LeetCode算法之--链表系列

90 阅读5分钟

【一】前言

2022经济寒冬之下,在年末之际来得更为惨烈,企鹅、宇宙等大厂相继爆出裁员消息后,某米,某站等也大批量裁员。不由得感叹,互联网的时代如今真的一去不复返了!作为互联网搬运工,码农们是最大的受害者,年底了短时间无法快速找到合适的下家,一个原因是迫于经济形势压力很多大厂都在收缩HC,另一个原因是大量的应届和被裁工程师都加入到找工作大军里面。这个形势下要找到下一份心仪的合适的令人向往的大厂offer,竞争就变得异常激烈了!唯有提升自己才是王道,面试中考算法已经变得非常普遍了,平时工作没有时间好好地练习算法,短时间内快速掌握算法技巧应对面试是重中之重。常用的算法有:动态规划、贪心算法、回溯算法、深度优先、广度优先、递归、双指针、快慢指针、迭代、哈希、二分等。

链表系列是算法题里面常见题型,通常涉及哈希、迭代、指针、递归的算法,下面介绍几个LeetCode上关于链表的题目。

【二】合并链表

LeetCode 21. 合并两个有序链表

将两个升序链表合并为一个新的 升序 链表并返回。新链表是通过拼接给定的两个链表的所有节点组成的。

示例 1:

image.png

输入:l1 = [1,2,4], l2 = [1,3,4] 输出:[1,1,2,3,4,4] 示例 2:

输入:l1 = [], l2 = [] 输出:[] 示例 3:

输入:l1 = [], l2 = [0] 输出:[0] 提示:

两个链表的节点数目范围是 [0, 50] -100 <= Node.val <= 100 l1 和 l2 均按 非递减顺序 排列 【解法一】普通迭代:新建一个新的链表,用以存储合并链表的元素值,遍历并比较l1和l2两个链表元素值大小,小的那个放到新的合并链表末尾,直到遍历完两个链表后,最后判断两个链表是否都为空了,如果不为空则把剩余的元素添加到合并链表的末尾。

    public ListNode mergeTwoLists(ListNode list1, ListNode list2) {
        if(list1 == null){
            return list2;
        }
       if(list2 == null){
            return list1;
        }
        ListNode headerNode = new ListNode(-1);
        ListNode merge = headerNode;
        if(list1 != null && list2 != null){
            if(list1.val <= list2.val){
                merge.next = list1;
                list1 = list1.next;
            }else{
                merge.next = list2;
                list2 = list2.next;
            }
           merge = merge.next; 
         }
         //最后判断一下list1和list2是否都为空,不为空则把剩余节点添加到merge末尾
         merge.next = list1==null?list2:list1;
         return merge.next ;
    }
}

解法二】递归解法:递归的终止条件,如果l1或l2两个中的某个链表为空,则直接返回另外一个链表,递归条件,当l1的元素节点的值比l2小的时候,继续递归该方法,l1的next为左参数值,否则当l2的元素节点值比l1小的时候,继续递归该方法l2的next节点为方法的左参数值,继续递归该函数。

    public ListNode mergeTwoLists(ListNode list1, ListNode list2) {
        if(list1 == null){
            return list2;
        }
       if(list2 == null){
            return list1;
        }
      if((list1.val <= list2.val ){
         ListNode pNode = mergeTwoLists(list1.next,list2);
         return pNode;
       }else{
         ListNode pNode = mergeTwoLists(list2.next,list1);
         return pNode;
       }
}

【三】相交链表

  1. 相交链表

给你两个单链表的头节点 headA 和 headB ,请你找出并返回两个单链表相交的起始节点。如果两个链表不存在相交节点,返回 null 。

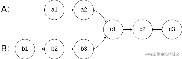
图示两个链表在节点 c1 开始相交:

image.png

题目数据 保证 整个链式结构中不存在环。

注意,函数返回结果后,链表必须 保持其原始结构 。

自定义评测:

评测系统 的输入如下(你设计的程序 不适用 此输入):

intersectVal - 相交的起始节点的值。如果不存在相交节点,这一值为 0 listA - 第一个链表 listB - 第二个链表 skipA - 在 listA 中(从头节点开始)跳到交叉节点的节点数 skipB - 在 listB 中(从头节点开始)跳到交叉节点的节点数 评测系统将根据这些输入创建链式数据结构,并将两个头节点 headA 和 headB 传递给你的程序。如果程序能够正确返回相交节点,那么你的解决方案将被 视作正确答案 。

