DNS协议 是什么?

85 阅读2分钟

开启掘金成长之旅!这是我参与「掘金日新计划 · 12 月更文挑战」的第 22 天,点击查看活动详情

DNS

DNS(Domain Names System),域名系统,是互联网一项服务,是进行域名和与之相对应的 IP 地址进行转换的服务器

简单来讲,DNS相当于一个翻译官,负责将域名翻译成ip地址

  • IP 地址:一长串能够唯一地标记网络上的计算机的数字
  • 域名:是由一串用点分隔的名字组成的 Internet 上某一台计算机或计算机组的名称,用于在数据传输时对计算机的定位标识

#二、域名

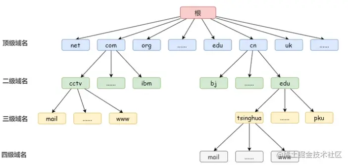
域名是一个具有层次的结构,从上到下一次为根域名、顶级域名、二级域名、三级域名...

例如www.xxx.comwww为三级域名、xxx为二级域名、com为顶级域名,系统为用户做了兼容,域名末尾的根域名.一般不需要输入

在域名的每一层都会有一个域名服务器,如下图:

除此之外,还有电脑默认的本地域名服务器

#三、查询方式

DNS 查询的方式有两种:

  • 递归查询:如果 A 请求 B,那么 B 作为请求的接收者一定要给 A 想要的答案

  • 迭代查询:如果接收者 B 没有请求者 A 所需要的准确内容,接收者 B 将告诉请求者 A,如何去获得这个内容,但是自己并不去发出请求

#四、域名缓存

在域名服务器解析的时候,使用缓存保存域名和IP地址的映射

计算机中DNS的记录也分成了两种缓存方式:

  • 浏览器缓存:浏览器在获取网站域名的实际 IP 地址后会对其进行缓存,减少网络请求的损耗
  • 操作系统缓存:操作系统的缓存其实是用户自己配置的 hosts 文件

结语

本文到此结束,谢谢大家的观看!

如有问题,欢迎各位指正!