计算机图形学:变换矩阵

699 阅读4分钟

首发于我的公众号:前端西瓜哥

大家好,我是前端西瓜哥。今天我们来学变换矩阵。

线性变换

矩阵乘法是来自线性代数的内容。

首先我们有一个二维的向量 (x, y),它在线性代数中,我们会这么表示:

图片

向量在几何中会用一条起始于原点的箭头表示。

图片

向量我们也常常看作一个点。因为当有大量向量要绘制时,箭头就会非常的多,会让画面非常混乱,所以要简化为点。

向量加法:对应位置进行相加即可,在几何中可以将多个向量头尾相连,最终的路径就是加法的结果:

图片

数乘:或者叫标量乘法,指的是将向量和一个常量数字进行相乘,也是对应位置相乘,在几何中表现为对向量缩放:

图片

有了上面两个概念,我们得到对于一个二维向量,它是 x 轴上和 y 轴上的单位向量(一种 基向量)进行缩放后组合而成:

图片

然后就是我们主角 线性变换 了。

线性变换的 “变换”,指的是 “函数”,它接受一个向量,然后返回一个向量。在几何中,它表示了一个向量是怎么从原来的指向变换(缩放旋转等过程)成另一个指向。

线性变换的 “线性”,指的是这个变换是符合一些特性的,首先是直线变换后还是直线,然后就是原点保持在原来的位置。

图片

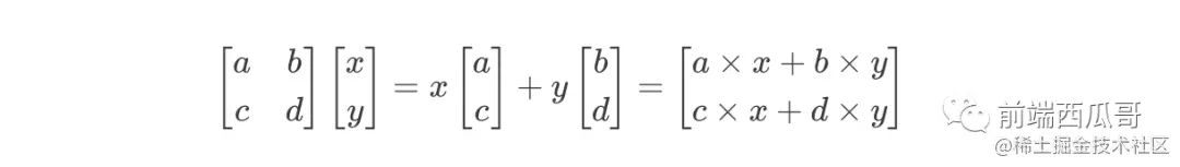
线性变换,一种理解为,矩形的每列改变了对应基向量的值。

比如上面的公式,我们的 (x, y) 向量原来是基于 i 向量 (1, 0) 和 j 向量 (0, 1) 进行数乘得到的。

但通过一个矩阵,我们的 i 和 j 分别变成了(a, c)(b, d),即标准换了,基于这个新标准得到的新的值就是线性变换的输出向量。

下面我们看一些常见的变换矩阵。

缩放

缩放,就是将一个向量(或者点)的 x 和 y 各自进行指定比例的缩放。

假设 x 方向缩放比例为 sx,y 方向缩放比例为 sy。简单的算法就是:

x2 = x * sx;
y2 = y * sy;

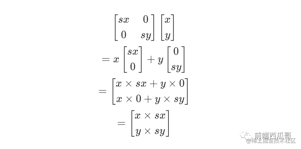
二维 2x2 缩放矩阵为:

图片

二维矩阵运算过程为:

图片

实际上我们会使用三维缩放矩阵,原因会在下面平移中讲解。

三维缩放矩阵为:

图片

下边和右边各加上 0 0 1 即可。

平移

平移,就是将一个向量(或者点)的 x 和 y 各自移动一段距离。

假设 x 方向移动 dx 距离,y 方向移动 dy 距离。

直接用几何的描述:

x2 = x + dx;
y2 = y + dy;

我们无法用一个二维矩阵来表示平移变换,为此我们需要升维,升到三维,通过额外的一个 z 轴的基向量的斜切来模拟二维中的平移。

输入向量也需要升维,加多一个值为 1 的第三维度:

图片

三维平移矩阵为:

图片

运算过程:

图片

为了减少计算量,我们会使用 复合矩阵,就是将多个变换矩阵通过结合律计算出来的矩阵。

它是多种矩阵的组合体,但相比对一个向量一个个进行矩阵乘法,符合矩阵能一次计算出来。因为平移的特殊性,所以我们通常不会使用 2x2 矩阵来表示一个变换矩阵,而是用 3x3 矩阵,来和平移矩阵做兼容。

旋转

点沿原点逆时针旋转指定角度,得到新的坐标点,有以下公式:

图片

三维旋转矩阵:

图片

逆时针旋转 90度,可以看作是给基变量做旋转:

图片

斜切

斜切,其实就是固定一个基向量不变,改变另一条基向量。斜切是有方向的。

水平斜切:

图片

或垂直斜切:

图片

水平斜切动图:

图片

代码实现

interface IVector {
  xnumber;
  ynumber;
}

/**
 * a c e
 * b d f
 * 0 0 1
 */
type ITransfrom = [
  anumber,
  bnumber,
  cnumber,
  dnumber,
  enumber,
  fnumber
];

/**
 * 变换矩阵
 */
export function transform(
  { x, y }: IVector,
  [a, b, c, d, e, f]: ITransfrom
): IVector {
  return {
    x: x * a + y * c + e,
    y: x * b + y * d + f,
  };
}

通常我们会用升维的 3x3 矩阵,来表示一个变换矩形,因为最后一行永远都是 [0, 0, 1],所以我们的函数只需要传矩阵的前两行,共 6 个值。比如 Canvas 的 ctx.transform 也是只接受 6 个值。

结尾

本文简单讲了一下变换矩阵。

我是前端西瓜哥,欢迎关注我,学习更多前端知识。