反转链表

63 阅读1分钟

开启掘金成长之旅!这是我参与「掘金日新计划 · 12 月更文挑战」的第18天,点击查看活动详情

一、题目描述

这是 LeetCode 热题 HOT 100 上第二百零六题:反转链表,难度为 简单

Tag:「链表」、「双指针」

给你单链表的头节点 head ,请你反转链表,并返回反转后的链表。

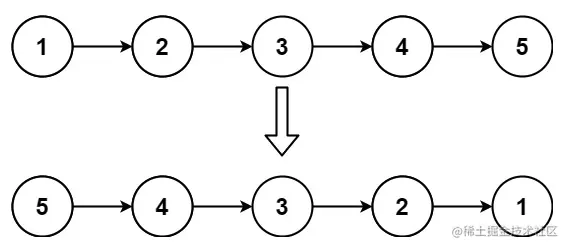
示例 1:

image-20221216192215040.png

输入:head = [1,2,3,4,5]
输出:[5,4,3,2,1]

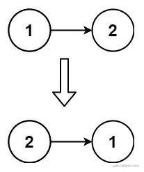
示例 2:

image-20221216192243061.png

输入:head = [1,2]
输出:[2,1]

示例 3:

输入:head = []
输出:[]

提示:

1、链表中节点的数目范围是 [0, 5000]

2、-5000 <= Node.val <= 5000

二、解题思路

2.1、法一

1)、我们可以申请两个指针,第一个指针叫 pre,最初是指向 null 的。

2)、第二个指针 cur 指向 head,然后不断遍历 cur。

3)、每次迭代到 cur,都将 cur 的 next 指向 pre,然后 pre 和 cur 前进一位。

4)、都迭代完了(cur 变成 null 了),pre 就是最后一个节点了。

代码实现:

class Solution {
	public ListNode reverseList(ListNode head) {
		//申请节点,pre和 cur,pre指向null
		ListNode pre = null;
		ListNode cur = head;
		ListNode tmp = null;
		while(cur!=null) {
		    //记录当前节点的下一个节点
		    tmp = cur.next;
		    //然后将当前节点指向pre
		    cur.next = pre;
		    //pre和cur节点都前进一位
		    pre = cur;
		    cur = tmp;
		}
		return pre;
	}
}

时间复杂度和空间复杂度分析:

时间复杂度:O(n),其中 n 是链表的长度。需要遍历链表一次。

空间复杂度:O(1)

2.2、法二

1)、这题有个很骚气的递归解法,递归解法很不好理解,这里最好配合代码和动画一起理解。 递归的两个条件:

2)、终止条件是当前节点或者下一个节点==null,在函数内部,改变节点的指向,也就是 head 的下一个节点指向 head 递归函数那句

head.next.next = head

3)、很不好理解,其实就是 head 的下一个节点指向head。递归函数中每次返回的 cur 其实只最后一个节点,在递归函数内部,改变的是当前节点的指向。

代码实现:

class Solution {
	public ListNode reverseList(ListNode head) {
		//递归终止条件是当前为空,或者下一个节点为空
		if(head==null || head.next==null) {
		    return head;
		}
		//这里的cur就是最后一个节点
		ListNode cur = reverseList(head.next);
		//这里请配合动画演示理解
		//如果链表是 1->2->3->4->5,那么此时的cur就是5
		//而head是4,head的下一个是5,下下一个是空
		//所以head.next.next 就是5->4
		head.next.next = head;
		//防止链表循环,需要将head.next设置为空
		head.next = null;
		//每层递归函数都返回cur,也就是最后一个节点
		return cur;
	}
}

三、总结

本道算法题难度为简单,我们使用了双指针和递归两种解法进行了实现

好了,本篇文章到这里就结束了,感谢你的阅读🤝