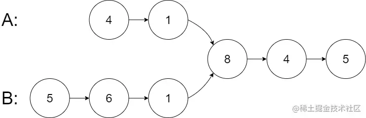
示例 1:

image.png

输入:intersectVal = 8, listA = [4,1,8,4,5], listB = [5,6,1,8,4,5], skipA = 2, skipB = 3 输出:Intersected at '8' 解释:相交节点的值为 8 (注意,如果两个链表相交则不能为 0)。 从各自的表头开始算起,链表 A 为 [4,1,8,4,5],链表 B 为 [5,6,1,8,4,5]。 在 A 中,相交节点前有 2 个节点;在 B 中,相交节点前有 3 个节点。 — 请注意相交节点的值不为 1,因为在链表 A 和链表 B 之中值为 1 的节点 (A 中第二个节点和 B 中第三个节点) 是不同的节点。换句话说,它们在内存中指向两个不同的位置,而链表 A 和链表 B 中值为 8 的节点 (A 中第三个节点,B 中第四个节点) 在内存中指向相同的位置。 示例 2:

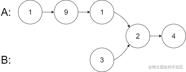
image.png 输入:intersectVal = 2, listA = [1,9,1,2,4], listB = [3,2,4], skipA = 3, skipB = 1 输出:Intersected at '2' 解释:相交节点的值为 2 (注意,如果两个链表相交则不能为 0)。 从各自的表头开始算起,链表 A 为 [1,9,1,2,4],链表 B 为 [3,2,4]。 在 A 中,相交节点前有 3 个节点;在 B 中,相交节点前有 1 个节点。 示例 3:

image.png

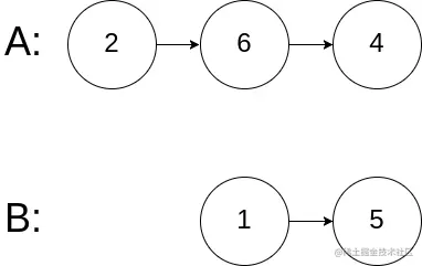
输入:intersectVal = 0, listA = [2,6,4], listB = [1,5], skipA = 3, skipB = 2 输出:null 解释:从各自的表头开始算起,链表 A 为 [2,6,4],链表 B 为 [1,5]。 由于这两个链表不相交,所以 intersectVal 必须为 0,而 skipA 和 skipB 可以是任意值。 这两个链表不相交,因此返回 null 。 提示:

listA 中节点数目为 m listB 中节点数目为 n 1 <= m, n <= 3 * 104 1 <= Node.val <= 105 0 <= skipA <= m 0 <= skipB <= n 如果 listA 和 listB 没有交点,intersectVal 为 0 如果 listA 和 listB 有交点,intersectVal == listA[skipA] == listB[skipB] 进阶:你能否设计一个时间复杂度 O(m + n) 、仅用 O(1) 内存的解决方案?

解法一】哈希解法:新建一个HashSet的集合,先遍历listA链表,把元素存储进去到set集合里面,再遍历listB链表,在遍历B链表的时候,如果set集合里包含有相同的元素,则返回该节点结束遍历,否则遍历完未匹配则返回null。

    public ListNode getIntersectionNode(ListNode headA, ListNode headB) {
        if (headA == null || headB == null) {
            return null;
        }
        Set<ListNode> dataNode = HashSet<ListNode>();
        ListNode temp = headA;
        while(temp != null ){
	dataNode.add(temp);
	temp = temp.next;
        }
        temp = headB;
        while(temp != null ){
	if(dataNode.contains(temp)){
	    return temp;
	}
	temp = temp.next;
        }
        return null;
}

解法二】双指针法:分别定义p1和p2两个指针指向headA和headB,同时移动p1和p2,当p1走到末尾节点时,next指向空,这时把p1指向p2的头结点,继续向前移动指针;当p2走到末尾节点时,next指向空,这时把p2指向p1的头节点,继续向前移动指针;当p1=p2时,这时就到了两个链表相交的地方,返回相交的节点即可。否则没有相交返回null。

    public ListNode getIntersectionNode(ListNode headA, ListNode headB) {
        if (headA == null || headB == null) {
            return null;
        }
        ListNode p1 = headA;
        ListNode p2 = headB;
        while(p1 != p2 ){
            if(p1 == null){
                p1 = headB;
            }else{
                p1 = p1.next;
            }
 
            if(p2 == null){
                p2 = headA;
            }else{
                p2 = p2.next;
            }
        }
        return p1;
    }
}

【四】反转链表

  1. 反转链表

给你单链表的头节点 head ,请你反转链表,并返回反转后的链表。

示例 1:

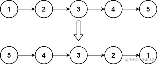
image.png 输入:head = [1,2,3,4,5] 输出:[5,4,3,2,1] 示例 2:

image.png

输入:head = [1,2] 输出:[2,1] 示例 3:

输入:head = [] 输出:[] 提示:

链表中节点的数目范围是 [0, 5000] -5000 <= Node.val <= 5000 进阶:链表可以选用迭代或递归方式完成反转。你能否用两种方法解决这道题?

