【数据结构与算法】手撕链表OJ题

74 阅读11分钟

开启掘金成长之旅!这是我参与「掘金日新计划 · 12 月更文挑战」的第27天,点击查看活动详情

移除链表元素

给你一个链表的头节点 head 和一个整数 val ,请你删除链表中所有满足 Node.val == val 的节点,并返回 新的头节点

image-20220731181343125

思路一:一种比较普遍的方式,边遍历边找不同。我们可以通过定义两个指针,一个指向头节点,一个置为NULL。当遇到值为相同的时候,直接跳过去。指向下一位。同时,我们要去注意头删的问题,因为题目中给出的函数具有头结点head。

struct ListNode* removeElements(struct ListNode* head, int val){
    struct ListNode*cur = head;
    struct ListNode*prev = NULL;
    while(cur)
    {
        if(cur->val == val)
        {
            if(cur==head)
            {
                head = head->next;
                free(cur);
                cur = head;
            }
            else
            {
                prev->next = cur->next;
                free(cur);
                cur = prev->next;
            }
        }
        else
        {
            prev = cur;
            cur = cur->next;
        }
    }
    return head;
}

image-20220731210336595

思路二:给一个新的链表,不是val的结点尾插到新链表即可。最后结点置为NULL。同时,还是要注意头结点的问题

struct ListNode* removeElements(struct ListNode* head, int val){ 
    struct ListNode*cur = head;
    struct ListNode*newhead= NULL,*tail =NULL;
    while(cur)
    {
        if(cur->val!=val)
        {
            if(tail==NULL)
            {
                newhead = tail = cur;
            }
            else
            {
                tail->next = cur;
                tail = tail->next;
            }
            cur = cur->next;
        }
        else
        {
            struct ListNode*del = cur;
            cur = cur->next;
            free(del);
        }
    }
    if(tail)
    tail->next = NULL;
    return newhead;
}
   

image-20220731214002233

我们不难发现,如果没有头结点,我们都要去关注,所以我们可以给出带头结点的单链表来进行实现

struct ListNode* removeElements(struct ListNode* head, int val){
    struct ListNode*cur = head;
    struct ListNode*guard = (struct ListNode*)malloc(sizeof(struct ListNode));
    struct ListNode*tail = guard;
    while(cur)
    {
        if(cur->val != val)
        {
            tail->next = cur;
            tail = tail->next;
            cur = cur->next;
        }
        else
        {
            struct ListNode*del = cur;
            cur = cur->next;
            free(del);
        }
    }
    if(tail)
          tail->next = NULL;
    head = guard->next;
    free(guard);
    return head;
}

image-20220731220755370

有头结点之后我们就不需要去考虑删除第一个元素的事了。

合并两个有序链表

将两个升序链表合并为一个新的 升序 链表并返回。新链表是通过拼接给定的两个链表的所有节点组成的。

img

image-20220731223246286

思路:比较简单,创建一个带头结点的链表,去比较数据的大小尾插到新链表的后面即可。

struct ListNode* mergeTwoLists(struct ListNode* list1, struct ListNode* list2){
     struct ListNode*guard = (struct ListNode*)malloc(sizeof(struct ListNode));
    guard->next = NULL;
    struct ListNode*cur1 = list1;
    struct ListNode*cur2 = list2;
    struct ListNode*tail = guard;
    while(cur1&&cur2)
    {
        if(cur1->val<cur2->val)
        {
            tail->next = cur1;
            cur1 = cur1->next; 
        }
        else
        {
            tail->next = cur2;
            cur2 = cur2->next;
        }
        tail = tail->next;
    }
    if(cur1)
    {
        tail->next = cur1;
    }
    if(cur2)
    {
        tail->next = cur2;
    }
    struct ListNode*head = guard->next;
    free(guard);
    return head;
}

image-20220731232618494

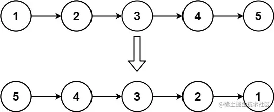
反转链表

给你单链表的头节点 head ,请你反转链表,并返回反转后的链表。

img

image-20220731234142423

思路一:取结点头插到新的结点

struct ListNode* reverseList(struct ListNode* head){
    struct ListNode*cur = head;
    struct ListNode*newhead = NULL;
    while(cur)
    {
        struct ListNode*next = cur->next;
        cur->next = newhead;
        newhead = cur;
        cur = next;
    }
    return newhead;
}

image-20220801000347464

思路二:直接把指针的方向进行翻转即可,使得链表翻转

struct ListNode* reverseList(struct ListNode* head){
    struct ListNode*cur = head;
    struct ListNode*prev = NULL;
    while(cur)
    {
        struct ListNode*next = cur->next;
        cur->next = prev;

        prev = cur;
        cur = next;
    }
    return prev;
}

image-20220801134710698

链表的中间结点

给定一个头结点为 head 的非空单链表,返回链表的中间结点。

如果有两个中间结点,则返回第二个中间结点。

image-20220801134937377

思路:可以遍历一遍求出长度在除以2。不过我们采用另一种做法只遍历链表一遍即可,采用快慢指针即可。慢指针一次走一步,快指针一次走两步,我们要区分是奇数个结点还是偶数个结点。

