#include <stdio.h>
#include <stdlib.h>
typedef struct TreeNode {
char data;
struct TreeNode* lchild;
struct TreeNode* rchild;
}TreeNode;
void createTree(TreeNode** T, char* data, int* index) {
char ch;
ch = data[*index];
*index += 1;
if (ch == '#') {
*T = NULL;
}
else {
*T = (TreeNode*)malloc(sizeof(TreeNode));
(*T) -> data = ch;
createTree(&((*T)->lchild), data, index);
createTree(&((*T)->rchild), data, index);
}
}
void preOrder(TreeNode* T) {
if (T == NULL) {
return;
}
else {
printf("%c ", T->data);
preOrder(T->lchild);
preOrder(T->rchild);
}
}
void inOrder(TreeNode* T) {
if (T == NULL) {
return;
}
else {
inOrder(T->lchild);
printf("%c ", T->data);
inOrder(T->rchild);
}
}
void postOrder(TreeNode* T) {
if (T == NULL) {
return;
}
else {
postOrder(T->lchild);
postOrder(T->rchild);
printf("%c ", T->data);
}
}
int main(int argc, char* argv[]) {
TreeNode* T;
int index = 0;
createTree(&T, argv[1], &index);
preOrder(T);
printf("\n");
inOrder(T);
printf("\n");
postOrder(T);
printf("\n");
return 0;
}

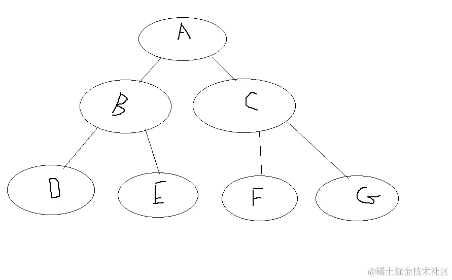
- 前序:ABDECFG
- 中序:DBEAFCG
- 后序: DEBFGCA
