[杨小白]_leetcode_力扣_12月19日每日一题_1971. 寻找图中是否存在路径

94 阅读2分钟

开启掘金成长之旅!这是我参与「掘金日新计划 · 12 月更文挑战」的第27天,点击查看活动详情

前言

小白算法比较菜,希望能激励我每日更新,从leetcode第一题开始,2022年目标2000分,现在1995!!

12月19日每日一题

1971. 寻找图中是否存在路径

有一个具有 n 个顶点的 双向 图,其中每个顶点标记从 0 到 n - 1(包含 0 和 n - 1)。图中的边用一个二维整数数组 edges 表示,其中 edges[i] = [ui, vi] 表示顶点 ui 和顶点 vi 之间的双向边。 每个顶点对由 最多一条 边连接,并且没有顶点存在与自身相连的边。

请你确定是否存在从顶点 source 开始,到顶点 destination 结束的 有效路径 。

给你数组 edges 和整数 n、source 和 destination,如果从 source 到 destination 存在 有效路径 ,则返回 true,否则返回 false 。

示例 1:

image.png

输入:n = 3, edges = [[0,1],[1,2],[2,0]], source = 0, destination = 2

输出:true

解释:存在由顶点 0 到顶点 2 的路径:

  • 0 → 1 → 2
  • 0 → 2

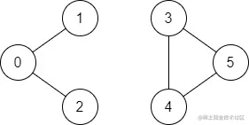
示例 2:

image.png

输入:n = 6, edges = [[0,1],[0,2],[3,5],[5,4],[4,3]], source = 0, destination = 5

输出:false

解释:不存在由顶点 0 到顶点 5 的路径.

提示:

  • 1 <= n <= 2 * 105
  • 0 <= edges.length <= 2 * 105
  • edges[i].length == 2
  • 0 <= ui, vi <= n - 1
  • ui != vi
  • 0 <= source, destination <= n - 1
  • 不存在重复边
  • 不存在指向顶点自身的边

代码

比较好想的一种做法就是bfs或者dfs吧,先建图,然后从source开始找如果能找到destination就返回true,如果把能遍历的都遍历完了还没找到就返回false

方法二,并查集。 并查集需要两个方法find和union,find(a)就是查a的根节点,只要find(source)和find(destination)相等,说明返回true

image.png

image.png

解法

class Solution {
    public boolean validPath(int n, int[][] edges, int source, int destination) {
        int[] pnode = new int[n];
        for(int i = 0; i < n; i++) {
            pnode[i] = i;
        }
        for(int i = 0;i < edges.length; i++){
            union(edges[i][0], edges[i][1], pnode);
        }
        return find(source,pnode)==find(destination,pnode);
    }
    void union(int a, int b, int[] pnode) {
        a = find(a, pnode);
        b = find(b, pnode);
        pnode[b] = a;
    }
    int find(int a, int[] pnode) {
        if(a != pnode[a]) {
            pnode[a] = find(pnode[a], pnode);
        }
        return pnode[a];
    }
}