对于奇数个:fast到尾,而slow刚好到中间结点

对于偶数个:fast走到空,而slow刚好走到中间结点。

struct ListNode* middleNode(struct ListNode* head){
    struct ListNode*fast = head;
    struct ListNode*slow = head;
    while(fast&&fast->next)
    {
        slow = slow->next;
        fast = fast->next->next;
    }
    return slow;
}

链表中倒数第k个结点

输入一个链表,输出该链表中倒数第k个结点。

image-20220801135930540

思路:还是采用快慢指针的做法。slow每次走一步,而fast我们先让它去走K步。然后再同时走。

image-20220801140855969

struct ListNode* FindKthToTail(struct ListNode* pListHead, int k ) {
    // write code here
    struct ListNode*slow = pListHead,*fast = pListHead;
    while(k--){
        //k大于链表长度
        if(fast == NULL)
            return NULL;
        fast = fast->next;
    }
    while(fast){
        fast = fast->next;
        slow = slow->next;
    }
    return slow;
}

image-20220801140939055

fast如果是先走K-1步呢?既把K--改为--K呢?里面的一些条件我们就需要去进行修改了(我们着重去分析一些边界的问题):

struct ListNode* FindKthToTail(struct ListNode* pListHead, int k ) {
    // write code here
    struct ListNode*slow = pListHead,*fast = pListHead;
    while(fast&&--k){
        fast = fast->next;
    }
      if(fast == NULL)
            return NULL;
    
    while(fast->next){
        fast = fast->next;
        slow = slow->next;
    }
    return slow;
}

image-20220801145721176

链表分割

现有一链表的头指针 ListNode* pHead,给一定值x,编写一段代码将所有小于x的结点排在其余结点之前,且不能改变原来的数据顺序,返回重新排列后的链表的头指针。

思路:我们给出两个带头结点的新链表,值小于X的放在第一条链表,值大于X的放在第二条链表,最后两个新链表连接起来即可。同时,我们需要注意到如果链表为空的时候,我们可以画个图:

image-20220801150705579

public:
    ListNode* partition(ListNode* pHead, int x) {
        // write code here
        ListNode*lessguard = (ListNode*)malloc(sizeof(ListNode));
        lessguard->next = NULL;
        ListNode*lesstail = lessguard;
        ListNode*greaterguard = (ListNode*)malloc(sizeof(ListNode));
        greaterguard->next =NULL;
        ListNode*greatertail = greaterguard;
        ListNode*cur = pHead;
        while(cur)
        {
            if(cur->val<x)
            {
                lesstail->next = cur;
                lesstail = lesstail->next;
            }
            else
            {
                greatertail->next = cur;
                greatertail = greatertail->next;
            }
            cur = cur->next;
        }
        lesstail->next = greaterguard->next;
        greatertail->next = NULL;
        pHead = lessguard->next;
        free(lessguard);
        free(greaterguard);
        return pHead;
    }
};

image-20220801151015173

回文链表

给你一个单链表的头节点 head ,请你判断该链表是否为回文链表。如果是,返回 true ;否则,返回 false

image-20220801162750701

思路:找到中间位置,进行后半段逆置,进行比对即可,到最后都为NULL。这其实就是找链表的中间结点以及反转链表的合集

image-20220801161608294

class Solution {
public:
    //反转链表
      struct ListNode* reverseList(struct ListNode* head) {
        struct ListNode* newhead = NULL;
        struct ListNode* cur = head;
        while (cur)
        {
            struct ListNode* next = cur->next;
            cur->next = newhead;
            newhead = cur;
            cur = next;
        }
        return newhead;
    }
    //中间结点
     struct ListNode* middleNode(struct ListNode* head) {
         struct ListNode*slow = head;
         struct ListNode*fast = head;
         while(fast&&fast->next)
         {
             slow = slow->next;
             fast = fast->next->next;
         }
         return slow;

}
    bool isPalindrome(ListNode* head) {
        // write code here
        struct ListNode* mid = middleNode(head);
        struct ListNode* ret = reverseList(mid);
        //1 2 3 2 1
        //先反转中间以后的
        //1 2 1 2 3
        while (head && ret)
        {
            if (head->val == ret->val)
            {
                head = head->next;
                ret = ret->next;
            }
            else
            {
                return false;
            }
        }
        return true;
    }
};

image-20220801162826540

另一种解法:创建一个链表使之存放原链表的反转结果,然后在与原链表进行一一对比即可判断是否回文:

class Solution {
public:
    bool isPalindrome(ListNode* head) {
        // write code here
        struct ListNode*cur = head;
        struct ListNode*newhead = NULL;
        struct ListNode*next = NULL;
        while(cur)
        {
            newhead = (struct ListNode*)malloc(sizeof(struct ListNode));
            newhead->val = cur->val;
            newhead->next = next;
            next = newhead;
            cur = cur->next;
        }
        while(head)
        {
            if(newhead->val!=head->val)
            {
                return false;
            }
            else
            {
                newhead =newhead->next;
                head = head->next;
            }
        }
        return true;
     
