LeetCode - #95 不同的二叉搜索树 II

102 阅读2分钟

开启掘金成长之旅!这是我参与「掘金日新计划 · 12 月更文挑战」的第22天,点击查看活动详情

前言

本题由于没有合适答案为以往遗留问题,最近有时间将以往遗留问题一一完善。

我们社区陆续会将顾毅(Netflix 增长黑客,《iOS 面试之道》作者,ACE 职业健身教练。)的 Swift 算法题题解整理为文字版以方便大家学习与阅读。

LeetCode 算法到目前我们已经更新到 94 期,我们会保持更新时间和进度(周一、周三、周五早上 9:00 发布),每期的内容不多,我们希望大家可以在上班路上阅读,长久积累会有很大提升。

不积跬步,无以至千里;不积小流,无以成江海,Swift社区 伴你前行。如果大家有建议和意见欢迎在文末留言,我们会尽力满足大家的需求。

难度水平:中等

1. 描述

给你一个整数 n ,请你生成并返回所有由 n 个节点组成且节点值从 1n 互不相同的不同 二叉搜索树 。可以按 任意顺序 返回答案。

2. 示例

示例 1

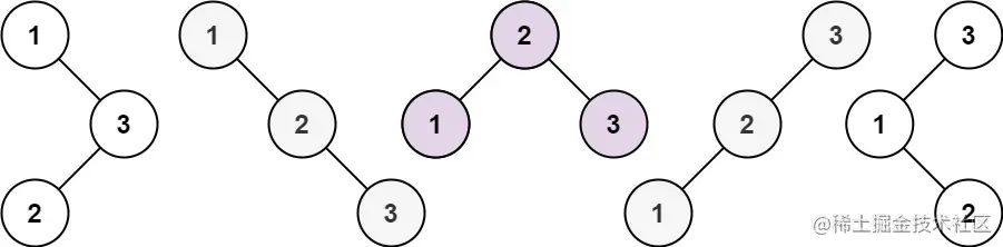
输入:n = 3
输出:[[1,null,2,null,3],[1,null,3,2],[2,1,3],[3,1,null,null,2],[3,2,null,1]]

示例 2

输入:n = 1
输出:[[1]]

示例 3

输入:s = "101023"
输出:["1.0.10.23","1.0.102.3","10.1.0.23","10.10.2.3","101.0.2.3"]

提示:

  • 1 <= n <= 8

3. 答案

/**
* Definition for a binary tree node.
* public class TreeNode {
*     public var val: Int
*     public var left: TreeNode?
*     public var right: TreeNode?
*     public init(_ val: Int) {
*         self.val = val
*         self.left = nil
*         self.right = nil
*     }
* }
*/
class Solution {
   func generateTrees(_ n: Int) -> [TreeNode?] {
       if n == 0{
           return [TreeNode?]()
       }

       return build(1, n)
   }

   func build(_ start : Int, _ end : Int) -> [TreeNode?]{
       var res = [TreeNode?]()
       if(start > end){
           res.append(nil)
           return res
       }
       if(start == end){
           var node = TreeNode(start)
           res.append(node)
           return res
       }

       for i in start...end {
           var left = build(start, i-1)
           var right = build(i+1, end)
           for leftNode in left{
               for rightNode in right{
                   var node = TreeNode(i)
                   node.left = leftNode
                   node.right = rightNode
                   res.append(node)
               }
           }

       }
       return res
   }
}

点击前往 LeetCode 练习

关于我们

我们是由 Swift 爱好者共同维护,我们会分享以 Swift 实战、SwiftUI、Swift 基础为核心的技术内容,也整理收集优秀的学习资料。