寻找图中是否存在路径

55 阅读1分钟

开启掘金成长之旅!这是我参与「掘金日新计划 · 12 月更文挑战」的第26天,点击查看活动详情

1971. 寻找图中是否存在路径

难度简单96

有一个具有 n 个顶点的 双向 图,其中每个顶点标记从 0 到 n - 1(包含 0 和 n - 1)。图中的边用一个二维整数数组 edges 表示,其中 edges[i] = [ui, vi] 表示顶点 ui 和顶点 vi 之间的双向边。 每个顶点对由 最多一条 边连接,并且没有顶点存在与自身相连的边。

请你确定是否存在从顶点 source 开始,到顶点 destination 结束的 有效路径 。

给你数组 edges 和整数 nsource 和 destination,如果从 source 到 destination 存在 有效路径 ,则返回 true,否则返回 false 。

 

示例 1:

输入: n = 3, edges = [[0,1],[1,2],[2,0]], source = 0, destination = 2
输出: true
解释: 存在由顶点 0 到顶点 2 的路径:
- 012 
- 02

示例 2:

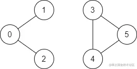
输入: n = 6, edges = [[0,1],[0,2],[3,5],[5,4],[4,3]], source = 0, destination = 5
输出: false
解释: 不存在由顶点 0 到顶点 5 的路径.

 

提示:

  • 1 <= n <= 2 * 105
  • 0 <= edges.length <= 2 * 105
  • edges[i].length == 2
  • 0 <= ui, vi <= n - 1
  • ui != vi
  • 0 <= source, destination <= n - 1
  • 不存在重复边
  • 不存在指向顶点自身的边

使用广度优先搜索判断顶点 到顶点 的连通性,需要我们从顶点开始按照层次依次遍历每一层的顶点,检测是否可以到达顶点。

代码

class Solution {
public:
    bool validPath(int n, vector<vector<int>>& edges, int source, int destination) {
        vector<vector<int>> adj(n);
        for (auto &&edge : edges) {
            int x = edge[0], y = edge[1];
            adj[x].emplace_back(y);
            adj[y].emplace_back(x);
        }
        vector<bool> visited(n, false);
        queue<int> qu;
        qu.emplace(source);
        visited[source] = true;
        while (!qu.empty()) {
            int vertex = qu.front();
            qu.pop();
            if (vertex == destination) {
                break;
            }
            for (int next: adj[vertex]) {
                if (!visited[next]) {
                    qu.emplace(next);
                    visited[next] = true;
                }
            }
        }
        return visited[destination];
    }
};