    }
};

image-20220802162342002

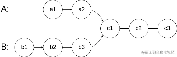
相交链表

给你两个单链表的头节点 headA 和 headB ,请你找出并返回两个单链表相交的起始节点。如果两个链表不存在相交节点,返回 null 。

图示两个链表在节点 c1 开始相交:

img

题目数据 保证 整个链式结构中不存在环。

思路:首先需要确定有没有相交,在于尾结点的地址是否相同

找交点——求出长度,既是LenA和LenB的长度。长链表先走差距步,后再同时走,第一个相等就是所求的交点,因为我们已经判断了是否相交。

struct ListNode *getIntersectionNode(struct ListNode *headA, struct ListNode *headB) {
    struct ListNode*curA = headA,*curB = headB;
    int LenA = 0;
    int LenB = 0;
    while(curA)
    {
        curA = curA->next;
        LenA++;
    }
    while(curB)
    {
        curB = curB->next;
        LenB++;
    }
    if(curA!=curB)
    {
        return NULL;
    }
   struct ListNode*longList = headA,*shortList = headB;
   if(LenA<LenB)
   {
       longList = headB;
       shortList = headA;
   }
   int gap = abs(LenA-LenB);
   while(gap--)
   {
       longList = longList->next;
   }
   while(longList != shortList)
   {
       longList = longList->next;
       shortList = shortList->next;
   }
   return longList;
}

image-20220801175458031

环形链表

给你一个链表的头节点 head ,判断链表中是否有环。

如果链表中有某个节点,可以通过连续跟踪 next 指针再次到达,则链表中存在环。 为了表示给定链表中的环,评测系统内部使用整数 pos 来表示链表尾连接到链表中的位置(索引从 0 开始)。注意:pos 不作为参数进行传递 。仅仅是为了标识链表的实际情况。

如果链表中存在环 ,则返回 true 。 否则,返回 false 。

image-20220801180805501

思路:带环链表不能遍历。。。我们可以用快慢指针来解决这道题目,快慢指针,即慢指针一次走一步,快指针一次走两步,两个指针从链表其实位置开始运行,如果链表带环则一定会在环中相遇,否则快指针率先走到链表的末尾

image-20220801185307041

bool hasCycle(struct ListNode *head) {
    struct ListNode*slow = head;
    struct ListNode*fast = head;
    while(fast &&fast->next)
    {
        slow = slow->next;
        fast = fast->next->next;
        if(slow == fast)
        {
            return true;
        }
    }
    return false;
    
}

image-20220801185431363

延伸问题

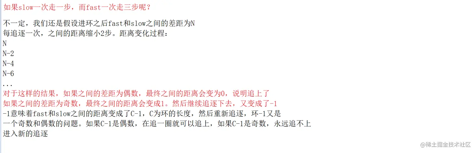
为什么快指针每次走两步,慢指针走一步可以追上,会不会错过?

  • slow一次走一步,fast一次走三步呢

  • slow一次走一步,fast一次走X步呢

  • slow一次走Y步,fast一次走X步呢

image-20220801193358179

image-20220801201148480

后面的问题也是类似的解法,对于slow一次走一步,fast一次走X步呢?每次的距离缩小X-1

而对于slow一次走Y步,fast一次走X步呢?每次的距离缩小X-Y

这其实就是相对距离缩小的问题

环形链表 II😱

给定一个链表的头节点 head ,返回链表开始入环的第一个节点。 如果链表无环,则返回 null。

如果链表中有某个节点,可以通过连续跟踪 next 指针再次到达,则链表中存在环。 为了表示给定链表中的环,评测系统内部使用整数 pos 来表示链表尾连接到链表中的位置(索引从 0 开始)。如果 pos 是 -1,则在该链表中没有环。注意:pos 不作为参数进行传递,仅仅是为了标识链表的实际情况。

不允许修改 链表。

image-20220801211903771

思路一:这里先说一个结论(入环的第一个节点):