解法一】递归法:链表反转操作符合递归的条件:大问题可以拆解为相同的无数个小问题,小问题相加累计结束就是大问题;递归终止条件,当链表为空或者链表只要一个元素时,直接返回该链表。定义一个用来返回的链表,并且以递归调用(节点的下个节点next)形式;递归的逻辑,用节点head为例需要反转把指针调转表示为head.next.next(原来指向下下个节点)仍然指回来指向自己head,这样指针就反转了;最后要把head的头结点也就是反转后的头结点的下个节点next置为null(防止出现环)。

    public ListNode reverseList(ListNode head) {
        //递归解法
        //1.递归终止条件
        if(head == null || head.next == null){
            return head;
        }
        ListNode p =  reverseList(head.next);
            head.next.next = head;
            head.next = null;
        return p;
}

解法二】指针法:新建一个prev链表用于存储返回结果得到链表,新建一个curr链表指向head链表用来遍历的链表,遍历链表curr当链表不为空时,把链表当前的下一个节点next保存下来,把当前节点的下一节点next指针指向prev ,把prev设置为当前节点curr(相当于开始移动指针),把当前节点curr设置为next节点。循环遍历链表直至结束,即把原链表反转了。

class Solution {
    public ListNode reverseList(ListNode head) {
       ListNode prev = null;
       ListNode curr = head;
       while(curr  != null){
           ListNode next = curr.next;
           curr.next = prev;
           prev = curr;
           curr = next;
       }
      return prev ;
    }
}

【五】回文链表

  1. 回文链表

给你一个单链表的头节点 head ,请你判断该链表是否为回文链表。如果是,返回 true ;否则,返回 false 。

示例 1:

image.png

输入:head = [1,2,2,1] 输出:true 示例 2:

image.png

输入:head = [1,2] 输出:false

提示:

链表中节点数目在范围[1, 105] 内 0 <= Node.val <= 9 进阶:你能否用 O(n) 时间复杂度和 O(1) 空间复杂度解决此题?

解法一】数组+双指针法:先用数组把链表的元素值存储起来,最后再用双指针头指针从前到后开始移动,尾指针从后往前开始移动,每次移动2个指针直至遍历完链表元素值都相等则判断是回文链表,否则不是回文链表。

    public boolean isPalindrome(ListNode head) {
       List<Integer> dataList = new ArrayList<Integer>();
       while(head != null ){
              dataList.add(head.val);
              head = head.next; 
       }
       int p1 = 0;
       int p2 = dataList.size()-1;
        //双指针不用循环,条件判断头尾指针相等时结束
       while(p1<p2){ 
          if(!dataList.get(p1).equal(dataList.get(p2))){
            return fasle;
            }
          p1++;
          p2--;
         }
         return true;
}

解法二】快慢指针法:先获取链表的前半部分,返回获得前半部分链表的最后一个元素,再反转后半部分链表(参数为前半部分链表的next节点),遍历反转后的后半部分链表,遍历完反转后的后半部分链表后,比较该反转后的后半部分链表元素与题干入参的链表head中的元素,都相等则判断是回文链表,否则不是。先获取链表的前半部分:快慢指针获取,快指针移动2个节点,慢指针移动1一个节点,当快指针到达末尾时,慢指针刚好走到链表的一半的位置。 反转后半部分链表:参考【反转链表】

    public boolean isPalindrome(ListNode head) {
                 if(head == null){
                     return true;
	}
	//获取到前半部分链表的元素(注意,这时链表指向前半部分最后一个节点)
	ListNode firstHalfNode = reverseHalf(head) );
                //反转后半部分链表,从前半部分的最后一个节点得到next节点开始
                ListNode reverseHalfNode = reverseNode(firstHalfNode.next) );
                
