寻找图中是否存在路径

598 阅读1分钟

开启掘金成长之旅!这是我参与「掘金日新计划 · 12 月更文挑战」的第29天,点击查看活动详情

1971. 寻找图中是否存在路径 - 力扣(LeetCode)

有一个具有 n 个顶点的 双向 图,其中每个顶点标记从 0n - 1(包含 0n - 1)。图中的边用一个二维整数数组 edges 表示,其中 edges[i] = [ui, vi] 表示顶点 ui 和顶点 vi 之间的双向边。 每个顶点对由 最多一条 边连接,并且没有顶点存在与自身相连的边。

请你确定是否存在从顶点 source 开始,到顶点 destination 结束的 有效路径

给你数组 edges 和整数 nsourcedestination,如果从 sourcedestination 存在 有效路径 ,则返回 true,否则返回 false

示例 1:

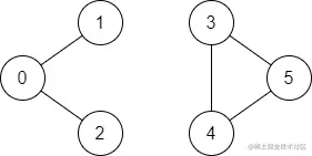
输入: n = 3, edges = [[0,1],[1,2],[2,0]], source = 0, destination = 2
输出: true
解释: 存在由顶点 0 到顶点 2 的路径:
- 0 → 1 → 2
- 0 → 2

示例 2:

输入: n = 6, edges = [[0,1],[0,2],[3,5],[5,4],[4,3]], source = 0, destination = 5
输出: false
解释: 不存在由顶点 0 到顶点 5 的路径.

提示:

  • 1 <= n <= 2 * 10^5
  • 0 <= edges.length <= 2 * 10^5
  • edges[i].length == 2
  • 0 <= ui, vi <= n - 1
  • ui != vi
  • 0 <= source, destination <= n - 1
  • 不存在重复边
  • 不存在指向顶点自身的边

思路

本题可以深度优先或广度优先遍历边进行求解,以source为起点,找所有和source连通的点,再以这些点为起点找连通点,循环往复,直到找到了destination点,返回true,或者找不到新的连通的点返回false

图的连通性问题,我们还可以使用归并集求解。图中有n个点,我们初始化成n个结合,遍历边,把边连通的节点所在的集合归并到一个集合,最后求sourcedestination是否在同一个集合,如果在同一集合,返回true,否则返回false

解题

/**
 * @param {number} n
 * @param {number[][]} edges
 * @param {number} source
 * @param {number} destination
 * @return {boolean}
 */
var validPath = function (n, edges, source, destination) {
  const uf = new Array(n).fill(null).map((_, i) => i);
  const find = (x) => {
    if (uf[x] !== x) {
      uf[x] = find(uf[x]);
    }
    return uf[x];
  };
  const merge = (x, y) => {
    x = find(x);
    y = find(y);
    uf[x] = y;
  };
  for (let edge of edges) {
    merge(...edge);
  }
  return find(source) === find(destination);
};