【Java语言】— Java基础语法01

104 阅读3分钟

Java基础语法

1.注释

什么是注释

注释是写在程序中对代码进行解释说明的文字,方便自己和他人查看,以便理解程序。

注释有哪些

(1)单行注释

// 注释内容,只能写一行

(2)多行注释

/*
注释内容1
注释内容2
*/

(3)文档注释

/**
注释内容
注释内容
*/

注释的特点:注释不影响程序的执行

多学一招

快捷键进行注释功能效果
Ctrl + /单行注释
Ctrl + shift + /对选中的代码进行多行注释

2.字面量

计算机是用来处理数据的,字面量就是告诉程序员:数据在程序中的书写格式。

常用数据

在这里插入图片描述

3.变量

什么是变量

变量就是用来储存一个数据的内存区域(可以理解为盒子)且里面存储的数据可以变化。

变量定义的格式

数据类型 变量名称  = 初始值;
  1. 数据类型:强制限制盒子中存储数据的形式。例如:int(整数类型),double(小数类型)。
  2. 变量名称:取名称,首字母建议小写,有意义。
  3. 初始值:存储的初始数据。例如:double money = 6.0;

4.变量的注意事项

变量定义有哪些注意点?

  1. 变量要先声明再使用
  2. 什么类型变量存储什么类型的数据
  3. 变量存在访问范围,同一个范围变量名不能重复。
  4. 变量定义的时候可以没有初始值,但是使用的时候必须给初始值。

5.变量在计算机中的底层原理

二进制

只有0 、1,按照逢2进1的方式表示数据;
在这里插入图片描述

十进制转化二进制

  • 除二取余法

在这里插入图片描述

6.计算机中的数据的最小单位

计算机最小的组成单元是:使用8个二进制位为一组,来保存数据,我们称之为一个字节(byte,简称B),其中的每个二进制位称为一位(bit,简称b),1byte=8bit简写:1B=8b

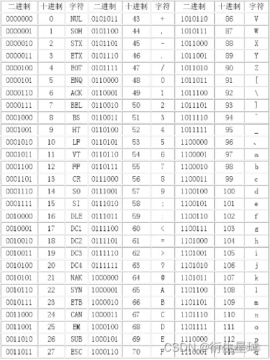
7.字符、图片在计算机的存储

字符在计算机中是如何存储的呢?

  • ASCII编码表

在这里插入图片描述 代码验证: 在这里插入图片描述

图片数据—彩色图是如何存储的呢?

  • 图片就是无数个像素点组成的
  • 每个像素点的数据: 用0~255.255.255.255表示其他颜色

8.多学一招

十进制转二进制:除二取余法

在这里插入图片描述

二进制转十进制

在这里插入图片描述 在这里插入图片描述

八进制、十六进制的介绍

为了方便观察和表示二进制,推出了八进制和十六进制。

  1. 每3位二进制作为一个单元,最小的是0,最大的是7,共8个数字,这就是八进制
  2. 每4位二进制作为一个单元,最小的是0,最大的是15,共16个数字,以此用0~9 A B C D E F代表,这就是十六进制
  3. 注意:Java程序中支持书写二进制,八进制,十六进制的数据,分别需要以0B或0b、0、0X或0x开头。

例如:

 	System.out.println("--二进制--");
        int i1 = 0B01100001;
        System.out.println(i1);

        System.out.println("--八进制--");
        int i2 = 0141;
        System.out.println(i2);

        System.out.println("--十六进制--");
        int i3 = 0x61;
        System.out.println(i3);

结果为:

在这里插入图片描述

9.计算机的数据单位

  1. 计算机最小的组成单元是:字节,1B=8b 。
  2. 在B的基础上,计算机发展了KB、MB、GB、TB.....等数据单位。

在这里插入图片描述