Tableau的开源替代Rath:更自动、更智能

960 阅读5分钟

RATH是一款自动化数据探索分析工具,它可以更加自由且智能的帮助你探索挖掘你的数据集。

本文主要简略的介绍RATH的主要功能模块,帮助你对RATH的产品功能建立一个基础的认知。更多详细的使用方式和案例可以参考 教程系列文章。

相关资源

数据源

进入RATH后,你可以选择适合你的数据源类型。

注意:目前文件类型暂时只支持csv和json,其他文件类型如excel的xslx,需要导出到csv后,才能在Rath中使用。

RATH支持多种不同类型的数据源和数据服务。

这里我们以官方提供数据集为例,选择Cars数据集,加载数据。可以看到我们的数据是一个描述汽车各项指标的表格。在这里,你可以对数据有一个大概的预览,也可以根据自己的需求,对数据进行清洗、筛选、或是信息括展(比如根据你数据中的日期、地点推断一些额外的信息或维度)

这里你可以根据需求,调整配置数据字段的类型。

如果你的字段比较多,也可以切换“视图模式”到元数据视图,以更方便的修改数据类型。

调整好信息之后,点击开始分析,即可进入分析视图。

全自动分析模块

只需要点击开始分析,RATH就会帮你自动的探索整个数据集,并发现一些有趣的规律和问题,并自动生成可视化。相比于完全依赖分析师手动分析的tableau,Rath的效率会前所未有的高。这里是RATH自动化推荐一些数据中比较有趣的可视化视图:

这里,你可以浏览RATH给到的推荐,寻找你感兴趣的视图。如果你对某个RATH的推荐视图比较感兴趣,想进一步探索,可以点击“联想”。RATH会联想一些与当前你关注的视图相关的视图,你可以在相关联的视图中进一步探索数据。

如果你对某张关联视图很感兴趣,可以继续点击关联视图中的联想,RATH会将这张联想的视图作为主视图,从而进行进一步的联想分析。

有时,你可能想对一张视图进行快速的编辑,这时,你可以点击“+维度”或“+度量”或视图下方的字段配置(点击X可以删除字段)。

或者你想要更加自由自主的进行可视化探索分析,或对图表进行详细的配置,那么你可以点击图表上方的“编辑图表”,进入到一个手动的自助分析模块。

自主分析模块(手动分析)

在这里,你可以通过自由的拖拉拽交互,来手动的配置可视化视图。

左侧的字段列表中,是原始数据集的所有的字段信息,右侧是可视化视图和配置项。你可以选择想要的字段拖入或拖出视图配置。也可以调整视图的尺寸、聚合方式等。

这里你也可以自由的对字段类型进行转化(维度、度量互相转化),或者创建一些字段转换或计算字段。比如我们想做Displacement 和 Horsepower的热力图,那么我们要先创建字段分箱,然后使用分箱后的新维度,配合行数,制作热力图。

半自动化探索分析

半自动探索分析,是一个融合了自动化分析引擎和自助交互的分析方式。在这里,RATH会每次为你推荐接下来建议你分析的内容,在这些建议中,你可以自由的选择你关注的方向。然后RATH会根据你关注的方向进一步推荐接下来值得你关注的点。

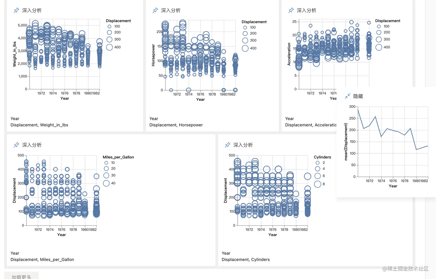
你可以下滑查看更多的关联视图,当你滑动离开主视图区域,在右侧会通过小图的形式展示当前的主视图是什么,以方便你对比主视图和关联视图之间的关系。

如果你对关联的视图感兴趣,可以点击深入分析以便将你感兴趣的视图作为主视图,这也会触发RATH自动的根据你当前关注主视图的变化,调整关联视图的推荐。

RATH有时会推荐你接下来选择一个数据子集进行分析,这允许你后续都只在你关注的数据子集中进行分析,而不再是全量数据的分析。

同样,你可以在主视图的下方看到当前视图的数据配置,这里你可以点击X,来删除你不想要的信息,从而回到之前的视图状态。

如果你对可视化视图比较感兴趣,也可以点击编辑图表进入到自助分析模块中进行定制化的配置。

这里RATH和探索分析相关的主要模块就介绍完了。另外一些模块如、数据转化、数据绘板、报表配置、计算流可视化等功能可以关注Kanaries的公众号,我们会持续更新最新的文档和教程。