基于matlab的MRC最大合并比误码率仿真,包括维特比译码,MRC,中继

534 阅读3分钟

1.算法概述

       最大比合并(Maximal Ratio Combining,MRC)是分集合并技术中的最优选择,相对于选择合并和等增益合并可以获得最好的性能,其性能提升是由阵列增益( 阵列增益即发射的信号的功率增益,是通过发送机和/或接收机的多个天线而实现功率增益的,一般在LTE中,增加一个天线会有3db的增益)带来的更高的信噪比,进而带来更好的误码率特性。最大比合并的实现方式是通过给分集的N路不同信号乘上一个不同的系数 ,而系数的确定与N路分支的衰落系数 有关。

 

       如下图所示:

 

1.png  

 

       考虑了一个 RIS 增强型共生无线电下行链路系统,它由一个具有 Q (Q ≥ 1) 个天线的 基站BS、K (K ≥ 1) 个单天线反向散射设备BD、一个具有 M 反射元件(M ≥ 1) 的 RIS 组成) 和单天线主接收器PR。 关于信道系数不再赘述。其中BD 的符号周期是主信号的 N 倍,其中 N 是整数,远大于 1(共生无线电的特点)。

 

       最大比合并是分集合并技术中的最优选择,相对于选择合并和等增益合并可以获得最好的性能,性能提升是由Array Gain带来的更高的信噪比,进而带来更好的误码率特性决定的。

 

       最大比合并(Maximal Ratio Combining)的实现方式即通过给分集的N路不同信号乘上一个不同的系数wi,i=1,2,……,N,系数的确定与N路分支的衰落系数hi,i=1,2,……,N有关。通常有:

 

2.png

 

 下面来证明为什么最大比合并是最优合并方案。

 

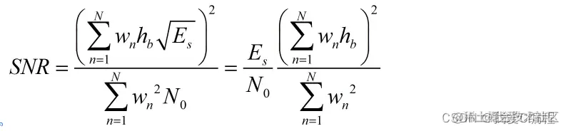
       如上所述,考虑一个AWGN信道,其中发送符号功率为Es,噪声功率谱密度为N0,N条之路的衰落系数为hi,i=1,2,……,N,合并加权系数为wi,i=1,2,……,N。

 

接收端的和信噪比为:

3.png   如果需要SNR最大,则需要取到极大值,通过SNR对wi求偏导并令偏导为0可得:

 

4.png

 

 化简后有如下式子:

 

5.png

 

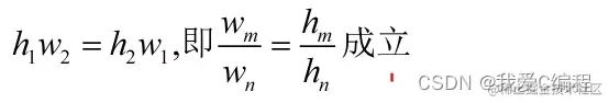
分析i=1和i=2时两个式子,经过对比作差有:

 

6.png

 

 故证明信噪比最大时的合并方式是MRC合并。

 

2.仿真效果预览

matlab2022a仿真结果如下:

 

7.png

 

3.核心MATLAB代码预览

`%随机数据位

    data    = round(rand(N_bits,1));

    %使用速率1/2卷积码的信道编码

    trellis = poly2trellis(3,[5 7]);  

    c_data  = convenc(data,trellis);

    

    %BPSK调制

    tx      = 2*c_data - 1;

    

    %信道特征

    SNRdB = 0:25; %SNR范围

    

    %中继信道的附加噪声和信道响应:

    %上行信道

    noise_d = 1/sqrt(2) * (randn(2 * N_bits,1) + j * randn(2 * N_bits,1));

    h_d     = 1/sqrt(2) * (randn(2 * N_bits,1) + j * randn(2 * N_bits,1));

    

    %用户间信道

    noise_r1 = 1/sqrt(2) * (randn(2 * N_bits,1) + j * randn(2 * N_bits,1));

    h_r1     = 1/sqrt(2) * (randn(2 * N_bits,1) + j * randn(2 * N_bits,1));

    

    %中继上行链路

    noise_r2 = 1/sqrt(2) * (randn(2 * N_bits,1) + j * randn(2 * N_bits,1));

    h_r2     = 1/sqrt(2) * (randn(2 * N_bits,1) + j * randn(2 * N_bits,1));

    

 

    

        SNR = 10^(SNRdB(k)/10); %将SNRdB转换为线性值SNR

        

        ftx_r1 = sqrt(SNR) * h_r1 .* tx + noise_r1;

        

 

        %Decode n F

        %均衡

        eq_rx1 = ftx_r1 .* conj(h_r1);

        %硬判决和从双极到bits的转换

        r_bits = (sign(real(eq_rx1)) + 1)/2;

        %信道解码

        dec_dcf_r1 = vitdec(r_bits,trellis,3,'term','hard');

        %重新编码

        c_data2 = convenc(dec_dcf_r1,trellis);

        %中继编码数据的BPSK信号

        tx2_dcf = 2 * c_data2 - 1;

          

        

        %Detect n F

        

        dec_dtf_r1 = sign(real(eq_rx1));

        tx2_dtf    = dec_dtf_r1;

        

        %放大 n F

        

        beta = sqrt(1./((SNR * abs(h_r1).^2) + 1));

        %放大:

        ftx_amp = ftx_r1 .* beta;

        

        %中继%

        %DCF

        ftx_dcf_r2 = sqrt(SNR) * tx2_dcf .* h_r2 + noise_r2 ;

        %DTF

        ftx_dtf_r2 = sqrt(SNR) * tx2_dtf .* h_r2 + noise_r2 ;

        %AF

        ftx_af_r2 = sqrt(SNR) * ftx_amp .* h_r2 + noise_r2 ;

        

        

        %目的地

        ftx_d = sqrt(SNR)* tx .* h_d + noise_d;

        

        %MRC

        R_dcf       = ftx_dcf_r2 .* conj(h_r2) + ftx_d .* conj(h_d);

        %硬决策

        dec_com_dcf = sign(real(R_dcf));

 

 A68`