让一个指针从链表起始位置开始遍历链表,同时让一个指针从相遇点的位置开始绕环运行,两个指针都是每次均走一步,最终肯定会在入口点的位置相遇

image-20220801212815953

struct ListNode *detectCycle(struct ListNode *head) {
    struct ListNode*slow = head,*fast = head;
    while(fast && fast->next)
    {
        slow = slow->next;
        fast = fast->next->next;
        if(slow == fast)
        {
            struct ListNode*meet = slow;
            while(head!=meet)
            {
                head = head->next;
                meet = meet->next;
            }
            return meet;
        }
    }
    return NULL;
}

image-20220802131401489

思路二:转化成相交链表,从相遇点断开后,作为一个链表,另一个链表从头开始,链表开始入环的第一个节点就相当于这两个链表的交点,而找链表的交点就是上面的题目相交链表。

struct ListNode *getIntersectionNode(struct ListNode *headA, struct ListNode *headB)
 {
     struct ListNode*curA = headA,*curB = headB;
     int LenA = 0,LenB = 0;
     while(curA)
     {
         curA = curA->next;
         LenA++;
     } 
     while(curB)
     {
         curB = curB->next;
         LenB++;
     }
     if(curA != curB)
     {
         retur NULL;
     }
     struct ListNode*longlist = headA,*shortlist = headB;
     if(LenA<LenB)
     {
         longlist = headB;
         shortlist = headA;
     }
     int gap = abs(LenA-LenB);
     while(gap--)
     {
         longlist = longlist->next;
     }
     while(longlist!=shortlist)
     {
         longlist = longlist->next;
         shortlist = shortlist->next;
     }
     return longlist;
 }
struct ListNode *detectCycle(struct ListNode *head) {
    struct ListNode*slow = head,*fast = head;
    while(fast && fast->next)
    {
        slow = slow->next;
        fast = fast->next->next;
        if(slow == fast)
        {
            //找到相遇的点
            struct ListNode*meet = slow;
            struct ListNode*next = meet->next;
            //断开
            meet->next = NULL;
           struct ListNode*enterNode = getIntersectionNode(head,next);
           //恢复原来的链表
           meet->next = next;
           return enterNode;
        }
    }
    return NULL;
}

image-20220802134012441

复制带随机指针的链表😰

给你一个长度为 n 的链表,每个节点包含一个额外增加的随机指针 random ,该指针可以指向链表中的任何节点或空节点。

构造这个链表的 深拷贝。 深拷贝应该正好由 n个全新节点组成,其中每个新节点的值都设为其对应的原节点的值。新节点的 next 指针和 random 指针也都应指向复制链表中的新节点,并使原链表和复制链表中的这些指针能够表示相同的链表状态。复制链表中的指针都不应指向原链表中的节点 。

例如,如果原链表中有 X 和 Y 两个节点,其中 X.random --> Y 。那么在复制链表中对应的两个节点 x 和 y ,同样有 x.random --> y 。

返回复制链表的头节点。

用一个由 n 个节点组成的链表来表示输入/输出中的链表。每个节点用一个 [val, random_index] 表示:

val:一个表示 Node.val 的整数。 random_index:随机指针指向的节点索引(范围从 0 到 n-1);如果不指向任何节点,则为 null 。 你的代码 只 接受原链表的头节点 head 作为传入参数。

image-20220802140637862

本题较难。如果我们每个节点都去进行复制,这道题的random我们较难去处理:

image-20220802144431586

image-20220802152210269

struct Node* copyRandomList(struct Node* head) {
    //copy节点
	struct Node* cur = head;
    struct Node*copy = NULL;
    struct Node*next = NULL;
    while(cur)
    {
        //赋值链接
        next = cur->next;
        copy = (struct Node*)malloc(sizeof(struct Node));
        copy->val = cur->val;

        cur->next = copy;
        copy->next = next;
        //迭代
        cur = next;
    }
    
    //更新copy的random
    cur = head;
    while(cur)
    {
        copy = cur->next;
        if(cur->random == NULL)
        {
            copy->random = NULL;
        }
        else
        {
            copy->random = cur->random->next;
        }
        //迭代
        cur = cur->next->next;
    }
    //copy节点解下来链接在一起,恢复原链表
    struct Node*copyHead = NULL,*copyTail = NULL;
    cur = head;
    while(cur)
    {
        copy = cur->next;
        next = copy->next;

        //取节点尾插
        if(copyTail == NULL)
        {
            copyHead = copyTail = copy;
        }
        else
        {
            copyTail->next = copy;
            copyTail = copyTail->next;
        }
        //恢复原链表
        cur->next = next;

        cur = next;
    }
    return copyHead;
}

image-20220802154914177


总结

  • 通过上面的链表OJ题目,我们对于链表有了更深的了解,同时学会了一些解题的方法,同时,对于做题,我们首先要做的是去理解题目的含义,然后要多去动手画图,方便我们更好地处理一些细节的东西。

  • 当然,链表的OJ题目还有许多,这里的题目只是链表题目的代表而已,并不是说这就是所有链表的题目了,有时间的话,我们还是得多去一些刷题平台做题。