                //遍历反转后的后半部分链表,遍历完所有反转的后半部分链表,所有元素都相等表示属于回文链表
                ListNode  temp = head;
                while(reverseHalfNode != null){
                   if(temp.val != reverseHalfNode.val){
                      return false;
	   }
	   reverseHalfNode = reverseHalfNode.next;
                   temp = temp.next;
                }
                return true;
    }
    //1.通过快慢指针法获取前半部分的链表
    public ListNode getFirstHalf(ListNode head){
	ListNode fast = head;
	ListNode slow = head;
                while(fast != null && fast.next != null){
	    fast = fast.next.next;
                    slow = slow.next;
	}
               return slow;
     }
     //2.反转前半部分的链表元素
     public ListNode reverseNode((ListNode head){
          ListNode prev = null;
          ListNode curr = head;
          while(curr != null){
              ListNode next = curr.next;
              curr.next = prev;
              prev = curr;
              curr = next;
          }
          return prev;
     }
}

【六】环形链表

  1. 环形链表

示例 1:

image.png

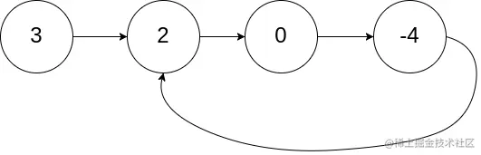
输入:head = [3,2,0,-4], pos = 1 输出:true 解释:链表中有一个环,其尾部连接到第二个节点。 示例 2:

image.png

输入:head = [1,2], pos = 0 输出:true 解释:链表中有一个环,其尾部连接到第一个节点。 示例 3:

image.png

输入:head = [1], pos = -1 输出:false 解释:链表中没有环。 提示:

链表中节点的数目范围是 [0, 104] -105 <= Node.val <= 105 pos 为 -1 或者链表中的一个 有效索引 。 进阶:你能用 O(1)(即,常量)内存解决此问题吗?

给你一个链表的头节点 head ,判断链表中是否有环。

如果链表中有某个节点,可以通过连续跟踪 next 指针再次到达,则链表中存在环。 为了表示给定链表中的环,评测系统内部使用整数 pos 来表示链表尾连接到链表中的位置(索引从 0 开始)。注意:pos 不作为参数进行传递 。仅仅是为了标识链表的实际情况。

如果链表中存在环 ,则返回 true 。 否则,返回 false 。

解法一】哈希法: 新建一个以ListNode为数据类型的Set集合,遍历链表并把链表的节点存储在Set集合里面,如果在遍历的过程中发现Set集合含有某个节点,在判断为环形链表。

    public boolean hasCycle(ListNode head) {
        while(head == null || head.next == null){
            return false;
        }
        Set<ListNode> dataNode = new HashSet<ListNode>();
        ListNode temp = head;
        while(temp != null){
            if(dataNode.contains(temp)){
                 return true;
            }
            dataNode.add(temp);
            temp = temp.next;
        }
        return false;
    }
}

解法二】快慢指针法: 也称为龟兔赛跑法,fast的指针在head.next处,slow的指针在head处,同时移动fast指针和slow指针,fast指针移动2个节点每次,slow移动1个节点每次,当fast指针和slow指针遍历完链表后,fast和slow也没有相等,则表示该链表不是环形链表(注意:起始时把fast置为head.next而不是head是假设在head之前两个节点开始移动,这样才能进入while循环)。

    public boolean hasCycle(ListNode head) {
        while(head == null || head.next == null){
            return false;
        }
        ListNode fast = head.next;
        ListNode slow = head;
        while(fast != slow){
            if(fast == null || fast.next == null){ 
                return false;
            }
            fast = fast.next.next;
            slow = slow.next;
         }
        return true;
      }
 }

快慢指针简化: 快慢指针同时在head位置处,while循环终止条件是当fast移动至链表末尾还没有发现快慢指针相碰则返回false

    public boolean hasCycle(ListNode head) {
        while(head == null || head.next == null){
            return false;
        }
        ListNode fast = head,slow = head;
        while(fast != null && fast.next != null){
            if(fast == slow ){ 
                return true;
            }
            fast = fast.next.next;
            slow = slow.next;
         }
        return false;
      }
 }

【七】总结

关于链表的常用解法,有:快慢指针法,递归法,哈希法,迭代法。拿到题目先分析题型场景适用于哪个算法,找到对应算法后再思考解题逻辑,从而一步一步写出对应的题解的代码来。 如果是求环相关的可以使用快慢指针法,如果是求反转链表可以使用递归和迭代,如果是求合并链表可以用迭代法(新建链表头-1开始),如果是求回文链表可以使用数组+双指针法,如果是求相交链表,可以用双指针和哈希法(分别遍历2个链表,有相同节点则为相交)。

我是程序大视界,坚持原创技术博客分享。

注:如果本篇博客有任何纰漏和建议,欢迎私信或评论留言!

文章持续更新,搜索「 程序大视界 」第一时间阅读,回复【资料】免费领取学习资料,添加博主好友,进群交流获取大厂面试完整考点,欢迎Star。