【Java刷题25 -1】力扣:19. 删除链表的倒数第 N 个结点

87 阅读2分钟

开启掘金成长之旅!这是我参与「掘金日新计划 · 12 月更文挑战」的第 天,点击查看活动详情


题目、19. 删除链表的倒数第 N 个结点

原题链接:19. 删除链表的倒数第 N 个结点

题目描述

给你一个链表,删除链表的倒数第 n 个结点,并且返回链表的头结点。

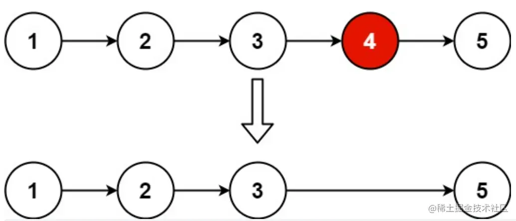
示例 1:

在这里插入图片描述

输入:head = [1,2,3,4,5], n = 2

输出:[1,2,3,5]

/

示例 2:

输入:head = [1], n = 1

输出:[]

/

示例 3:

输入:head = [1,2], n = 1

输出:[1]

解题思路

题目要求我们删除指定的倒数第n个节点,并且返回链表的头节点。

为了得到倒数第n个节点的位置,我们需要遍历整个链表,记录节点的数量,但是我们知道,链表是单向的,当我们遍历完整个链表,就没有办法再回到遍历过节点前的位置了。

为了解决这个问题,我们就需要额外创建新的链表,将其指向头节点,这么一来,当我们遍历完链表,就可以通过另外一个头节点操作链表,删除倒数第n个位置的节点。

当我们对链表完成删除操作,就相当于再一次遍历了链表,又找不回头节点了,所以还要提前建立一个链表,将头节点指向head,方便我们删除完节点后还能返回头节点。

总的来说,我们新创建了两个额外的头节点,方便返回头节点位置。

这么一来,我们就成功通过两次遍历完成需求,第一次遍历获取链表长度,第二次遍历完成了节点的删除...

提交代码

/**
 * Definition for singly-linked list.
 * public class ListNode {
 *     int val;
 *     ListNode next;
 *     ListNode() {}
 *     ListNode(int val) { this.val = val; }
 *     ListNode(int val, ListNode next) { this.val = val; this.next = next; }
 * }
 */
class Solution {
    public ListNode removeNthFromEnd(ListNode head, int n) {
        int len = 0;                      //用于记录链表长度
        ListNode temp = head;             //指向链表第一个元素
        ListNode curr = new ListNode(0,head); //创建一个待头节点的链表,头节点指向链表的第一个元素
        while(temp != null){              //遍历链表
            temp = temp.next;             //从第一个元素开始遍历
            len++;                        //记录节点个数
        }
        temp = curr;                      //使用带头结点的链表遍历
        for(int i = 1;i < len-n+1 ;++i){  //从头节点0的下一个元素开始,遍历到倒数第n个数的前一个节点
            temp = temp.next;                 
        }
        temp.next = temp.next.next;       //删除倒数第n个节点
        return curr.next;                 //返回链表中第一个节点坐标

    }
}

提交结果

在这里插入图片描述