leetcode算法563. 二叉树的坡度

49 阅读2分钟

开启掘金成长之旅!这是我参与「掘金日新计划 · 12 月更文挑战」的第25天,点击查看活动详情

一、题目描述:

563. 二叉树的坡度 - 力扣(LeetCode) (leetcode-cn.com)

给你一个二叉树的根节点 root ,计算并返回 整个树 的坡度 。

一个树的 节点的坡度 定义即为,该节点左子树的节点之和和右子树节点之和的 差的绝对值 。如果没有左子树的话,左子树的节点之和为 0 ;没有右子树的话也是一样。空结点的坡度是 0 。

整个树 的坡度就是其所有节点的坡度之和。

示例 1:

image.png

输入:root = [1,2,3]
输出:1
解释:
节点 2 的坡度:|0-0| = 0(没有子节点)
节点 3 的坡度:|0-0| = 0(没有子节点)
节点 1 的坡度:|2-3| = 1(左子树就是左子节点,所以和是 2 ;右子树就是右子节点,所以和是 3 )
坡度总和:0 + 0 + 1 = 1

示例 2:

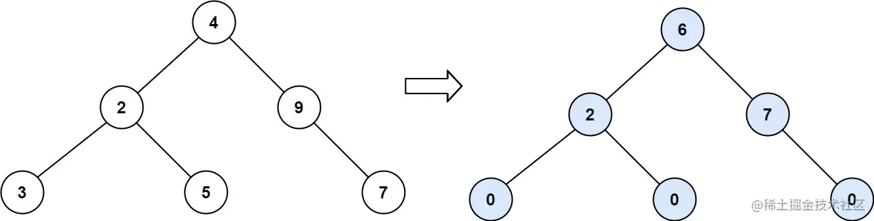
image.png

输入:root = [4,2,9,3,5,null,7]
输出:15
解释:
节点 3 的坡度:|0-0| = 0(没有子节点)
节点 5 的坡度:|0-0| = 0(没有子节点)
节点 7 的坡度:|0-0| = 0(没有子节点)
节点 2 的坡度:|3-5| = 2(左子树就是左子节点,所以和是 3 ;右子树就是右子节点,所以和是 5 )
节点 9 的坡度:|0-7| = 7(没有左子树,所以和是 0 ;右子树正好是右子节点,所以和是 7 )
节点 4 的坡度:|(3+5+2)-(9+7)| = |10-16| = 6(左子树值为 3、5 和 2 ,和是 10 ;右子树值为 9 和 7 ,和是 16 )
坡度总和:0 + 0 + 0 + 2 + 7 + 6 = 15

示例 3:

image.png

输入:root = [21,7,14,1,1,2,2,3,3]
输出:9

提示:

  • 树中节点数目的范围在 [0, 10^4] 内
  • -1000 <= Node.val <= 1000

二、思路分析:

深度优先遍历。

对每个节点。先求出左子树的和L,再求右子树的和R.

目标就是: 求所有节点的l-r的绝对值和 sum( |L-R|).

三、AC 代码:

/**
 * Definition for a binary tree node.
 * struct TreeNode {
 *     int val;
 *     TreeNode *left;
 *     TreeNode *right;
 *     TreeNode() : val(0), left(nullptr), right(nullptr) {}
 *     TreeNode(int x) : val(x), left(nullptr), right(nullptr) {}
 *     TreeNode(int x, TreeNode *left, TreeNode *right) : val(x), left(left), right(right) {}
 * };
 */
class Solution {
public:
int ans;

int dfs(TreeNode *root)
{
    if(root==nullptr) return 0;
    int l = dfs(root->left);
    int r = dfs(root->right);
    ans+= abs(l-r);
    return root->val + l + r;

}
    int findTilt(TreeNode* root) {
        ans = 0;
        dfs(root);
        return ans;
    }
};