汽车SoC电源架构设计

160 阅读6分钟

汽车电池面临的挑战

汽车环境中的 12V 电池总线可能面临各种压力源,例如汽车行驶期间产生的瞬态过压 (OV) 和欠压 (UV) 情况。因此,能够工作在PC 12V 总线上的大多数DC/DC 集成电路 (IC) 并不适合汽车应用。汽车应用需要一个预调节器来为低电压 DC/DC IC 做准备。预调节器应生成干净的总线(通常为 5V 或 3.3V),使核心 VR 和其他变换器能够顺利运行。

片上系统 (SoC)的电源要求

在开发初期,SoC 的电源要求中通常会给出每个电源轨的电压和电流额定值,以及系统需要支持的预期瞬态电流。电源架构师的工作是将这些信息转换为可理解的系统级图表,进而开始硬件设计。表 1 显示了 一个SoC 电源要求示例。

表1: SoC电源要求

注意:

  1. 电压容差包括变换器的直流电压精度、负载瞬态响应和 IR 压降。

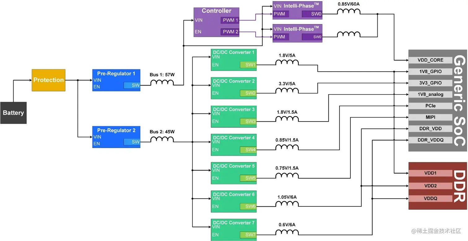
图 1 显示了根据 SoC 电源要求得到的电源树。

图1: 电源树

注意,图中有两个预调节器用于将每个变换器的输出功率限制在 50W 左右。采用两个预调节器可以让设计人员有更广的 IC 选择范围。

选择预调节器拓扑

设计预调节器的第一个步骤是确定其拓扑。根据所需的工作条件,预调节器可以是降压变换器、升降压变换器,或者降压和升压变换器的组合。

如果要求系统可以在热启动条件下运行,但也可以在更严苛的冷启动条件下短暂关断,则建议选择降压变换器拓扑以优化成本与效率;如果要求任一电路的电压在热启动条件下都超过 5V,则可以添加一个后升压变换器来确保能为电路提供所需电压;而如果要求电路也同时支持严苛的冷启动条件,那么选择升降压变换器可以确保系统在所有可能条件下均正常运行。但要注意,升降压变换器通常比简单的降压变换器更昂贵,效率也更低。本设计示例选用了降压变换器。

设置总线电压

拓扑确定之后,设计人员就需要考虑总线电压了。总线电压通常为 3.3V 或 5V,它为所有下游变换器供电。大多数低电流 DC/DC IC 都可以在最高 5.5V 的电压下工作,因此两种总线电压都可选。但带控制器和 Intelli-PhaseTM 变换器的解决方案则必须在≥5V 的总线上运行。

选择低总线电压的主要目的是降低成本,因为直接降压至 3.3V 有些情况下可以减少变换器的使用数量;但当电压转换至 5V 时,它又需要较高的输出电流。

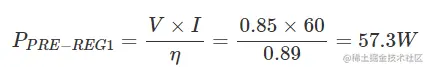
预调节器的额定功率是应用效率系数时其下游变换器输出功率的总和。为简单起见,我们假设所有变换器的效率都为 89%。预调节器 1 (PPRE-REG1) 的功率可以通过公式 (1) 来计算:

预调节器 2 (PPRE-REG2) 的功率可通过公式 (2) 估算:

然后计算每个预调节器的输出电流。使用公式 (3) 计算预调节器 1 的输出电流 (IPRE-REG1_5V) :

使用公式 (4) 估算预调节器 2在3.3V 总线电压下的输出电流 (IPRE-REG2_3.3V) :

使用公式 (5) 估算预调节器 2在3.3V 总线电压下的输出电流 (IPRE-REG2_5V) :

由于系统额定功率较高,5V 总线电压允许低于 3.3V 总线电压的输出电流。因此,建议选择 5V 总线电压,从而降低所需 DC/DC 变换器的复杂性。

选择IC

确定拓扑与输出负载之后,设计人员就可以选择预调节器IC。该 IC 必须支持负载突降条件下的 42V 输入电压,并且能够在热启动条件下以低至 6V 的电压工作。此外,输出负载能力也应≥11.5A,或者并联两个器件以达到该电流。由于功率水平相当,两个预调节器可以采用相同的 IC。找正品元器件,上唯样商城。

MPQ4360-AEC1 是一款额定电流为 6A 的同步降压变换器,它可在多相配置下工作以实现 12A 的输出电流。交错多相操作可减小电磁辐射并允许使用更小的组件;与采用控制器和分立 FET 的解决方案相比,它具有PCB 布局更小的优势。该器件还具有22µA超低静态电流(IQ),因此非常适合汽车应用。图 2 显示了两个并联运行的 MPQ4360-AEC1。

图 2:双相 MPQ4360-AEC1 原理图

图 3 所示为双相运行的MPQ4360-AEC1 PCB 布局示例。该方案面积约为750mm2.

图 3:双相运行MPQ4360-AEC1 器件的 PCB 布局

系统保护

电池总线有可能面临危险的反向电源电压。如果系统不具备相应的保护功能,则所有器件都可能被损坏。为了防止反向电流流动,通常会在输入线上添加一个二极管。但二极管上有正向电压 (VF);当电流正常流过二极管时, VF 会产生功耗。

SoC系统的额定功率通常大于100W; 对于 一个12V 电池来说,这意味着输入电流可能超过 8A。而8A 对于一个简单的二极管来说显然过高;即使采用 VF 为 0.3V的肖特基二极管,功耗也会超过 2.4W。常用的替代方案是采用 P 沟道 MOSFET 来阻断反向电流,但这些 MOSFET 可能无法在足够长的时间内保护 IC 免受高频交流电流的影响。

MPQ5850-AEC1 是一款可以保护系统免受反向电流影响的理想二极管控制器。该器件控制一个具有强大栅极驱动能力的 N 沟道 MOSFET,可以快速阻断任何反向电流流动(见图 4),从而以最低功耗提供反向电流保护。

图 4:MPQ5850-AEC1 理想二极管控制器

确定预调节器和保护器件之后,更新电源树以反映所选组件(参见图 5)。

图 5:最终的预调节器和保护电源树

结语

为 ADAS 系统选择合适的预调节器并非易事。如果IC允许其输出在多相拓扑中并联运行,则设计会更加简单。采用 MPQ4360-AEC1 和 MPQ5850-AEC1 实现的可扩展解决方案可使每个电源轨都以较小面积满足所需的输出电流要求,同时还可降低 BOM 成本。