物体的边缘

但往往对噪声较为敏感,且边缘检测敏感度依赖于物体的大小。

Prewitt算子

Prewitt算子就是对图像进行差分来近似对图像的某个部分求一阶导数。Prewitt算子适合用来识别噪声较多、灰度渐变的图像57d6dc3b55a8c675b4c6bf0c718f67b2.png

012cba5a611c81c6a37ab668bacf2d32.png

例如 像素点P5处 x 和 y 方向上的梯度大小 g_x 和 g_y 分别计算为

# -*- coding: utf-8 -*-
import cv2
import numpy as np
import matplotlib.pyplot as plt

# 读取图像
img = cv2.imread('C:/Users/123/Pictures/66.png')
img_RGB = cv2.cvtColor(img, cv2.COLOR_BGR2RGB)

# 灰度化处理图像
grayImage = cv2.cvtColor(img, cv2.COLOR_BGR2GRAY)

# Prewitt算子
kernelx = np.array([[1, 1, 1], [0, 0, 0], [-1, -1, -1]], dtype=int)
kernely = np.array([[-1, 0, 1], [-1, 0, 1], [-1, 0, 1]], dtype=int)
x = cv2.filter2D(grayImage, cv2.CV_16S, kernelx)
y = cv2.filter2D(grayImage, cv2.CV_16S, kernely)
# 转uint8
absX = cv2.convertScaleAbs(x)
absY = cv2.convertScaleAbs(y)
Prewitt = cv2.addWeighted(absX, 0.5, absY, 0.5, 0)

# 用来正常显示中文标签
plt.rcParams['font.sans-serif'] = ['SimHei']

# 显示图形
plt.subplot(121),plt.imshow(img_RGB),plt.title('原始图像'), plt.axis('off') #坐标轴关闭
plt.subplot(122),plt.imshow(Prewitt, cmap=plt.cm.gray ),plt.title('Prewitt算子'), plt.axis('off')
plt.show()

Sobel算子

Sobel算子则是Prewitt算子的改进版,对中间的元素适当进行了加权,Sobel算子与Prewitt算子类似。Sobel算子包含两组3×3的滤波器,分别对水平及垂直方向上的边缘敏感。

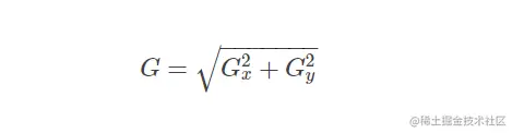
让两个方向模板分别沿着x轴、y轴与图像做卷积,方向是从上到下和从左到右。将模板的中 心和图像上的某个像素重合,并将该像素周围的点 与模板上对应的系数相乘,如图所示,其 中Gx及Gy分别代表经横向及纵向边缘检测的图像梯度值。

  图像上每个像素点的横向及纵向梯度值通过如 下式结合,来计算该点梯度值G的大小:

 为了减少运算时间,提高运算效率,可以使用绝 对值求和近似的方法代替开平方:

由于Sobel算 子对于象素的位置的影响做了加权,可以降低边缘 模糊程度,与Prewitt算子、Roberts算子相比效果更好

from skimage import data,filters,img_as_ubyte
import matplotlib.pyplot as plt
import cv2

# 图像读取
img = data.camera()
plt.imshow(img,plt.cm.gray)

'''**********skimage*************'''
# sobel边缘检测
edges = filters.sobel(img)
# 浮点型转成uint8型
edges = img_as_ubyte(edges)
# 显示图像
plt.figure()
plt.imshow(edges,plt.cm.gray) 

# sobel 水平方向边缘检测
edgesh = filters.sobel_h(img)
edgesh = img_as_ubyte(edgesh)
plt.figure()
plt.imshow(edgesh,plt.cm.gray)

# sobel 竖直方向边缘检测
edgesv = filters.sobel_v(img)
edgesv = img_as_ubyte(edgesv)
plt.figure()
plt.imshow(edgesv,plt.cm.gray) 

'''**********opencv*************'''
# sobel边缘检测
edges = cv2.Sobel(img,cv2.CV_16S,1,1) 
# 浮点型转成uint8型
edges = cv2.convertScaleAbs(edges) 
plt.figure()
plt.imshow(edges,plt.cm.gray) 

# sobel 水平方向边缘检测
edges = cv2.Sobel(img,cv2.CV_16S,1,0) 
edgesh = cv2.convertScaleAbs(edgesh) 
plt.figure()
plt.imshow(edgesh,plt.cm.gray) 

# sobel 竖直方向边缘检测
edges = cv2.Sobel(img,cv2.CV_16S,0,1) 
edgesv = cv2.convertScaleAbs(edgesv) 
plt.figure()
plt.imshow(edgesv,plt.cm.gray) 

分别是原图 全方向solab算子

竖直方向sobel检测 水平向sobel检测